Self-Mobilization Exercise Program Improved Postural Stability in the Anterior-Posterior Direction with Eyes Closed
Abstract
1. Introduction
2. Materials and Methods
2.1. Subjects
2.2. Interventions
2.3. Procedures and Measurements
2.4. Statistical Analysis
3. Results
3.1. Subjects
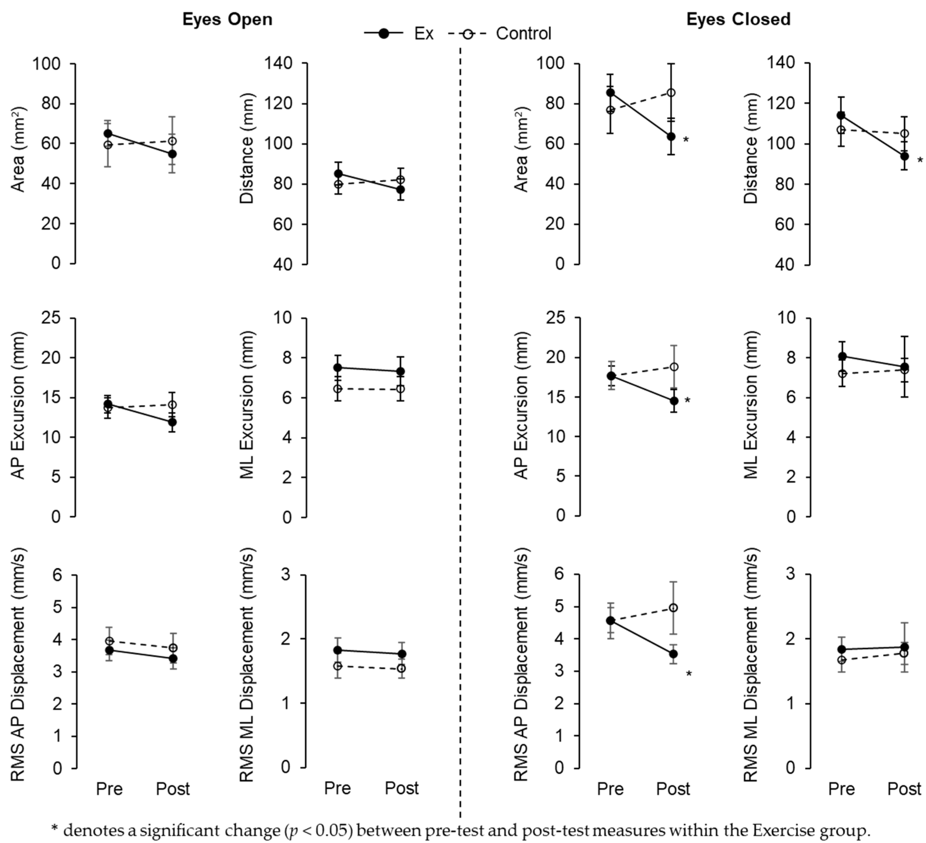
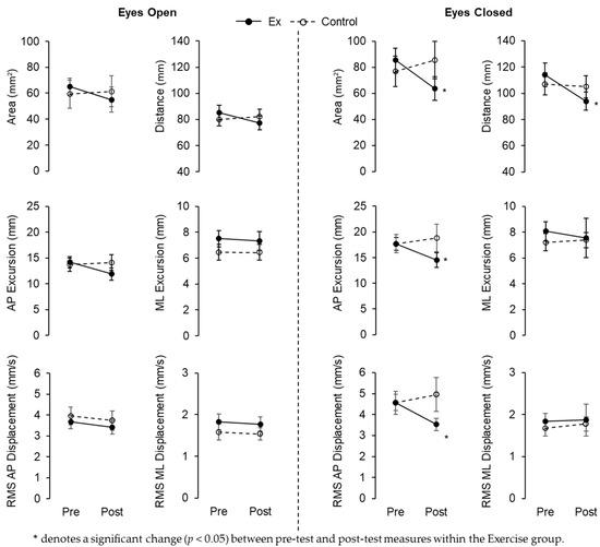
3.2. Sway Parameters in Eyes-Open Condition
3.3. Sway Parameters in Eyes-Closed Condition
4. Discussion
5. Conclusions
Supplementary Materials
Author Contributions
Funding
Data Availability Statement
Acknowledgments
Conflicts of Interest
References
- Enoka, R.M. Neural Control of Movement. In Neuromechanics of Human Movement, 5th ed.; Human Kinetics: Champaign, IL, USA, 2015. [Google Scholar]
- Wade, M.G.; Jones, G. The Role of Vision and Spatial Orientation in the Maintenance of Posture. Phys. Ther. 1997, 619, 619–628. [Google Scholar] [CrossRef] [PubMed]
- Kavounoudias, A.; Roll, R.; Roll, J.P. Foot Sole and Ankle Muscle Inputs Contribute Jointly to Human Erect Posture Regulation. J. Physiol. 2001, 532, 869–878. [Google Scholar] [CrossRef] [PubMed]
- Teasdale, N.; Furmanek, M.P.; Germain Robitaille, M.; de Oliveira, F.C.L.; Simoneau, M. Sensory Integration during Vibration of Postural Muscle Tendons When Pointing to a Memorized Target. Front. Hum. Neurosci. 2017, 10, 682. [Google Scholar] [CrossRef]
- Qiu, F.; Cole, M.H.; Davids, K.W.; Hennig, E.M.; Silburn, P.A.; Netscher, H.; Kerr, G.K. Enhanced Somatosensory Information Decreases Postural Sway in Older People. Gait Posture 2012, 35, 630–635. [Google Scholar] [CrossRef]
- Goble, D.J.; Coxon, J.P.; Van Impe, A.; Geurts, M.; Doumas, M.; Wenderoth, N.; Swinnen, S.P. Brain Activity during Ankle Proprioceptive Stimulation Predicts Balance Performance in Young and Older Adults. J. Neurosci. 2011, 31, 16344–16352. [Google Scholar] [CrossRef] [PubMed]
- Guskiewicz, K.M. Balance Assessment in the Management of Sport-Related Concussion. Clin. Sport. Med. 2011, 30, 89–102, ix. [Google Scholar] [CrossRef]
- Allum, J.H.J.; Adkin, A.L.; Carpenter, M.G.; Held-Ziolkowska, M.; Honegger, F.; Pierchala, K. Trunk Sway Measures of Postural Stability during Clinical Balance Tests: Effects of a Unilateral Vestibular Deficit. Gait Posture 2001, 14, 227–237. [Google Scholar] [CrossRef]
- Morton, S.M.; Bastian, A.J. Cerebellar Control of Balance and Locomotion. Neuroscientist 2004, 10, 247–259. [Google Scholar] [CrossRef]
- Goodwin, G.M.; Mccloskey, D.I.; Matthews, P.B.C. Proprioceptive Illusions Induced by Muscle Vibration: Contribution by Muscle Spindles to Perception? Science 1972, 175, 1382–1384. [Google Scholar] [CrossRef]
- Edin, B.B.; Johansson, N. Skin Strain Patterns Provide Kinaesthetic Information to the Human Central Nervous System. J. Physiol. 1995, 487, 243–251. [Google Scholar] [CrossRef] [PubMed]
- Burgess, P.R.; Wei, J.Y.; Clark, F.J.; Simon, J. Signaling of Kinesthetic Information by Peripheral Sensory Receptors. Annu. Rev. Neurosci. 1982, 5, 171–187. [Google Scholar] [CrossRef]
- Adamcova, N.; Hlavacka, F. Modification of Human Postural Responses to Soleus Muscle Vibration by Rotation of Visual Scene. Gait Posture 2007, 25, 99–105. [Google Scholar] [CrossRef]
- Ceyte, H.; Cian, C.; Zory, R.; Barreaud, P.-A.; Roux, A.; Guerraz, M. Effects of Bilateral Achilles Tendon Vibration on Postural Orientation. Neurosci. Lett. 2007, 416, 71–75. [Google Scholar] [CrossRef] [PubMed]
- Imagama, S.; Ito, Z.; Wakao, N.; Seki, T.; Hirano, K.; Muramoto, A.; Sakai, Y.; Matsuyama, Y.; Hamajima, N.; Ishiguro, N.; et al. Influence of Spinal Sagittal Alignment, Body Balance, Muscle Strength, and Physical Ability on Falling of Middle-Aged and Elderly Males. Eur. Spine J. 2013, 22, 1346–1353. [Google Scholar] [CrossRef] [PubMed]
- Shibata, D. Gait & Posture Improvement of Dynamic Postural Stability by an Exercise Program. Gait Posture 2020, 80, 178–184. [Google Scholar] [CrossRef] [PubMed]
- Hee Lee, J. Effects of Forward Head Posture on Static and Dynamic Balance Control. J. Phys. Ther. Sci. 2016, 28, 274–277. [Google Scholar] [CrossRef]
- Kang, J.-H.; Park, R.-Y.; Lee, S.-J.; Kim, J.-Y.; Yoon, S.-R.; Jung, K.-I. The Effect of the Forward Head Posture on Postural Balance in Long Time Computer Based Worker. Ann. Rehabil. Med. 2012, 36, 98–104. [Google Scholar] [CrossRef]
- O’Neil, D.; Olafsdottir, K.; Caneiro, J.P.; Barach, A.; Tveit, O.; Burnett, A.; O’Sullivan, P. The Influence of Different Sitting Postures on Head/Neck Posture and Muscle Activity. Man. Ther. 2009, 15, 54–60. [Google Scholar] [CrossRef]
- Nurwulan, N.R.; Jiang, B.C.; Iridiastadi, H. Posture and Texting: Effect on Balance in Young Adults. PLoS ONE 2015, 10, e0134230. [Google Scholar] [CrossRef]
- Vuillerme, N.; Rougier, P. Effects of Head Extension on Undisturbed Upright Stance Control in Humans. Gait Posture 2005, 21, 318–325. [Google Scholar] [CrossRef]
- Yokoyama, S.; Gamada, K.; Sugino, S.; Sasano, R. The Effect of “the Core Conditioning Exercises” Using the Stretch Pole on Thoracic Expansion Difference in Healthy Middle-Aged and Elderly Persons. J. Bodyw. Mov. Ther. 2012, 16, 326–329. [Google Scholar] [CrossRef]
- Sadakiyo, M.; Sugino, S.; Gamada, K.; Yamamoto, D.; Yokoyama, S. Effectiveness of Core-Conditioning Exercises Using a Stretch-Pole on the Spinal Realingmnet and Flexibility: A Single-Blinded Randomized Control Trial. In Proceedings of the 15th International Congress of the World Confederation for Physical Therapy, Vancouver, BC, Canada, 2–7 June 2007. [Google Scholar]
- Palmieri, R.M.; Ingersoll, C.D.; Stone, M.B.; Krause, B.A. Center-of-Pressure Parameters Used in the Assessment of Postural Control. J. Sport Rehabil. 2002, 11, 51–66. [Google Scholar] [CrossRef]
- Boruah, K. Effectiveness of Thoracic Core Conditioning Using Stretch Pole for Community Elderly with Moderate COPD-A Single Blind Study. Int. J. Physiother. Res. 2014, 2, 394–402. [Google Scholar]
- Kim, C.-B.; Yang, J.-M.; Choi, J.-D. The Effects of Chest Expansion Resistance Exercise on Chest Expansion and Maximal Respiratory Pressure in Elderly with Inspiratory Muscle Weakness. J. Phys. Ther. Sci. 2015, 27, 1121–1124. [Google Scholar] [CrossRef] [PubMed]
- Niam, S.; Cheung, W.; Sullivan, P.E.; Kent, S.; Gu, X. Balance and Physical Impairments after Stroke. Arch. Phys. Med. Rehabil. 1999, 80, 1227–1233. [Google Scholar] [CrossRef] [PubMed]
- Winter, D.A. Human Balance and Posture Control during Standing and Walking. Gait Posture 1995, 3, 193–214. [Google Scholar] [CrossRef]
- Lee, S.P.; Souza, R.B.; Powers, C.M. The Influence of Hip Abductor Muscle Performance on Dynamic Postural Stability in Females with Patellofemoral Pain. Gait Posture 2012, 36, 425–429. [Google Scholar] [CrossRef] [PubMed]
- Thompson, C.; Bélanger, M.; Fung, J. Effects of Plantar Cutaneo-Muscular and Tendon Vibration on Posture and Balance during Quiet and Perturbed Stance. Hum. Mov. Sci. 2011, 30, 153–171. [Google Scholar] [CrossRef]
- Peterka, R.J. Sensorimotor Integration in Human Postural Control. J. Neurophysiol. 2002, 88, 1097–1118. [Google Scholar] [CrossRef] [PubMed]
- Oie, K.S.; Kiemel, T.; Jeka, J.J. Multisensory Fusion: Simultaneous Re-Weighting of Vision and Touch for the Control of Human Posture. Cogn. Brain Res. 2002, 14, 164–176. [Google Scholar] [CrossRef]

| Exercise (n = 16) | Control (n = 16) | |
|---|---|---|
| Age (years) | 22.44 ± 5.39 | 22.81 ± 6.15 |
| Sex (male/female) | 9/7 | 9/7 |
| Height (cm) | 170.33 ± 10.32 | 168.63 ± 11.62 |
| Weight (kg) | 71.32 ± 17.85 | 73.72 ± 21.34 |
| Body mass index (kg/m2) | 24.34 ± 4.18 | 25.50 ± 5.08 |
Disclaimer/Publisher’s Note: The statements, opinions and data contained in all publications are solely those of the individual author(s) and contributor(s) and not of MDPI and/or the editor(s). MDPI and/or the editor(s) disclaim responsibility for any injury to people or property resulting from any ideas, methods, instructions or products referred to in the content. |
© 2023 by the authors. Licensee MDPI, Basel, Switzerland. This article is an open access article distributed under the terms and conditions of the Creative Commons Attribution (CC BY) license (https://creativecommons.org/licenses/by/4.0/).
Share and Cite
Shibata, D.; Yoshida, Y. Self-Mobilization Exercise Program Improved Postural Stability in the Anterior-Posterior Direction with Eyes Closed. Symmetry 2023, 15, 1321. https://doi.org/10.3390/sym15071321
Shibata D, Yoshida Y. Self-Mobilization Exercise Program Improved Postural Stability in the Anterior-Posterior Direction with Eyes Closed. Symmetry. 2023; 15(7):1321. https://doi.org/10.3390/sym15071321
Chicago/Turabian StyleShibata, Daisuke, and Yuri Yoshida. 2023. "Self-Mobilization Exercise Program Improved Postural Stability in the Anterior-Posterior Direction with Eyes Closed" Symmetry 15, no. 7: 1321. https://doi.org/10.3390/sym15071321
APA StyleShibata, D., & Yoshida, Y. (2023). Self-Mobilization Exercise Program Improved Postural Stability in the Anterior-Posterior Direction with Eyes Closed. Symmetry, 15(7), 1321. https://doi.org/10.3390/sym15071321

