Next Article in Journal
Numerical Approximation of a Time-Fractional Modified Equal-Width Wave Model by Using the B-Spline Weighted Residual Method
Next Article in Special Issue
On Some Bounds for the Gamma Function
Previous Article in Journal
Analytical Solutions of Peristalsis Flow of Non-Newtonian Williamson Fluid in a Curved Micro-Channel under the Effects of Electro-Osmotic and Entropy Generation
Previous Article in Special Issue
Asymptotic Approximations of Higher-Order Apostol–Frobenius–Genocchi Polynomials with Enlarged Region of Validity
 
 
Font Type:
Arial Georgia Verdana
Font Size:
Aa Aa Aa
Line Spacing:
Column Width:
Background:
Article

Bounds for Extreme Zeros of Classical Orthogonal Polynomials Related to Birth and Death Processes

1
Department of Mathematics and Statistics, College of Science, King Faisal University, Al Hasa 31982, Saudi Arabia
2
Department of Mathematics, National Institute of Technology Jamshedpur, Jamshedpur 831014, Jharkhand, India
*
Author to whom correspondence should be addressed.
These authors contributed equally to this work.
Symmetry 2023, 15(4), 890; https://doi.org/10.3390/sym15040890
Submission received: 2 March 2023 / Revised: 6 April 2023 / Accepted: 8 April 2023 / Published: 10 April 2023

Abstract

In this paper, we consider birth and death processes with different sequences of transition rates and find the bound for the extreme zeros of orthogonal polynomials related to the three term recurrence relations and birth and death processes. Furthermore, we find the related chain sequences. Using these chain sequences, we find the transition probabilities for the corresponding process. As a consequence, transition probabilities related to G-fractions and modular forms are derived. Results obtained in this work are new and several graphical representations and numerical computations are provided to validate the results.

1. Introduction

Let us consider the second order differential equation
σ ( x ) y n ( x ) + τ ( x ) y n ( x ) λ n y n ( x ) = 0 ,
where σ ( x ) = a x 2 + b x + c and τ ( x ) = d x + e are polynomials independent of n, λ n = n ( n 1 ) a + n d is known as the eigenvalue parameter which depends on n = 0 , 1 , 2 , [1,2] and a , b , c , d and e are real parameters. In the self-adjoint form of (1), the general weight function is given by
W ( x ) = exp d x + e a x 2 + b x + c d x .
The parameters d and e in (2) depend on three independent parameters a, b and c. Consequently, we will have exactly six solutions of Equation (1) known as classical orthogonal polynomials (COPS). Classical orthogonal polynomials and Sturm–Liouville problems are also related to symmetry (see [3]). Classical orthogonal polynomials can also be characterized as finite COPS and infinite sequences. Jacobi, Leguerre and Hermite orthogonal polynomials are three well-known cases of infinite orthogonal sequences while the other three finite COPS are less familiar in the literature. In [4], Masjed-Jamei characterized the finite cases and studied various properties. For details of this literature we refer to [4,5,6,7] and references cited therein. In [4], these finite COPS are categorized as first, second and third classes, based on their connection with Jacobi, Hermite and Bessel functions, respectively. The R-Jacobi, R-Hermite, and R-Bessel polynomials can also be used to represent these classes of polynomials. Here, R- stands for Routh or Romonovski, because Routh [8] and Romonovski [9] introduced and studied these classes independently. For further details regarding this literature can be found in [5,6,9] and references cited therein. In [5,6], Malik and Swaminathan called these R-Jacobi, R-Hermite and R-Bessel finite COPS as Type I, Type II and Type III COPS, respectively. The following Table 1 gives details of all the six classical orthogonal polynomials.
Let { p n } n = 0 be a sequence of classical orthogonal polynomials. Then it satisfies the following three term recurrence relation
x p n ( x ) = α n p n + 1 ( x ) + β n p n ( x ) + γ n p n 1 ( x ) , p 0 ( x ) = 1 , p 1 ( x ) = ( x β 0 ) / α 0 .
with α n 1 γ n > 0 for 0 < n < N . COPS have lot of applications in mathematical biology, queueing theory and other fields of pure and applied mathematics. In this paper, we consider the applications of COPS, especially R-Jacobi and R-Bessel polynomials in birth and death processes. Before proceeding towards the main results, let us provide a short introduction about birth and death processes.
A special case of the continuous time Markov process is the birth and death process whose transition probabilities are defined as
p m , n ( t ) = Pr { X ( t ) = n | X ( 0 ) = m }
and states are labelled by non-negative integers.
Let λ m and μ m be birth and death rates, respectively, for m = 0 , 1 , 2 , and μ 0 0 . Then the transition probabilities p m , n ( t ) satisfy the following
p m , n ( t ) = λ i t + o ( t ) , if n = m + 1 ; μ i t + o ( t ) , if n = m 1 ; 1 t ( λ i + μ i ) + o ( t ) , if n = m ; o ( t ) , otherwise .
Theorem 1
([10] Theorem 5.2.1). Transition probabilities { p m , n ( t ) : m , n = 0 , 1 , } satisfy the following Chapman–Kolmogorov differential equations
d d t p m , n ( t ) = λ n 1 p m , n 1 + μ n + 1 p m , n + 1 ( λ n + μ n ) p m , n ( t ) ,
d d t p m , n ( t ) = λ m p m + 1 , n + μ m p m 1 , n ( λ n + μ n ) p m , n ( t ) .
It is well known that birth and death processes and orthogonal polynomials are related to each other [10,11].
Let
p m , n ( t ) = f ( t ) Q m F n .
Then, from Theorem 1, we have [10] (p. 137)
x F n ( x ) = λ n 1 F n 1 ( x ) + μ n + 1 F n + 1 ( x ) ( λ n + μ n ) F n ( x ) , n > 0 F 1 ( x ) = 0 , F 0 ( x ) = 1
and
x Q n ( x ) = λ n Q n + 1 ( x ) + μ n Q n 1 ( x ) ( λ n + μ n ) Q n ( x ) , n > 0 Q 0 ( x ) = 1 , Q 1 ( x ) = 0
The family of polynomials { Q n ( x ) } are called birth and death polynomials.
The following theorem describes the behaviour of zeros of birth and death process polynomials.
Theorem 2
([10] Theorem 7.2.5). The zeros of birth and death process polynomials belong to ( 0 , ) .
In this paper, our objective is to find the bounds for the extreme zeros of the finite classes of orthogonal polynomials related to birth and death processes with the help of chain sequences.
Definition 1
(Chain Sequences [12]). A sequence { a n } n = 1 is called a chain sequence if there exists a sequence { g k } k = 0 such that
(i)
0 g 0 < 1 , 0 < g n < 1 , n 1
(ii)
a n = ( 1 g n 1 ) g n , n = 1 , 2 , 3 , ,
where the sequence { g k } is known as the parameter sequence for { a n } .
Let us recall the following well-known results, which will be useful to prove the main results of this manuscript.
Lemma 1
([13]). The chain sequences associated with (3) and birth and death processes with transition rates λ n and μ n for m , n = 0 , 1 , are given by
α n 1 γ n β n β n 1 = μ n λ n + μ n 1 μ n 1 λ n 1 + μ n 1 .
Theorem 3
([13] Theorem 2). Let { a n } n = 1 N 1 be a chain sequence and
B : = max { x n : 0 < n < N } and A : = min { y n : 0 < n < N } ,
where x n and y n , x n > y n are the roots of the equation
( x β n ) ( x β n 1 ) a n = γ n α n 1 ;
i.e.,
x n , y n = 1 2 ( β n + β n 1 ) ± 1 2 ( β n β n 1 ) 2 + 4 γ n α n 1 / a n .
Then the zeros of p N ( x ) lie in ( A , B ) .
In 1924, G. U. Yule [14] considered the simplest model of birth and death processes. In [15], quartic transition rates of birth and death processes have been studied. Recently, new Nevanlinna matrices for orthogonal polynomials related to cubic birth and death processes have been derived in [16]. In [13], bounds for extreme zeros of Laguerre, associated Laguerre, Meixner, and MeixnerPollaczek polynomials have been found by M. E. H. Ismail and X. Li. These polynomials are also related to birth and death processes. The above results motivate us to consider R-Jacobi and R-Bessel polynomials and relate them with the birth and death processes and derive the bounds for extreme zeros of these polynomials.

2. R-Jacobi Polynomials Related to Birth and Death Processes

R-Jacobi polynomials are defined as follows ([4], Equation (2.2)):
M n ( p , q ) ( x ) = ( 1 ) n n ! k = 0 n p ( n + 1 ) k q + n n k ( x ) k ,
where n k = n ! k ! ( n k ) ! and p > { 2 max n + 1 } , q > 1 .
The polynomials M n ( p , q ) ( x ) satisfy the following differential Equation ([4], Equation (2.1))
x ( 1 + x ) y ( x ) + { ( 2 p ) x + ( 1 + q ) } y ( x ) n ( n + 1 p ) y ( x ) = 0 .
The orthogonality relation for these polynomials is given in the following theorem.
Theorem 4
([4] Corollary 2).
0 x q ( 1 + x ) p + q M n ( p , q ) ( x ) M m ( p , q ) ( x ) = n ! ( p ( n + 1 ) ) ! ( q + n ) ! ( p ( 2 n + 1 ) ) ( p + q ( n + 1 ) ) ! δ n , m
if and only if: m , n = 0 , 1 , 2 , , N < ( p 1 ) / 2 , q > 1 , and
δ m , n = 0 , n m , 1 , n = m .
These polynomials can also be expressed [4] in terms of hypergeometric function [17] as follows:
M n ( p , q ) ( x ) = ( 1 ) n n ! q + n n ( x + 1 ) n 2 F 1 n , p + q n , q + 1 ; x x + 1 ,
where 2 F 1 ( a , b ; c ; x ) = 1 + k = 1 ( a ) k ( b ) k x k ( c ) k k ! denotes hypergeometric function [17], with the notation ( α ) k , defined as
( α ) k = α ( α + 1 ) ( α + k 1 ) f o r k 1 , ( α ) 0 = 1 , α 0 .
Theorem 5.
Let L ( n , p , q ) and S ( n , p , q ) be the largest and smallest zeros of R-Jacobi polynomials M n ( p , q ) ( x ) . Then
A < S ( n , p , q ) < L ( n , p , q ) < B
where
A = p ( q + 2 n ) 2 ( n 2 1 ) p ( p 4 n ) + 4 ( n 2 1 ) 1 ( p 2 n ) 4 n ( n + p ) ( n + q ) ( n + p + q ) ( 1 2 n + p ) ( 1 2 n + p ) + p 2 ( p + 2 q ) 2 ( 4 + 4 n 2 4 n p + p 2 ) 2 B = p ( q + 2 n ) 2 ( n 2 1 ) p ( p 4 n ) + 4 ( n 2 1 ) + 1 ( p 2 n ) 4 n ( n + p ) ( n + q ) ( n + p + q ) ( 1 2 n + p ) ( 1 2 n + p ) + p 2 ( p + 2 q ) 2 ( 4 + 4 n 2 4 n p + p 2 ) 2
Proof. 
First, we consider the following three term recurrence relation ([4], Equation (2.19)) of R-Jacobi polynomials:
M n + 1 ( p , q ) ( x ) = ( p ( 2 n + 1 ) ) ( p ( 2 n + 2 ) ) ( p ( n + 1 ) ) x + ( p ( 2 n + 1 ) ) ( 2 n ( n + 1 ) p ( q + 2 n + 1 ) ) ( p ( n + 1 ) ) ( p 2 n ) M n ( p , q ) ( x ) n ( p ( 2 n + 2 ) ) ( p + q n ) ( q + n ) ( p ( n + 1 ) ) ( p 2 n ) M n 1 ( p , q ) ( x ) .
Using (8) and (17), it can be easily shown that R-Jacobi polynomials are related to birth and death processes with transition rates
( q + n ) ( p n ) ( p 2 n ) ( p 2 n + 1 ) and ( n 1 ) ( p + q n + 1 ) ( p 2 n + 1 ) ( p 2 n + 2 ) for n 1 .
Using Lemma 1, we obtain the chain sequence related to R-Jacobi polynomials as follows:
α n 1 γ n β n β n 1 = n ( p + q n ) ( p 2 n 2 ) ( p 2 n 1 ) { p ( q + 2 n + 1 ) 2 n ( n + 1 ) } 1 ( n 1 ) ( p + q n + 1 ) ( p 2 n ) ( p 2 n + 1 ) { p ( q + 2 n 1 ) 2 n ( n 1 ) } .
Finally, using Theorem 3 with the condition a n = 1 4 and recurrence relation (17), we obtain the required result. □
The inequality (16) is validated numerically in the following Table 2 for different values of p, q and n.

3. R-Bessel Polynomials Related to Birth and Death Processes

R-Bessel polynomials are defined as [4]
N n ( p ) ( x ) = ( 1 ) n k = 0 n k ! p ( n + 1 ) k n n k ( x ) k .
These polynomials are solutions of the following differential equation
x 2 y ( x ) + { ( 2 p ) x + 1 } y ( x ) n ( n + 1 p ) y ( x ) = 0 .
The orthogonality relation for these polynomials is given in the following theorem:
Theorem 6
([4]). R-Bessel polynomials satisfy the following orthogonality relation:
0 x p e 1 / x N n ( p ) ( x ) N m ( p ) ( x ) d x = n ! ( p ( n + 1 ) ) ! p ( 2 n + 1 ) δ n , m m , n = 0 , 1 , 2 , , N < p 1 2 .
These polynomials can also be expressed [4] in terms of hypergeometric functions [17] as follows:
N n ( p ) ( x ) = n ! p 1 n n x n 1 F 1 n , p 2 n ; 1 x .
Here, 1 F 1 ( a ; b ; x ) = 1 + k = 1 ( a ) k x k ( b ) k k ! is known as hypergeometric function [17], where the notation ( α ) k is defined in (13).
Theorem 7.
Let L ( n , p ) and S ( n , p ) be the largest and smallest zeros of R-Bessel polynomials N n p ( x ) . Then
A < S ( n , p ) < L ( n , p ) < B
where
A = p p ( p 4 n ) + 4 ( n 2 1 ) + 2 ( p 2 n ) n ( p n ) ( p 2 n 1 ) ( p 2 n + 1 ) + p 2 ( p 2 4 n p + 4 n 2 4 ) 2 B = p p ( p 4 n ) + 4 ( n 2 1 ) 2 ( p 2 n ) n ( p n ) ( p 2 n 1 ) ( p 2 n + 1 ) + p 2 ( p 2 4 n p + 4 n 2 4 ) 2
Proof. 
It is well-known that R-Bessel polynomials satisfy the following three term recurrence relation ([4], Equation (4.19)):
N n + 1 ( p ) ( x ) = ( p ( 2 n + 2 ) ) ( p ( 2 n + 1 ) ) p ( n + 1 ) x p ( p ( 2 n + 1 ) ) ( p ( n + 1 ) ) ( p 2 n ) N n ( p ) ( x ) n ( p ( 2 n + 2 ) ) ( p ( n + 1 ) ) ( p 2 n ) N n 1 ( p ) ( x ) .
With the help of (8) and (21), it can be shown that R-Bessel polynomials are related to birth and death processes with transition rates
( p n 1 ) ( p 2 n 1 ) ( p 2 n 2 ) and n ( p 2 n 1 ) ( p 2 n ) , for n 1 .
The chain sequence related to R-Bessel polynomials is given by
α n 1 γ n β n β n 1 = n ( p 2 n 2 ) p ( p 2 n 1 ) 1 ( n 1 ) ( p 2 n ) p ( p 2 n + 1 ) .
Finally, using Theorem 3 with the condition a n = 1 4 and recurrence relation (21), the required result can be obtained. □
The inequality (20) is validated numerically in the following Table 3 for different values of p and n.

4. Birth and Death Processes with Different Sequences of Transition Rates

In this section, we will derive bounds for the smallest and largest zeros of birth and death process polynomials.
Theorem 8.
Let L ( n ) and S ( n ) be the largest and smallest zeros of birth and death process polynomials with transition rates λ n and μ n . Then
A < S ( n ) < L ( n ) < B
where
A = 1 2 [ ( λ n + λ n 1 ) + ( μ n + μ n 1 ) ] 1 4 { ( λ n λ n 1 ) + ( μ n μ n 1 ) } 2 + 4 λ n 1 μ n , B = 1 2 [ ( λ n + λ n 1 ) + ( μ n + μ n 1 ) ] + 1 4 { ( λ n λ n 1 ) + ( μ n μ n 1 ) } 2 + 4 λ n 1 μ n .
Proof. 
Setting Q n ( x ) = p n ( x ) and comparing (8) and (3), we obtain
α n = λ n , γ n = μ n , β n = λ n + μ n .
Now, we will use Theorem 3 to complete the proof. Putting the above values of α , β n and γ n in (12) with a n = 1 4 , the required result can be established. □
Example 1
(Cubic Rates). Let us consider birth and death processes with cubic transition rates as in [16]:
λ n = ( 3 n + 1 ) 2 ( 3 n + 2 ) , μ n = ( 3 n 1 ) ( 3 n ) 2 .
We have computed upper and lower bounds in the following Table 4 for n = 1 , 2 , 3 , 4 , 5 .
Example 2
(Quartic Rates). We consider quartic transition rates as in [15]:
λ n = ( 4 n + 1 ) ( 4 n + 2 ) 2 ( 4 n + 3 ) , μ n = ( 4 n 1 ) ( 4 n ) 2 ( 4 n + 1 ) .
We have computed upper and lower bounds in the following Table 5 for n = 1 , 2 , 3 .

5. Birth and Death Processes Related to g-Fraction

In this section, we consider a special type of birth and death process with rates satisfying the condition
λ n + μ n = 1 , n = 1 , 2 ,
with μ 0 = 0 , λ 0 = 1 . Clearly, α n = λ n 1 μ n = ( 1 μ n 1 ) μ n is a chain sequence.
Applying Laplace transform of P m , n ( t ) as
f m , n ( s ) = L [ P m , n ( t ) ] ( s ) = 0 e s t P m , n ( t ) d t .
in (5) and (6) with initial state m = 0 we have
f 0 , 0 ( s ) = 1 s + λ 0 μ 1 f 0 , 1 ( s ) f 0 , 0 ( s ) f 0 , n ( s ) f 0 , n 1 ( s ) = λ n 1 s + λ n + μ n μ n + 1 f 0 , n + 1 ( s ) f 0 , n ( s )
which results in the following S-fraction
f 0 , 0 ( s ) = 1 s + λ 0 λ 0 μ 1 s + λ 1 + μ 1 λ 1 μ 2 s + λ 2 + μ 2 .
Combining (25) and (27) we have
f 0 , 0 ( s ) = 1 s + 1 μ 1 s + 1 ( 1 μ 1 ) μ 2 s + 1 = 1 ( s + 1 ) 1 μ 1 1 ( s + 1 ) 2 1 ( 1 μ 1 ) μ 2 1 ( s + 1 ) 2 1 .
This implies
( s + 1 ) f 0 , 0 ( s ) = 1 1 μ 1 1 ( s + 1 ) 2 1 ( 1 μ 1 ) μ 2 1 ( s + 1 ) 2 1
which is the g-fraction. The relationship (29) can be expressed in terms of ratio of hypergeometric functions [18] (pp. 337–339) as follows
f 0 , 0 ( s ) = 1 ( s + 1 ) 2 F 1 a + 1 , b ; c ; 1 ( s + 1 ) 2 2 F 1 a , b ; c ; 1 ( s + 1 ) 2 .
Again applying [19] (Theorem 2.1) in (29), we can conclude that the Laplace transform f 0 , 0 ( s ) of transition probabilities P 0 , 0 ( t ) can be expressed as the ratio of basic hypergeometric functions as follows
f 0 , 0 ( s ) = 1 ( s + 1 ) 2 Φ 1 a , b q ; c q ; q ; 1 ( s + 1 ) 2 2 Φ 1 a , b ; c ; q ; 1 ( s + 1 ) 2
for q ( 0 , 1 ) and a , b , c > 0 be such that c q a q 1 and c q 2 b q 1 .
Let the Nth convergent of the continued fraction (28) be
P N ( s ) Q N ( s ) ,
where P N and Q N are defined by
P 1 ( s ) = 1 , P 2 ( s ) = s + 1 , P n ( s ) = ( s + λ n 1 + μ n 1 ) P n 1 ( s ) λ n 2 μ n 1 P n 2 ( s ) , n = 3 , 4 , ,
and
Q 0 ( s ) = 1 , Q 1 ( s ) = s + 1 , Q n ( s ) = ( s + λ n 1 + μ n 1 ) Q n 1 ( s ) λ n 2 μ n 1 Q n 2 ( s ) , n = 2 , 3 , .
The polynomials in (32) can be expressed as follows
Q n ( s ) = s + λ 0 1 0 · · · λ 0 μ 1 s + λ 1 + μ 1 1 · · · 0 λ 1 μ 2 s + λ 2 + μ 2 · · · · · · · · 1 · · · · λ n 2 μ n 1 s + λ n 1 + μ n 1 n × n
We are interested to analyse (30). For this we need to compute the roots of Q n . It can be observed that the Q n ( s ) is zero when s is an eigenvalue of the following tridiagonal matrix
λ 0 1 0 · · · λ 0 μ 1 λ 1 + μ 1 1 · · · 0 λ 1 μ 2 λ 2 + μ 2 · · · · · · · · 1 · · · · λ n 2 μ n 1 λ n 1 + μ n 1 n × n
The eigenvalues of the above matrix are real and distinct [20] as the above matrix can be transformed into a tridiagonal matrix which is real, symmetric and positive definite whose subdiagonal elements are nonzero. Therefore (27) converges in the s-plane cut from 0 to along the negative real axis. Let s 1 N , s 2 N , s 3 N , , s N N be the roots of Q N ( s ) . Then (30) can be expressed as [21]
f 0 , 0 ( s ) j = 1 N P N ( s j N ) ( s + s j N ) i = 1 , i j N ( s i N s j N ) .
Applying an inverse Laplace transform to the above expression results in
p 0 , 0 ( t ) j = 1 N P N ( s j N ) i = 1 , i j N ( s i N s j N ) e s j N t .
J. A. Murphy and M. R. O’Donohoe [22] derived the following formula for p m , r ( t )
p m , r ( t ) j = 1 k H j r e s j k t , r = 0 , 1 , 2 , ,
where
H j r = Q r ( s j k ) Q m ( s j k ) P k ( s j k ) i = 0 m 1 λ i i = 1 r μ i i = 1 , i j k ( s i k s j k ) ,
and
k = m + N , for r m ; r + N , for r m .
Using the formula (35) we will find the transition probabilities for the following models.

5.1. Model(a)

In this model, we established the chain sequence related to R-Jacobi polynomials.
λ n = ( p 2 n ) ( p n 1 ) ( q + n + 1 ) ( p 2 n 1 ) ( p ( q + 2 n + 1 ) 2 n ( n + 1 ) ) μ n = n ( p + q n ) ( p 2 n 2 ) ( p 2 n 1 ) ( p ( q + 2 n + 1 ) 2 n ( n + 1 ) ) , n 1 , p > 2 n + 2 , q > 1 λ 0 = 1 , μ 0 = 0
Clearly, λ n 0 and μ n 0 for n 0 . Furthermore, it can be noted that λ n + μ n = 1 and
λ n 1 μ n = n ( p + q n ) ( p 2 n 2 ) ( p 2 n 1 ) ( p ( q + 2 n + 1 ) 2 n ( n + 1 ) ) 1 ( n 1 ) ( p + q n + 1 ) ( p 2 n ) ( p 2 n + 1 ) { p ( q + 2 n 1 ) 2 n ( n 1 ) } ,
which is the chain sequence related to R-Jacobi polynomials.
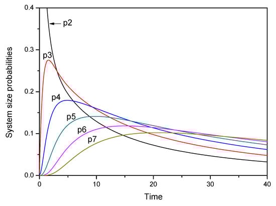
Transition probabilities for this model are computed with numerical values in Table 6 and time-dependent system size probabilities for model(a) are plotted in Figure 1.

5.2. Model(b)

λ n = ( p 2 n ) ( p n 1 ) p ( p 2 n 1 ) μ n = n ( p 2 n 2 ) p ( p 2 n 1 ) , n 1 , p > 2 n + 2 λ 0 = 1 , μ 0 = 0
It can be easily seen that λ n 0 and μ n 0 for n 0 . Furthermore, λ n + μ n = 1 and
λ n 1 μ n = n ( p 2 n 2 ) p ( p 2 n 1 ) 1 ( n 1 ) ( p 2 n ) p ( p 2 n + 1 )
which is the chain sequence related to R-Bessel polynomials.
Transition probabilities for this model are computed with numerical values in Table 7.
Time-dependent system size probabilities for model(b) are plotted in Figure 2.

5.3. Model(c)

λ n = ( n + α + 1 ) ( 2 n + α + 1 ) , α > 1 , n 1 μ n = n 2 n + α + 1 , λ 0 = 1 , μ 0 = 0 .
It can be noted that λ n 0 and μ n 0 for n 0 . Further λ n + μ n = 1 and
λ n 1 μ n = n 2 n + α + 1 1 n 1 2 n + α 1
which is the chain sequence related to Laguerre polynomials [13].
Transition probabilities for this model are computed with numerical values in Table 8.
Time-dependent system size probabilities for model(c) are plotted in Figure 3.

6. Birth and Death Processes Related to Modular Forms

In this section, we consider a special type of birth and death process with transition rates satisfying
λ n + μ n = 1 + q n λ n 1 μ n = q n
where λ 0 = 1 and q ( 0 , 1 ) .
Now from (27) we have
f 0 , 0 ( s ) = 1 s + 1 q s + q + 1 q 2 s + q 2 + 1 .
which is the modular form when s = 0 [23] (p. 290, ex. 14)
f 0 , 0 ( 0 ) = n = 0 q n ( n + 1 ) / 2 = 1 1 q q + 1 q 2 q 2 + 1 .
Transition probabilities for this model are computed with numerical values in Table 9.
Time-dependent system size probabilities for this model are plotted in Figure 4.

7. Conclusions

This article finds bounds for the zeros of classical polynomials that are related to birth and death processes. As an application, transition probabilities related to g-fractions and modular forms are derived. The results are validated through numerical examples. Three different models have been considered and numerical values of transition probabilities have been computed for those models.

Author Contributions

Conceptualization, S.R.M. and S.D.; methodology, S.R.M. and S.D.; software, S.D.; validation, S.R.M. and S.D.; formal analysis, S.R.M. and S.D.; investigation, S.R.M. and S.D.; resources, S.R.M. and S.D.; writing—original draft preparation, S.D.; writing—review and editing, S.R.M. and S.D.; visualization, S.R.M. and S.D. All authors have read and agreed to the published version of the manuscript.

Funding

This work was supported by the Deanship of Scientific Research, Vice Presidency for Graduate Studies and Scientific Research, King Faisal University, Saudi Arabia [Grant No. 2268].

Data Availability Statement

Not applicable.

Conflicts of Interest

The authors declare no conflict of interest.

References

  1. Al-Salam, W.A. Characterization theorems for orthogonal polynomials. In Orthogonal Polynomials (Columbus, OH, 1989); Kluwer Academic Publishers: Dordrecht, The Netherlands, 1990; Volume 294, pp. 1–24. [Google Scholar]
  2. Nikiforov, A.F.; Uvarov, V.B.; Suslov, S.K. Classical orthogonal polynomials of a discrete variable. In Classical Orthogonal Polynomials of a Discrete Variable; Springer: Berlin/Heidelberg, Germany, 1991; pp. 18–54. [Google Scholar]
  3. Masjed-Jamei, M. A generalization of classical symmetric orthogonal functions using a symmetric generalization of Sturm-Liouville problems. Integral Transform. Spec. Funct. 2007, 18, 871–883. [Google Scholar] [CrossRef]
  4. Masjed-Jamei, M. Three finite classes of hypergeometric orthogonal polynomials and their application in functions approximation. Integral Transform. Spec. Funct. 2002, 13, 169–190. [Google Scholar] [CrossRef]
  5. Malik, P.; Swaminathan, A. Derivatives of a finite class of orthogonal polynomials defined on the positive real line related to F-distribution. Comput. Math. Appl. 2011, 61, 1180–1189. [Google Scholar] [CrossRef]
  6. Malik, P.; Swaminathan, A. Derivatives of a finite class of orthogonal polynomials related to inverse gamma distribution. Appl. Math. Comput. 2012, 218, 6251–6262. [Google Scholar] [CrossRef]
  7. Das, S.; Swaminathan, A. Higher order derivatives of R-Jacobi polynomials. AIP Conf. Proc. 2016, 1739, 020058. [Google Scholar]
  8. Routh, E.J. On some properties of certain solutions of a differential equation of the second order. Proc. Lond. Math. Soc. 1884, 1, 245–262. [Google Scholar] [CrossRef]
  9. Romanovski, V. Sur quelques classes nouvelles de polynomes orthogonaux. CR Acad. Sci. Paris 1929, 188, 1023–1025. [Google Scholar]
  10. Ismail, M.E.H. Classical and Quantum Orthogonal Polynomials in One Variable; Encyclopedia of Mathematics and Its Applications; Van Assche, W., Askey, R.A., Eds.; Cambridge University Press: Cambridge, UK, 2005; Volume 98, p. xviii+706. [Google Scholar] [CrossRef]
  11. Ismail, M.E.H.; Masson, D.R.; Letessier, J.; Valent, G. Birth and death processes and orthogonal polynomials. In Orthogonal Polynomials (Columbus, OH, 1989); Kluwer Academic Publishers: Dordrecht, The Netherlands, 1990; Volume 294, pp. 229–255. [Google Scholar] [CrossRef]
  12. Chihara, T.S. An Introduction to Orthogonal Polynomials; Mathematics and Its Applications; Gordon and Breach Science Publishers: New York, NY, USA; London, UK; Paris, France, 1978; Volume 13, p. xii+249. [Google Scholar]
  13. Ismail, M.E.H.; Li, X. Bound on the extreme zeros of orthogonal polynomials. Proc. Amer. Math. Soc. 1992, 115, 131–140. [Google Scholar] [CrossRef]
  14. Yule, G.U. A Mathematical Theory of Evolution, Based on the Conclusions of Dr. J. C. Willis, F.R.S. Philos. Trans. R. Soc. Lond. 1925, B213, 21–87. [Google Scholar]
  15. Valent, G. Asymptotic analysis of some associated orthogonal polynomials connected with elliptic functions. SIAM J. Math. Anal. 1994, 25, 749–775. [Google Scholar] [CrossRef]
  16. Gilewicz, J.; Leopold, E.; Valent, G. New Nevanlinna matrices for orthogonal polynomials related to cubic birth and death processes. J. Comput. Appl. Math. 2005, 178, 235–245. [Google Scholar] [CrossRef]
  17. Rainville, E.D. Special Functions; The Macmillan Company: New York, NY, USA, 1960; p. xii+365. [Google Scholar] [CrossRef]
  18. Wall, H.S. Analytic Theory of Continued Fractions; D. Van Nostrand Co., Inc.: New York, NY, USA, 1948; p. xiii+433. [Google Scholar]
  19. Baricz, A.; Swaminathan, A. Mapping properties of basic hypergeometric functions. J. Class. Anal. 2014, 5, 115–128. [Google Scholar] [CrossRef]
  20. Wilkinson, J.H. The Algebraic Eigenvalue Problem; Monographs on Numerical Analysis; Oxford University Press: New York, NY, USA, 1988; p. xviii+662. [Google Scholar]
  21. Parthasarathy, P.R.; Lenin, R.B.; Schoutens, W.; Van Assche, W. A birth and death process related to the Rogers–Ramanujan continued fraction. J. Math. Anal. Appl. 1998, 224, 297–315. [Google Scholar] [CrossRef]
  22. Murphy, J.A.; O’Donohoe, M.R. Some properties of continued fractions with applications in Markov processes. J. Inst. Math. Appl. 1975, 16, 57–71. [Google Scholar] [CrossRef]
  23. Folsom, A. Modular forms and Eisenstein’s continued fractions. J. Number Theory 2006, 117, 279–291. [Google Scholar] [CrossRef]
Figure 1. Time-dependent system size probabilities pr : = p 2 , r ( t ) in time t for model(a) with m = 2 , p = 2 k + 2.5 , q = 0.2 , N = 10 and r = 2 , 3 , 4 , 5 , 6 , 7 .
Figure 1. Time-dependent system size probabilities pr : = p 2 , r ( t ) in time t for model(a) with m = 2 , p = 2 k + 2.5 , q = 0.2 , N = 10 and r = 2 , 3 , 4 , 5 , 6 , 7 .
Symmetry 15 00890 g001
Figure 2. Time-dependent system size probabilities pr : = p 2 , r ( t ) in time t for model(b) with m = 2 , p = 2 k + 2.5 , N = 10 and r = 2 , 3 , 4 , 5 , 6 .
Figure 2. Time-dependent system size probabilities pr : = p 2 , r ( t ) in time t for model(b) with m = 2 , p = 2 k + 2.5 , N = 10 and r = 2 , 3 , 4 , 5 , 6 .
Symmetry 15 00890 g002
Figure 3. Time-dependent system size probabilities pr : = p 3 , r ( t ) in time t for model(c) with m = 3 , α = 0.5 , N = 10 and r = 1 , 2 , 3 , 4 , 5 , 6 , 7 .
Figure 3. Time-dependent system size probabilities pr : = p 3 , r ( t ) in time t for model(c) with m = 3 , α = 0.5 , N = 10 and r = 1 , 2 , 3 , 4 , 5 , 6 , 7 .
Symmetry 15 00890 g003
Figure 4. Time-dependent system size probabilities pr : = p 2 , r ( t ) in time t with m = 2 , N = 10 and r = 2 , 3 , 4 , 5 , 6 .
Figure 4. Time-dependent system size probabilities pr : = p 2 , r ( t ) in time t with m = 2 , N = 10 and r = 2 , 3 , 4 , 5 , 6 .
Symmetry 15 00890 g004
Table 1. Characteristics of classical orthogonal polynomials.
Table 1. Characteristics of classical orthogonal polynomials.
TypePolynomial σ ( x ) τ ( x ) Weight FunctionInterval
Jacobi 1 x 2 ( α + β + 2 ) x + ( β α ) ( 1 x ) α ( 1 + x ) β α , β > 1 [ 1 , 1 ]
InfiniteLaguerrex α + 1 x x α exp ( x ) ; α > 1 [ 0 , )
Hermite1 2 x exp ( x 2 ) ( , )
R-Jacobi x 2 + x ( 2 p ) x + ( 1 + q ) x q ( 1 + x ) ( p + q ) [ 0 , )
FiniteR-Hermite x 2 + 1 ( 3 2 p ) x ( 1 + x 2 ) ( p 1 / 2 ) ( , )
R-Bessel x 2 ( 2 p ) x + 1 x p exp ( 1 / x ) [ 0 , )
Table 2. Upper and lower bounds for different values of p, q and n.
Table 2. Upper and lower bounds for different values of p, q and n.
Value of p, q, nAS(n, p, q)L(n, p, q)B
p = 30, q = 1, n = 50.0008482140.0250038680.1828683730.677473464
p = 100, q = 3, n = 50.0032563780.0156895320.0522647610.306032160
p = 50, q = 5, n = 100.0133864120.0364911510.3991377162.334827874
p = 150, q = 10, n = 200.00750344070.0156062000.2352320111.100631480
Table 3. Upper and lower bounds for different values of p and n.
Table 3. Upper and lower bounds for different values of p and n.
Values of p, nAS(n,p)L(n,p)B
p = 60, n = 250.01741432420.0011001950.1276357141.232585676
p = 50, n = 200.01756905190.0015900430.1083681111.024097615
p = 70, n = 300.01774847330.0008071410.1468518491.440584860
p = 90, n = 400.01922059900.0004898530.1852097101.855779401
Table 4. Upper and lower bounds for cubic rates for n = 1 , 2 , 3 , 4 , 5 .
Table 4. Upper and lower bounds for cubic rates for n = 1 , 2 , 3 , 4 , 5 .
Value of nBA
n = 199.477267510.52273249
n = 2672.2966054−2.2966054
n = 32326.965295−6.965295
n = 45709.384764−11.384764
n = 511467.58306−15.583056
Table 5. Upper and lower bounds for quartic rates for n = 1 , 2 , 3 .
Table 5. Upper and lower bounds for quartic rates for n = 1 , 2 , 3 .
Value of nBA
n = 11294.4704171.5295830
n = 214248.78880−16.788798
n = 369140.94425−116.94425
Table 6. Transition probabilities for model(a), with p = 2 k + 2.5 , q = 0.2 , N = 10 .
Table 6. Transition probabilities for model(a), with p = 2 k + 2.5 , q = 0.2 , N = 10 .
mr p m , r ( 1 ) p m , r ( 5 ) p m , r ( 10 ) p m , r ( 15 ) p m , r ( 20 ) p m , r ( 25 ) p m , r ( 30 )
120.29214901120.23614849970.15221909750.10724927050.080525492700.063061343970.05080189081
30.087167422910.21326635660.17388948100.13465571130.10655795730.086419404050.07149194738
50.002380326730.083783294150.13393378650.13547641260.12402580260.11044489100.09768734107
70.000024307020.016017075950.061789245380.089820651950.10026489820.10125509390.09777580080
220.46871136700.19463944310.12911722950.094259155930.072411083860.057556571240.04682820943
30.26037102100.21329738590.15711278930.12195346310.097554501560.079870026220.06655452399
40.074019566160.17943845470.15988443280.13494219890.11363041100.096414863570.08256032205
50.013873327750.12058034530.14116100780.13274255180.11904452760.10539365550.09312573082
330.46664029350.18851091460.13335502480.10506713560.085564825990.071065918130.05985421345
40.24686022130.19749940120.14898833790.12218319800.10277612810.087637557030.07546816996
50.068136380990.16232962730.14510256410.12705220000.11151513930.098152612760.08668459066
60.012522108760.10747541720.12502470010.12024877410.11143877530.10188503300.09263129043
520.00009648467600.00040297361730.00011094217370.000024876613890.0000062924460810.0000019038415936.850542824 (−7)
50.42099570640.060816819460.012382878550.0032393820780.0010174183110.00037456773990.0001569887786
60.33982040280.12243105420.028082738940.0076875932570.0024604899060.00091015974560.0003817757263
80.04157802720.20284015000.086353059340.029650214640.010632842780.0041851389090.001821109112
Table 7. Transition probabilities for model(b), with p = 2 k + 2.5 , N = 10 .
Table 7. Transition probabilities for model(b), with p = 2 k + 2.5 , N = 10 .
mr p m , r ( 1 ) p m , r ( 5 ) p m , r ( 10 ) p m , r ( 15 ) p m , r ( 20 ) p m , r ( 25 ) p m , r ( 30 )
20.36686495120.070644563260.0061227863520.00076722205170.00014184409570.000036664182620.00001214606363
130.17015463820.14072430710.018886757600.0028112714180.00055684896770.00014682921580.00004891825431
40.05149065940.19416623330.043099152200.0078861545480.0017115148290.00046705526940.0001572694753
50.0114696380.20270970440.077625121670.017962750830.0043594718990.0012494817010.0004285528284
20.39964902010.030992786840.0030261114620.00044889964560.000094923957430.000026958105220.000009473396079
230.35933827330.086046793750.010552124210.0017240926310.00037860251300.00010845636800.00003828579884
40.16137574550.15407405710.027128505990.0050958875980.0011882225390.00034748842200.0001234936488
80.0035199200.10959103810.15037135520.068287970380.024819245850.0090823321130.003603371537
20.0022390669650.0021377570040.00037640440420.000070704761140.000016486429330.0000048213555330.000001713457916
430.048640640140.013779583920.0021930645770.00044166711540.00011226022810.000035345346840.00001326656829
40.41519993580.051316439360.0086818265260.0019534166980.00054836424800.00018660268730.00007398207589
70.042130350140.20228732970.076419915330.023282053970.0075377925330.0027353385670.001118752499
20.00000328818160.000064221266470.000029254997660.0000080796605270.0000022583456587.149512291 (−7)2.617673046 (−7)
650.065429412360.023573016410.0054070829510.0014801780730.00047374556510.00017524320740.00007350753874
60.42570987990.069620976130.016430305780.0048606552690.0016779319650.00066155825740.0002913915376
80.13746000470.18552992090.062086611300.020886528210.0077085313090.0031561244000.001425209067
Table 8. Transition probabilities for model(c), with α = 0.5 , N = 10 .
Table 8. Transition probabilities for model(c), with α = 0.5 , N = 10 .
mr p m , r ( 1 ) p m , r ( 5 ) p m , r ( 10 ) p m , r ( 15 ) p m , r ( 20 ) p m , r ( 25 ) p m , r ( 30 )
20.46882672320.19286338010.12642070620.092187818720.071366661250.057571331720.04781824363
230.26534382050.21686480540.15841004180.12267254790.098565047530.081528566750.06897910514
50.014436269360.12565580250.14675474690.13770284480.12363932940.11000373030.09802573107
60.002014322510.069875233930.11539358460.12378878130.11973788070.11178620830.1030428725
10.029174358540.070051805730.056127179420.043190815050.034246863580.028009192880.02349067590
320.16678754420.13631502040.099572026270.077108458570.061955172710.051246527640.04335829463
30.46727185000.19035020070.13487458750.10655554160.087440767680.073552243550.06302933573
60.012816600350.11062269480.12968023610.12537068750.11676546920.10744884530.09853498511
10.0040060930740.034901317840.038046049030.033011054500.027901961410.023741496450.02045846387
430.17533370720.17533370720.10723624670.088241428630.074671123570.064290718540.05610744881
50.24095343580.19261450160.14567277170.12239724160.10673953680.094655816980.08478676156
60.065400615670.15595325890.13951798530.12393690900.11169973490.10148577620.09267627585
510.0004297670080.014981580820.023629586410.023723141860.021679602660.019363354940.01724682791
30.036598751650.087791750770.079031556700.069500295490.061321428630.054391300690.04854685473
50.46637029670.18612496910.13207981360.10916422710.095069463680.084692929160.07634551417
60.23517332520.18715059230.14053945330.11818912520.10418880190.093886093200.08557504052
Table 9. Transition probabilities with q = 0.3 , N = 10 .
Table 9. Transition probabilities with q = 0.3 , N = 10 .
mr p m , r ( 1 ) p m , r ( 5 ) p m , r ( 10 ) p m , r ( 15 ) p m , r ( 20 ) p m , r ( 25 ) p m , r ( 30 )
220.39003570470.026585840410.0032517373690.00049999036300.000078407368550.000012317470870.000001935350659
30.37567949910.060582855950.0056645616510.00081706973240.00012720100660.000019967809690.000003137153307
40.18591632900.11398633510.010335500570.0013352676860.00020375211800.000031907195360.000005011638279
60.034591110.19415780520.034135035940.0037627038450.00051546094310.000078931806960.00001235816122
310.00046301948760.00045807595290.000080608433770.000012784555670.0000020105954183.159439443 (−7)4.964323829 (−8)
20.010143346490.0016357371130.00015294316490.000022060882780.0000034344271865.391308622 (−7)8.470313934 (−8)
40.37019217130.039760836280.0010702628140.000068255370420.0000090720985190.0000013988909142.193776390 (−7)
50.18452939450.091579060540.0034444661940.00014861949380.000015165824570.0000022374312453.491270317 (−7)
420.000040659903050.000024928811470.0000022603739752.920230428 (−7)4.456058821 (−8)6.978103621 (−9)1.096045292 (−9)
30.0029985565960.00032206277390.0000086691287885.528685000 (−7)7.348399796 (−8)1.133101637 (−8)1.776958875 (−9)
40.36982142300.0076882597640.000079268910200.0000016128866731.268093942 (−7)1.823425381 (−8)2.840614969 (−9)
60.18412549810.086288762350.0025136254490.000045051494979.149910149 (−7)5.327583632 (−8)7.116594456 (−9)
Disclaimer/Publisher’s Note: The statements, opinions and data contained in all publications are solely those of the individual author(s) and contributor(s) and not of MDPI and/or the editor(s). MDPI and/or the editor(s) disclaim responsibility for any injury to people or property resulting from any ideas, methods, instructions or products referred to in the content.

Share and Cite

MDPI and ACS Style

Mondal, S.R.; Das, S. Bounds for Extreme Zeros of Classical Orthogonal Polynomials Related to Birth and Death Processes. Symmetry 2023, 15, 890. https://doi.org/10.3390/sym15040890

AMA Style

Mondal SR, Das S. Bounds for Extreme Zeros of Classical Orthogonal Polynomials Related to Birth and Death Processes. Symmetry. 2023; 15(4):890. https://doi.org/10.3390/sym15040890

Chicago/Turabian Style

Mondal, Saiful R., and Sourav Das. 2023. "Bounds for Extreme Zeros of Classical Orthogonal Polynomials Related to Birth and Death Processes" Symmetry 15, no. 4: 890. https://doi.org/10.3390/sym15040890

APA Style

Mondal, S. R., & Das, S. (2023). Bounds for Extreme Zeros of Classical Orthogonal Polynomials Related to Birth and Death Processes. Symmetry, 15(4), 890. https://doi.org/10.3390/sym15040890

Note that from the first issue of 2016, this journal uses article numbers instead of page numbers. See further details here.

Article Metrics

Back to TopTop