Synthesis and Spectroscopic Properties of Selected Acrylic and Methacrylic Derivatives of 2-Mercaptobenzothiazole
Abstract
1. Introduction
2. Materials and Methods
2.1. Materials
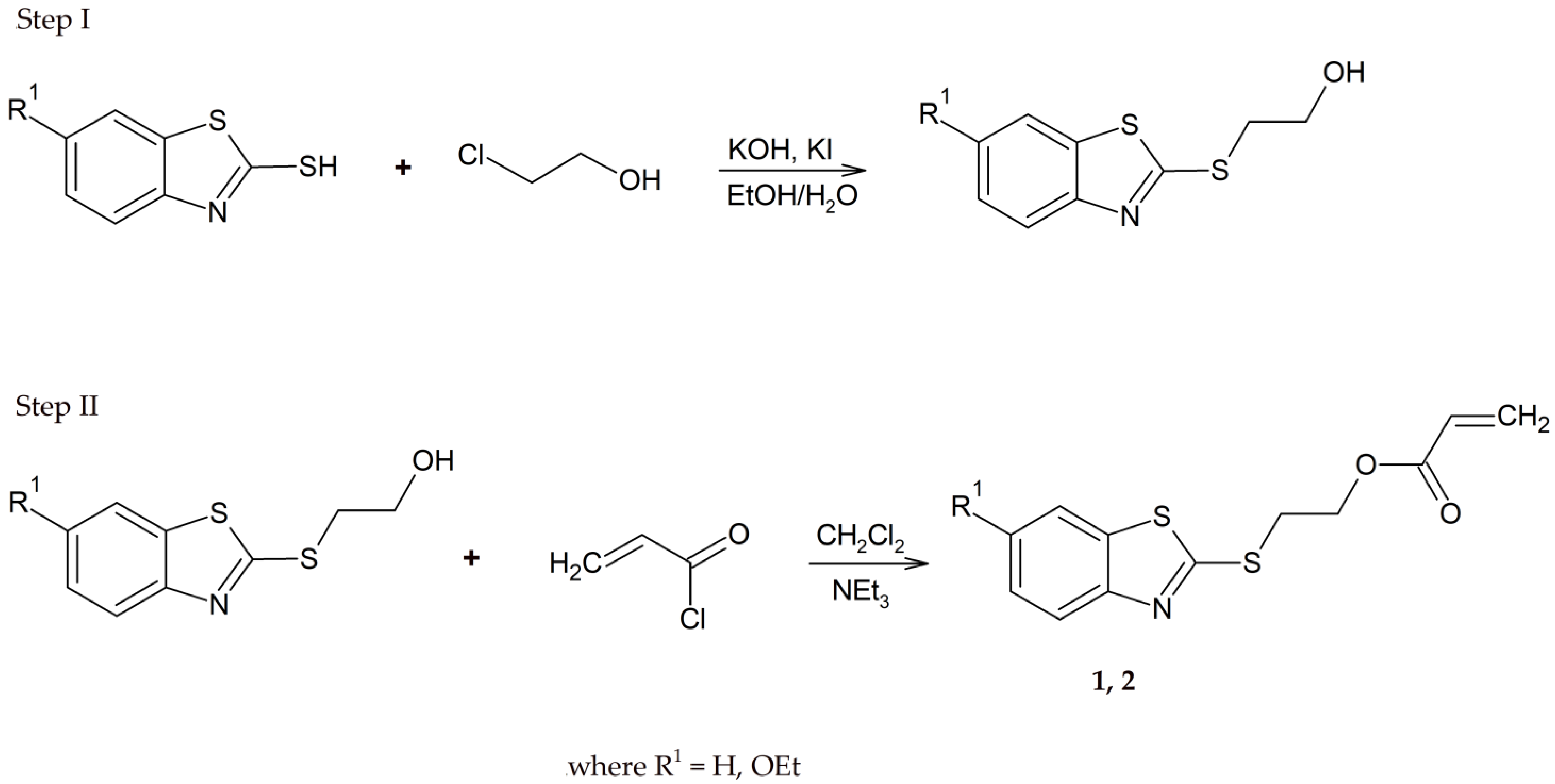
2.2. Synthesis
2.2.1. Synthesis of 2-(2-Benzothiazolylthio)ethyl Acrylate and Methacrylate Derivatives
2.2.2. Elemental Analysis Is as Follows
2.3. Experimental Measurements
2.3.1. NMR Measurements
2.3.2. Elemental Analysis Measurements
2.3.3. The Melting Point Measurements
2.3.4. UV–Vis Measurements
2.3.5. FT-IR Measurements
2.3.6. Quantum-Mechanical Calculations
3. Results and Discussion
3.1. Synthesis and NMR Data
3.2. Vibrational Analysis
3.3. Spectroscopic Studies
3.4. Computational Details
4. Conclusions
Author Contributions
Funding
Institutional Review Board Statement
Informed Consent Statement
Data Availability Statement
Acknowledgments
Conflicts of Interest
References
- Tropp, J.; Mehta, A.S.; Ji, X.; Surendran, A.; Wu, R.; Schafer, E.A.; Reddy, M.M.; Patel, S.P.; Petty, A.J.; Rivnay, J. Versatile Poly(3,4-ethylenedioxythiophene) Polyelectrolytes for Bioelectronics by Incorporation of an Activated Ester. Chem. Mater. 2022, 35, 41–50. [Google Scholar] [CrossRef]
- Jin, C.; Zeng, H.; Zhang, F.; Qiu, H.; Yang, Z.; Mutailipu, M.; Pan, S. Guanidinium Fluorooxoborates as Efficient Metal-free Short-Wavelength Nonlinear Optical Crystals. Chem. Mater. 2022, 34, 440–450. [Google Scholar] [CrossRef]
- Asem, H.; Malmström, E. Polymeric Nanoparticles Explored for Drug-Delivery Applications. ACS Symp. Ser. 2018, 1296, 315–331. [Google Scholar]
- Jiang, P.; He, Y.; Zhao, Y.; Chen, L. Hierarchical Surface Architecture of Hemodialysis Membranes for Eliminating Homocysteine Based on the Multifunctional Role of Pyridoxal 5′-phosphate. ACS Appl. Mater. Interfaces 2020, 12, 36837–36850. [Google Scholar] [CrossRef] [PubMed]
- Zhang, Y.; Zhang, M.; Xu, X.; HH Chan, C.; Peng, H.; JT Hill, D.; Fu, C.; Fraser, J.; KWhittaker, A. Anti-Fouling Surfaces for Extracorporeal Membrane Oxygenation by Surface Grafting of Hydrophilic Sulfoxide Polymers. Biomacromolecules 2022, 23, 4318–4326. [Google Scholar] [CrossRef]
- Keum, H.; Kim, J.Y.; Yu, B.; Yu, S.J.; Kim, J.; Jeon, H.; Lee, D.Y.; Im, S.G.; Jon, S. Prevention of bacterial colonization on catheters by a one-step coating process involving an antibiofouling polymer in water. ACS Appl. Mater. Interfaces 2017, 9, 19736–19745. [Google Scholar] [CrossRef]
- Yeazel, T.R.; Becker, M.L. Advancing Toward 3D Printing of Bioresorbable Shape Memory Polymer Stents. Biomacromolecules 2020, 21, 3957–3965. [Google Scholar] [CrossRef]
- Alizadehgiashi, M.; Nemr, C.R.; Chekini, M.; Pinto Ramos, D.; Mittal, N.; Ahmed, S.U.; Khuu, N.; Kelley, S.O.; Kumacheva, E. Multifunctional 3D-Printed Wound Dressings. ACS Nano 2021, 15, 12375–12387. [Google Scholar] [CrossRef]
- Fan, S.; Chen, K.; Yuan, W.; Zhang, D.; Yang, S.; Lan, P.; Song, L.; Shao, H.; Zhang, Y. Biomaterial-Based Scaffolds as Antibacterial Suture Materials. ACS Biomater. Sci. Eng. 2020, 6, 3154–3161. [Google Scholar] [CrossRef]
- Guan, X.; Wei, T.; Cai, J.; Sun, J.; Yu, S.; Guo, D. Poly(propylene fumarate)-Based Adhesives with a Transformable Adhesion Force for Suture-Free Fixation of Soft Tissue Wounds. ACS Appl. Polym. Mater. 2022, 4, 1855–1866. [Google Scholar] [CrossRef]
- Klinge, U.; Klosterhalfen, B.; Öttinger, A.P.; Junge, K.; Schumpelick, V. PVDF as a new polymer for the construction of surgical meshes. Biomaterials 2002, 23, 3487–3493. [Google Scholar] [CrossRef] [PubMed]
- Ratner, B.D. Polymeric Implants. Polym. Sci. A Compr. Ref. 2012, 9, 397–411. [Google Scholar] [CrossRef]
- Bozukova, D.; Pagnoulle, C.; Jérôme, R.; Jérôme, C. Polymers in modern ophthalmic implants—Historical background and recent advances. Mater. Sci. Eng. R Rep. 2010, 69, 63–83. [Google Scholar] [CrossRef]
- Cramer, N.B.; Stansbury, J.W.; Bowman, C.N. Recent advances and developments in composite dental restorative materials. J. Dent. Res. 2011, 90, 402–416. [Google Scholar] [CrossRef]
- Maitz, M.F. Applications of synthetic polymers in clinical medicine. Biosurf. Biotribol. 2015, 1, 161–176. [Google Scholar] [CrossRef]
- Parra, F.; Vázquez, B.; Benito, L.; Barcenilla, J.; San Román, J. Foldable antibacterial acrylic intraocular lenses of high refractive index. Biomacromolecules 2009, 10, 3055–3061. [Google Scholar] [CrossRef]
- Chisholm, B.J.; Pickett, J.E. Method of Making a High Refractive Index Optical Management Coating and the Coating. U.S. Patent 7,045,558 B2, 15 May 2006. [Google Scholar]
- Cracium, L.; Polishchuk, O.; Schriver, G.W.; Hainz, R. High Refractive Index Monomers, Compositions and Uses Thereof. U.S. Patent 2008/0200582 A1, 21 August 2008. [Google Scholar]
- Lee, C.; Yang, W.; Parr, R.G. Development of the Colle-Salvetti correlation-energy formula into a functional of the electron density. Phys. Rev. B 1988, 37, 785–789. [Google Scholar] [CrossRef] [PubMed]
- Becke, A.D. Density-functional thermochemistry. III. The role of exact exchange. J. Chem. Phys. 1993, 98, 5648. [Google Scholar] [CrossRef]
- Ong, B.K.; Woon, K.L.; Ariffin, A. Evaluation of various density functionals for predicting the electrophosphorescent host HOMO, LUMO and triplet energies. Synth. Met. 2014, 195, 54–60. [Google Scholar] [CrossRef]
- Petersson, G.A.; Bennett, A.; Tensfeldt, T.G.; Al-Laham, M.A.; Shirley, W.A.; Mantzaris, J. A complete basis set model chemistry. I. The total energies of closed-shell atoms and hydrides of the first-row elements. J. Chem. Phys. 1988, 89, 2193–2218. [Google Scholar] [CrossRef]
- Petersson, G.A.; Al-Laham, M.A. A complete basis set model chemistry. II. Open-shell systems and the total energies of the first-row atoms. J. Chem. Phys. 1991, 94, 6081–6090. [Google Scholar] [CrossRef]
- Frisch, M.J.; Trucks, G.W.; Schlegel, H.B.; Scuseria, G.E.; Robb, M.A.; Cheeseman, J.R.; Scalmani, G.; Barone, V.; Petersson, G.A.; Nakatsuji, H.; et al. Gaussian 09, Revision A.02. Available online: http://gaussian.com/g09citation/ (accessed on 7 December 2017).
- Hanwell, M.D.; Curtis, D.E.; Lonie, D.C.; Vandermeerschd, T.; Zurek, E.; Hutchison, G.R. Avogadro: An advanced semantic chemical editor, visualization, and analysis platform. J. Cheminform. 2012, 4, 17. [Google Scholar] [CrossRef] [PubMed]
- Hioki, Y.; Shibata, M.; Otani, T.; Ichinosawa, A.; Uehara, H.; Sumiya, N.; Teruda, T. (Meth)acrylate Compound and Polymerizable Composition. Patent JP2017014213A, 19 January 2017. [Google Scholar]
- Azhagiri, S.; Jayakumar, S.; Gunasekaran, S.; Srinivasan, S. Molecular structure, Mulliken charge, frontier molecular orbital and first hyperpolarizability analysis on 2-nitroaniline and 4-methoxy-2-nitroaniline using density functional theory. Spectrochim. Acta Part A Mol. Biomol. Spectrosc. 2014, 124, 199–202. [Google Scholar] [CrossRef]
- Singh, P.; Reena; Kumar, A.; Gupta, A.; Patil, P.S. Spectroscopic investigation and density functional theory prediction of first and second order hyperpolarizabilities of 1-(4-bromophenyl)-3-(2,4-dichlorophenyl)-prop-2-en-1-one. J. Mol. Struct. 2022, 1269, 133807. [Google Scholar] [CrossRef]
- Rauk, A. Orbital Interaction Theory of Organic Chemistry, 2nd ed.; Wiley-Interscience: New York, NY, USA, 2001. [Google Scholar]
- Streitwieser, A.J. Molecular Orbital Theory for Organic Chemists; Wiley: New York, NY, USA, 1961. [Google Scholar]







| Compound | Solvent | CH=CH2/ C(CH3)=CH2 | CH=CH2 | C(CH3)=CH2 | CH2–O | S–CH2 |
|---|---|---|---|---|---|---|
| 1 | CHCl3 | 6.35; 5.75 | 6.04 | - | 4.46 | 3.53 |
| CHCl3 | 7.05; 6.30 | 6.53 | - | 4.37 | 3.48 | |
| DMSO-d6 | 7.04, 6.37 | 6.59 | - | 4.40 | 3.53 | |
| 2 | CHCl3 | 6.34, 5.76 | 6.04 | - | 4.46 | 3.55 |
| CHCl3 | 7.03; 6.29 | 6.51 | - | 4.35 | 3.43 | |
| DMSO-d6 | 7.02, 6.36 | 6.59 | - | 4.44 | 3.53 | |
| 3 | CHCl3 | 6.04, 5.48 | - | 1.84 | 4.46 | 3.61 |
| CHCl3 | 6.78; 5.98 | - | 1.93 | 4.36 | 3.51 | |
| DMSO-d6 | 6.70, 6.04 | - | 2.02 | 4.39 | 3.58 | |
| 4 | CHCl3 | 6.03, 5.49 | - | 1.85 | 4.46 | 3.62 |
| CHCl3 | 6.76; 5.94 | - | 1.97 | 4.32 | 3.46 | |
| DMSO-d6 | 6.75, 6.02 | - | 1.94 | 4.26 | 3.56 |
| Compound | Solvent | CH=CH2/ C(CH3)=CH2 | CH=CH2/ C(CH3)=CH2 | C=O | CH2–O | S–CH2 |
|---|---|---|---|---|---|---|
| 1 | CHCl3 | 135.3 | 131.4 | 165.8 | 62.7 | 31.8 |
| CHCl3 | 142.45 | 135.64 | 174.25 | 66.4 | 39.2 | |
| DMSO-d6 | 142.9 | 135.8 | 175.1 | 66.7 | 39.3 | |
| 2 | CHCl3 | 131.3 | 128.0 | 165.8 | 62.8 | 32.0 |
| CHCl3 | 142.3 | 135.6 | 174.2 | 66.5 | 39.0 | |
| DMSO-d6 | 142.6 | 135.4 | 175.0 | 66.4 | 39.1 | |
| 3 | CHCl3 | 126.1 | 135.5 | 167.0 | 62.8 | 39.9 |
| CHCl3 | 136.9 | 146.9 | 175.0 | 66.5 | 39.2 | |
| DMSO-d6 | 136.7 | 148.1 | 176.2 | 66.7 | 39.1 | |
| 4 | CHCl3 | 126.1 | 135.9 | 167.1 | 63.0 | 32.2 |
| CHCl3 | 136.8 | 146.9 | 174.8 | 66.6 | 39.0 | |
| DMSO-d6 | 136.8 | 146.8 | 175.1 | 66.3 | 39.1 |
| Compounds | νs and νas (C–H) | νs and νas (C–H) | ν (C=O) | ν (C=C) | ||
|---|---|---|---|---|---|---|
![]() | or | ![]() | ![]() | |||
| 1 | 3032–3435 | 2889–2985 | 1720 | 1633 | ||
| 2 | 3035–3434 | 2880–2978 | 1721 | 1634 | ||
| 3 | 3060 | 2890–2953 | 1714 | 1635 | ||
| 4 | 3078–3408 | 2894–2976 | 1710 | 1635 | ||
| Compound | Solvent | λab (nm) (Measured) | λab (nm) (Calculated) | ε (×104, M−1 · cm−1) | Direct Energy Band Gap (eV) |
|---|---|---|---|---|---|
| 1 | DCM | 278 | 276 | 1.58 | 3.93 |
| MeOH | 277 | 275 | 1.68 | 3.92 | |
| DMSO | 280 | 276 | 2.47 | 3.95 | |
| 2 | DCM | 291 | 287 | 2.72 | 3.86 |
| MeOH | 296 | 286 | 2.92 | 3.89 | |
| DMSO | 298 | 287 | 3.05 | 3.89 | |
| 3 | DCM | 279 | 276 | 2.00 | 4.03 |
| MeOH | 278 | 275 | 1.65 | 4.03 | |
| DMSO | 280 | 276 | 1.89 | 4.02 | |
| 4 | DCM | 292 | 278 | 2.15 | 3.90 |
| MeOH | 296 | 286 | 2.22 | 3.91 | |
| DMSO | 298 | 287 | 1.79 | 3.86 |
| Compound | Solvent | HOMO (eV) | LUMO (eV) | Energy Gap (eV) | η (eV) |
|---|---|---|---|---|---|
| 1 | DCM | −6.2811 | −1.7943 | 4.4868 | 2.2434 |
| MeOH | −6.2882 | −1.7878 | 4.5004 | 2.2502 | |
| DMSO | −6.2893 | −1.7872 | 4.5021 | 2.2510 | |
| 2 | DCM | −5.8727 | −1.7894 | 4.0833 | 2.0416 |
| MeOH | −5.8871 | −1.7845 | 4.1026 | 2.0513 | |
| DMSO | −5.8890 | −1.7839 | 4.1050 | 2.0525 | |
| 3 | DCM | −6.2806 | −1.6335 | 4.6471 | 2.3235 |
| MeOH | −6.2871 | −1.6332 | 4.6539 | 2.3269 | |
| DMSO | −6.2879 | −1.6327 | 4.6552 | 2.3276 | |
| 4 | DCM | −5.8713 | −1.6250 | 4.2463 | 2.1231 |
| MeOH | −5.8868 | −1.6278 | 4.2591 | 2.1295 | |
| DMSO | −5.8885 | −1.6294 | 4.2591 | 2.1295 |
Disclaimer/Publisher’s Note: The statements, opinions and data contained in all publications are solely those of the individual author(s) and contributor(s) and not of MDPI and/or the editor(s). MDPI and/or the editor(s) disclaim responsibility for any injury to people or property resulting from any ideas, methods, instructions or products referred to in the content. |
© 2023 by the authors. Licensee MDPI, Basel, Switzerland. This article is an open access article distributed under the terms and conditions of the Creative Commons Attribution (CC BY) license (https://creativecommons.org/licenses/by/4.0/).
Share and Cite
Kabatc-Borcz, J.; Czeleń, P.; Skotnicka, A. Synthesis and Spectroscopic Properties of Selected Acrylic and Methacrylic Derivatives of 2-Mercaptobenzothiazole. Symmetry 2023, 15, 370. https://doi.org/10.3390/sym15020370
Kabatc-Borcz J, Czeleń P, Skotnicka A. Synthesis and Spectroscopic Properties of Selected Acrylic and Methacrylic Derivatives of 2-Mercaptobenzothiazole. Symmetry. 2023; 15(2):370. https://doi.org/10.3390/sym15020370
Chicago/Turabian StyleKabatc-Borcz, Janina, Przemysław Czeleń, and Agnieszka Skotnicka. 2023. "Synthesis and Spectroscopic Properties of Selected Acrylic and Methacrylic Derivatives of 2-Mercaptobenzothiazole" Symmetry 15, no. 2: 370. https://doi.org/10.3390/sym15020370
APA StyleKabatc-Borcz, J., Czeleń, P., & Skotnicka, A. (2023). Synthesis and Spectroscopic Properties of Selected Acrylic and Methacrylic Derivatives of 2-Mercaptobenzothiazole. Symmetry, 15(2), 370. https://doi.org/10.3390/sym15020370




