A Two-Step Model-Based Reconstruction and Imaging Method for Baseline-Free Lamb Wave Inspection
Abstract
1. Introduction
2. Fundamentals of Lamb Wave Propagation in Thin Plates
3. Two-Step Lamb Wave Model-Based Reconstruction and Imaging Method
3.1. Sparse Reconstruction in f-k Domain for Directly Arrived Lamb Wave Signals
3.2. Adaptive MUSIC Method for Damage Imaging and Localization
4. Simulation Study of Multiple Damage Imaging in Aluminum Plate
5. Experimental Validation with a Composite Plate
5.1. Experimental Setups
5.2. Signal Processing for Laser-Generated Lamb Waves
6. Conclusions
- (1)
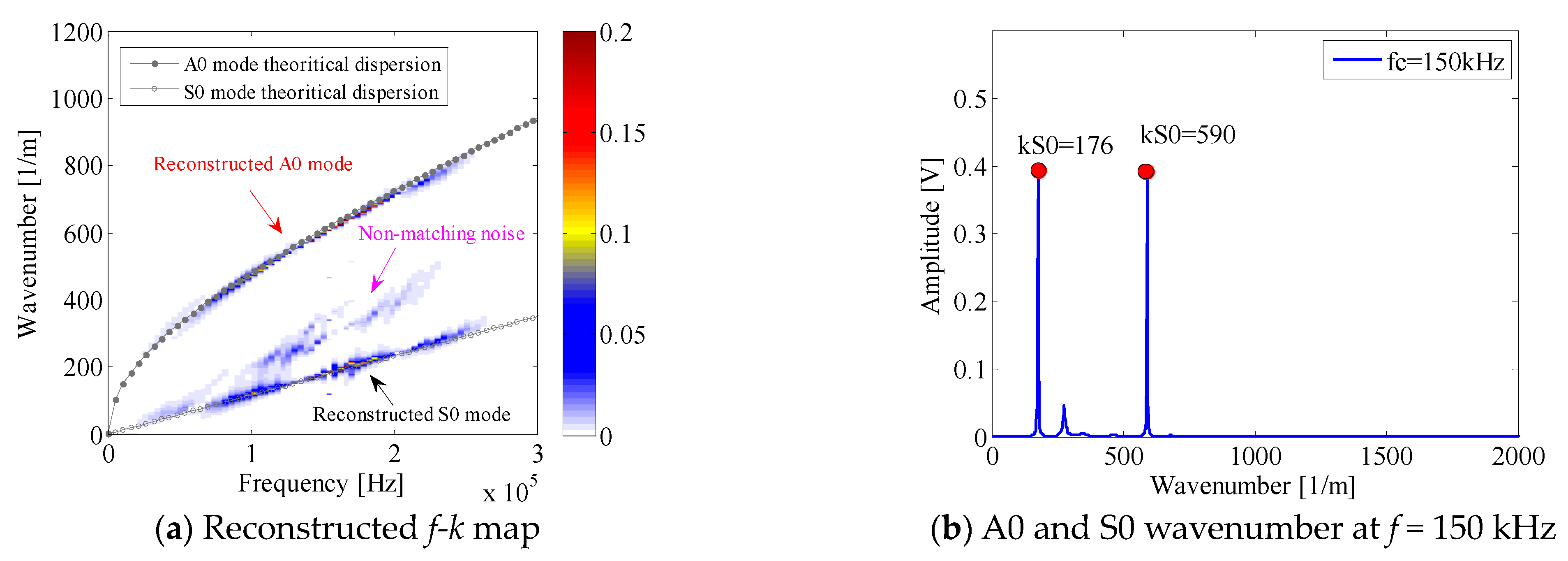
- A sparse reconstruction method with less experimental data is effective for dispersion curve reconstruction. With a simulation investigation, the estimated wavenumber errors for the S0 and A0 mode are 3.3% and 4%, respectively. The dispersion curves reconstructed from the measured data could be more useful and flexible in a variety of test scenarios when material properties are unknown or working conditions change over time.
- (2)
- Adaptive filtered scattering signals can improve eigenvalue decomposition and reflection identification by enhancing the weak damage features in a covariance analysis. Hence, the damage index gets amplified compared with traditional decomposing methods adopting full length signals.
- (3)
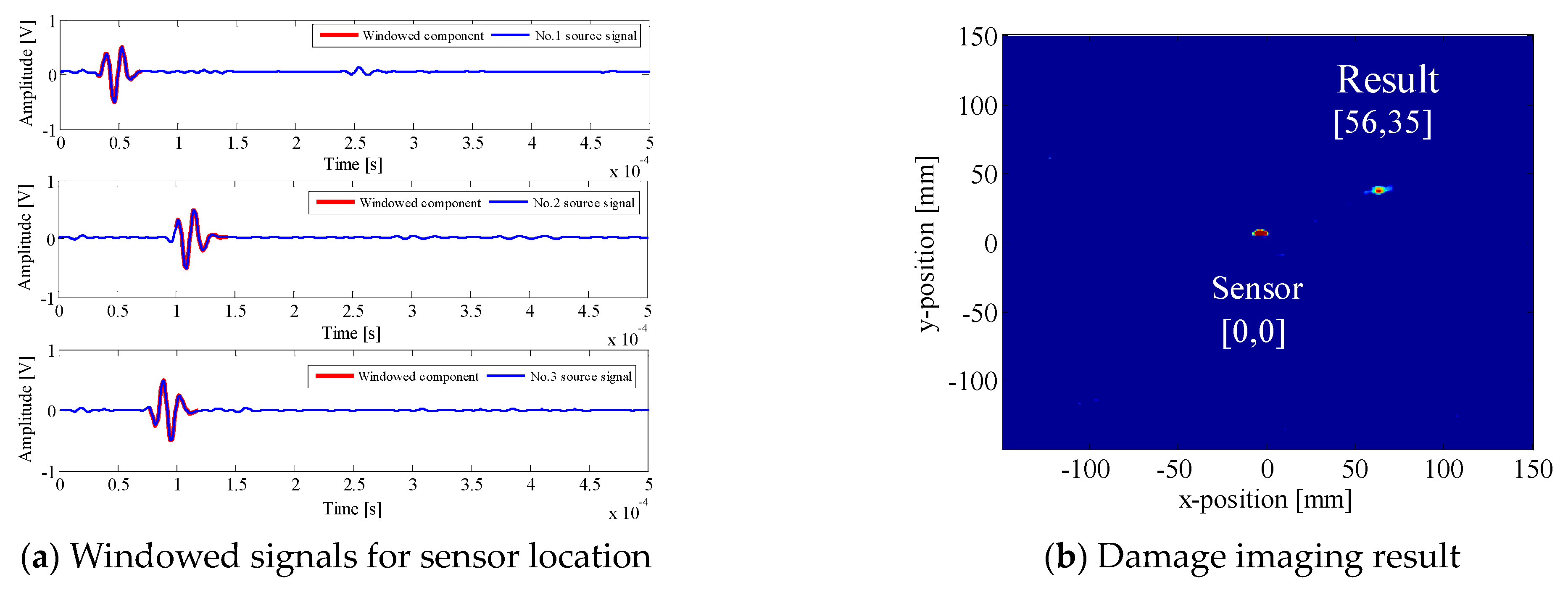
- With the adaptive MUSIC method, the damage can be located with considerable accuracy by a few measurements without baseline recordings. The localization error is less than 5 mm with 30 measurements in the simulation case and roughly 4.5 mm in the experiment investigation. The proposed method provides a potential way for damage detection and localization in various NDE and SHM applications.
Author Contributions
Funding
Data Availability Statement
Acknowledgments
Conflicts of Interest
References
- Gorgin, R.; Luo, Y.; Wu, Z. Environmental and operational conditions effects on Lamb wave based structural health monitoring systems: A review. Ultrasonics 2020, 105, 106114. [Google Scholar] [CrossRef] [PubMed]
- Yang, T.; Zhou, W.; Yu, L. Guided Wave-Based Damage Detection of Square Steel Tubes Utilizing Structure Symmetry. Symmetry 2023, 15, 805. [Google Scholar] [CrossRef]
- Mitra, M.; Gopalakrishnan, S. Guided wave based structural health monitoring: A review. Smart Mater. Struct. 2016, 25, 053001. [Google Scholar] [CrossRef]
- Lee, B.C.; Staszewski, W.J. Lamb wave propagation modelling for damage detection: I. Two-dimensional analysis. Smart Mater. Struct. 2007, 16, 249. [Google Scholar] [CrossRef]
- Shan, S.; Cheng, L. Two-dimensional scattering features of the mixed second harmonic A0 mode Lamb waves for incipient damage localization. Ultrasonics 2022, 119, 106554. [Google Scholar] [CrossRef] [PubMed]
- Hu, M.; He, J.; Zhou, C.; Shu, Z.; Yang, W. Surface damage detection of steel plate with different depths based on Lamb wave. Measurement 2022, 187, 110364. [Google Scholar] [CrossRef]
- Ding, X.; Xu, C.; Deng, M.; Zhao, Y.; Bi, X.; Hu, N. Experimental investigation of the surface corrosion damage in plates based on nonlinear Lamb wave methods. NDT E Int. 2021, 121, 102466. [Google Scholar] [CrossRef]
- Ding, X.; Xu, C.; Deng, M.; Zhao, Y.; Bi, X.; Hu, N. Determination of Lamb wave phase velocity dispersion using time–frequency analysis. Smart Mater. Struct. 2019, 28, 115029. [Google Scholar] [CrossRef]
- Feng, B.; Ribeiro, A.L.; Ramos, H.G. A new method to detect delamination in composites using chirp-excited Lamb wave and wavelet analysis. NDT E Int. 2018, 100, 64–73. [Google Scholar] [CrossRef]
- Cai, J.; Yuan, S.; Qing, X.P.; Chang, F.-K.; Shi, L.; Qiu, L. Linearly dispersive signal construction of Lamb waves with measured relative wavenumber curves. Sens. Actuators A Phys. 2015, 221, 41–52. [Google Scholar] [CrossRef]
- Chang, C.Y.; Yuan, F.G. Extraction of guided wave dispersion curve in isotropic and anisotropic materials by Matrix Pencil method. Ultrasonics 2018, 89, 143–154. [Google Scholar] [CrossRef] [PubMed]
- Spytek, J.; Pieczonka, L.; Stepinski, T.; Ambrozinski, L. Mean local frequency-wavenumber estimation through synthetic time-reversal of diffuse Lamb waves. Mech. Syst. Signal Process. 2021, 156, 107712. [Google Scholar] [CrossRef]
- Xu, C.-B.; Yang, Z.-B.; Tian, S.-H.; Chen, X.-F. Lamb wave inspection for composite laminates using a combined method of sparse reconstruction and delay-and-sum. Compos. Struct. 2019, 223, 110973. [Google Scholar] [CrossRef]
- Kijanka, P.; Manohar, A.; di Scalea, F.L.; Staszewski, W.J. Damage location by ultrasonic Lamb waves and piezoelectric rosettes. J. Intell. Mater. Syst. Struct. 2015, 26, 1477–1490. [Google Scholar] [CrossRef]
- Liu, Z.; Zhong, X.; Dong, T.; He, C.; Wu, B. Delamination detection in composite plates by synthesizing time-reversed Lamb waves and a modified damage imaging algorithm based on RAPID. Struct. Control. Health Monit. 2017, 24, e1919. [Google Scholar] [CrossRef]
- Engholm, M.; Stepinski, T. Direction of arrival estimation of Lamb waves using circular arrays. Struct. Health Monit. 2011, 10, 467–480. [Google Scholar] [CrossRef]
- Gao, F.; Hua, J. Damage characterization using CNN and SAE of broadband Lamb waves. Ultrasonics 2022, 119, 106592. [Google Scholar] [CrossRef]
- Mori, N.; Biwa, S.; Kusaka, T. Damage localization method for plates based on the time reversal of the mode-converted Lamb waves. Ultrasonics 2019, 91, 19–29. [Google Scholar] [CrossRef]
- Agarwal, S.; Mitra, M. Lamb wave based automatic damage detection using matching pursuit and machine learning. Smart Mater. Struct. 2014, 23, 085012. [Google Scholar] [CrossRef]
- Xu, B.; Giurgiutiu, V.; Yu, L. Lamb waves decomposition and mode identification using matching pursuit method. In Proceedings of the Sensors and Smart Structures Technologies for Civil, Mechanical, and Aerospace Systems 2009, San Diego, CA, USA, 9–12 March 2009; Volume 7292, pp. 161–172. [Google Scholar] [CrossRef]
- Xie, J.; Ding, W.; Zou, W.; Wang, T.; Yang, J. Defect Detection inside a Rail Head by Ultrasonic Guided Waves. Symmetry 2022, 14, 2566. [Google Scholar] [CrossRef]
- Kudela, P.; Radzienski, M.; Ostachowicz, W. Impact induced damage assessment by means of Lamb wave image processing. Mech. Syst. Signal Process. 2018, 102, 23–36. [Google Scholar] [CrossRef]
- Zhongqing, S. Identification of Damage Using Lamb Waves, Identification of Damage Using Lamb Waves; Springer: London, UK, 2009. [Google Scholar]
- Donoho, D.L. Compressed sensing. IEEE Trans. Inf. Theory 2006, 52, 1289–1306. [Google Scholar] [CrossRef]
- Zhao, W.; Li, M.; Harley, J.B.; Jin, Y.; Moura, J.M.F.; Zhu, J. Reconstruction of Lamb wave dispersion curves by sparse representation with continuity constraints. J. Acoust. Soc. Am. 2017, 141, 749–763. [Google Scholar] [CrossRef] [PubMed]
- He, J.; Yuan, F.G. Lamb wave-based subwavelength damage imaging using the DORT-MUSIC technique in metallic plates. Struct. Health Monit. 2016, 15, 65–80. [Google Scholar] [CrossRef]
- Xu, C.; Zuo, H.; Deng, M. Dispersive MUSIC algorithm for Lamb wave phased array. Smart Mater. Struct. 2022, 31, 025033. [Google Scholar] [CrossRef]










Disclaimer/Publisher’s Note: The statements, opinions and data contained in all publications are solely those of the individual author(s) and contributor(s) and not of MDPI and/or the editor(s). MDPI and/or the editor(s) disclaim responsibility for any injury to people or property resulting from any ideas, methods, instructions or products referred to in the content. |
© 2023 by the authors. Licensee MDPI, Basel, Switzerland. This article is an open access article distributed under the terms and conditions of the Creative Commons Attribution (CC BY) license (https://creativecommons.org/licenses/by/4.0/).
Share and Cite
Fan, H.; Gao, F.; Li, W.; Zhang, K. A Two-Step Model-Based Reconstruction and Imaging Method for Baseline-Free Lamb Wave Inspection. Symmetry 2023, 15, 1171. https://doi.org/10.3390/sym15061171
Fan H, Gao F, Li W, Zhang K. A Two-Step Model-Based Reconstruction and Imaging Method for Baseline-Free Lamb Wave Inspection. Symmetry. 2023; 15(6):1171. https://doi.org/10.3390/sym15061171
Chicago/Turabian StyleFan, Hang, Fei Gao, Wenhao Li, and Kun Zhang. 2023. "A Two-Step Model-Based Reconstruction and Imaging Method for Baseline-Free Lamb Wave Inspection" Symmetry 15, no. 6: 1171. https://doi.org/10.3390/sym15061171
APA StyleFan, H., Gao, F., Li, W., & Zhang, K. (2023). A Two-Step Model-Based Reconstruction and Imaging Method for Baseline-Free Lamb Wave Inspection. Symmetry, 15(6), 1171. https://doi.org/10.3390/sym15061171
