Density-Induced Hadron–Quark Crossover via the Formation of Cooper Triples
Abstract
1. Introduction
2. Model and Methods
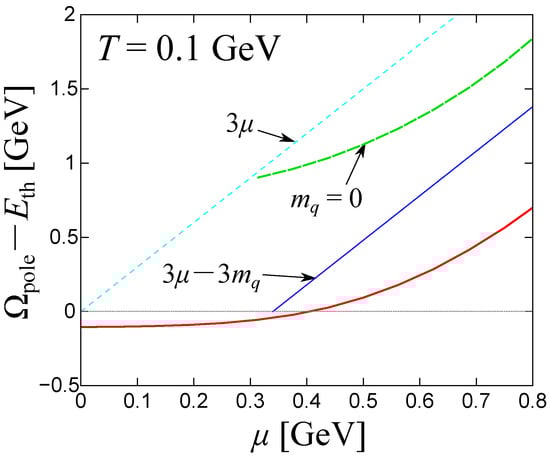
3. Results and Discussion
4. Conclusions
Author Contributions
Funding
Institutional Review Board Statement
Informed Consent Statement
Data Availability Statement
Acknowledgments
Conflicts of Interest
Abbreviations
| QCD | Quantum chromodynamics |
| BCS | Bardeen–Cooper–Schrieffer |
| BEC | Bose–Einstein condensation |
References
- Baym, G.; Hatsuda, T.; Kojo, T.; Powell, P.D.; Song, Y.; Takatsuka, T. From hadrons to quarks in neutron stars: A review. Rep. Prog. Phys. 2018, 81, 056902. [Google Scholar] [CrossRef] [PubMed]
- Watts, A.L.; Andersson, N.; Chakrabarty, D.; Feroci, M.; Hebeler, K.; Israel, G.; Lamb, F.K.; Miller, M.C.; Morsink, S.; Özel, F.; et al. Colloquium: Measuring the neutron star equation of state using x-ray timing. Rev. Mod. Phys. 2016, 88, 021001. [Google Scholar] [CrossRef]
- Baiotti, L. Gravitational waves from neutron star mergers and their relation to the nuclear equation of state. Prog. Part. Nucl. Phys. 2019, 109, 103714. [Google Scholar] [CrossRef]
- Lattimer, J.M. The nuclear equation of state and neutron star masses. Annu. Rev. Nucl. Part. Sci. 2012, 62, 485–515. [Google Scholar]
- Nagata, K. Finite-density lattice QCD and sign problem: Current status and open problems. Prog. Part. Nucl. Phys. 2022, 127, 103991. [Google Scholar] [CrossRef]
- McLerran, L.; Pisarski, R.D. Phases of dense quarks at large Nc. Nucl. Phys. A 2007, 796, 83–100. [Google Scholar] [CrossRef]
- Fukushima, K.; Hatsuda, T. The phase diagram of dense QCD. Rep. Prog. Phys. 2010, 74, 014001. [Google Scholar]
- Masuda, K.; Hatsuda, T.; Takatsuka, T. Hadron–Quark crossover and massive hybrid stars with strangeness. Astrophys. J. 2013, 764, 12. [Google Scholar]
- Masuda, K.; Hatsuda, T.; Takatsuka, T. Hadron–quark crossover and massive hybrid stars. Prog. Theor. Exp. Phys. 2013, 2013, 073D01. [Google Scholar] [CrossRef]
- Huang, Y.J.; Baiotti, L.; Kojo, T.; Takami, K.; Sotani, H.; Togashi, H.; Hatsuda, T.; Nagataki, S.; Fan, Y.Z. Merger and Postmerger of Binary Neutron Stars with a Quark-Hadron Crossover Equation of State. Phys. Rev. Lett. 2022, 129, 181101. [Google Scholar] [CrossRef]
- Kedia, A.; Kim, H.I.; Suh, I.S.; Mathews, G.J. Binary neutron star mergers as a probe of quark-hadron crossover equations of state. Phys. Rev. D 2022, 106, 103027. [Google Scholar] [CrossRef]
- Kojo, T.; Baym, G.; Hatsuda, T. Implications of NICER for Neutron Star Matter: The QHC21 Equation of State. Astrophys. J. 2022, 934, 46. [Google Scholar] [CrossRef]
- Kojo, T. QCD equations of state and speed of sound in neutron stars. AAPPS Bull. 2021, 31, 11. [Google Scholar] [CrossRef]
- McLerran, L.; Reddy, S. Quarkyonic Matter and Neutron Stars. Phys. Rev. Lett. 2019, 122, 122701. [Google Scholar] [CrossRef] [PubMed]
- Kojo, T.; Suenaga, D. Peaks of sound velocity in two color dense QCD: Quark saturation effects and semishort range correlations. Phys. Rev. D 2022, 105, 076001. [Google Scholar] [CrossRef]
- Iida, K.; Itou, E.; Lee, T.G. Two-colour QCD phases and the topology at low temperature and high density. J. High Energy Phys. 2020, 2020, 181. [Google Scholar]
- Iida, K.; Itou, E. Velocity of Sound beyond the High-Density Relativistic Limit from Lattice Simulation of Dense Two-Color QCD. Prog. Theor. Exp. Phys. 2022, 2022, 111B01. [Google Scholar] [CrossRef]
- Chen, Q.; Stajic, J.; Tan, S.; Levin, K. BCS–BEC crossover: From high temperature superconductors to ultracold superfluids. Phys. Rep. 2005, 412, 1–88. [Google Scholar]
- Zwerger, W. The BCS-BEC Crossover and the Unitary Fermi Gas; Springer: Berlin/Heidelberg, Germany, 2011; Volume 836. [Google Scholar]
- Randeria, M.; Taylor, E. Crossover from Bardeen-Cooper-Schrieffer to Bose-Einstein condensation and the unitary Fermi gas. Annu. Rev. Condens. Matter Phys. 2014, 5, 209–232. [Google Scholar]
- Strinati, G.C.; Pieri, P.; Röpke, G.; Schuck, P.; Urban, M. The BCS–BEC crossover: From ultra-cold Fermi gases to nuclear systems. Phys. Rep. 2018, 738, 1–76. [Google Scholar] [CrossRef]
- Ohashi, Y.; Tajima, H.; van Wyk, P. BCS–BEC crossover in cold atomic and in nuclear systems. Prog. Part. Nucl. Phys. 2020, 111, 103739. [Google Scholar] [CrossRef]
- Richie-Halford, A.; Drut, J.E.; Bulgac, A. Emergence of a Pseudogap in the BCS-BEC Crossover. Phys. Rev. Lett. 2020, 125, 060403. [Google Scholar] [CrossRef] [PubMed]
- Durel, D.; Urban, M. BCS-BEC Crossover Effects and Pseudogap in Neutron Matter. Universe 2020, 6, 8. [Google Scholar] [CrossRef]
- Tajima, H.; Liang, H. Role of the effective range in the density-induced BEC-BCS crossover. Phys. Rev. A 2022, 106, 043308. [Google Scholar] [CrossRef]
- Kasahara, S.; Watashige, T.; Hanaguri, T.; Kohsaka, Y.; Yamashita, T.; Shimoyama, Y.; Mizukami, Y.; Endo, R.; Ikeda, H.; Aoyama, K.; et al. Field-induced superconducting phase of FeSe in the BCS-BEC cross-over. Proc. Natl. Acad. Sci. USA 2014, 111, 16309–16313. [Google Scholar] [CrossRef]
- Hashimoto, T.; Ota, Y.; Tsuzuki, A.; Nagashima, T.; Fukushima, A.; Kasahara, S.; Matsuda, Y.; Matsuura, K.; Mizukami, Y.; Shibauchi, T.; et al. Bose-Einstein condensation superconductivity induced by disappearance of the nematic state. Sci. Adv. 2020, 6, eabb9052. [Google Scholar] [CrossRef]
- Nakagawa, Y.; Kasahara, Y.; Nomoto, T.; Arita, R.; Nojima, T.; Iwasa, Y. Gate-controlled BCS-BEC crossover in a two-dimensional superconductor. Science 2021, 372, 190–195. [Google Scholar] [CrossRef]
- Suzuki, Y.; Wakamatsu, K.; Ibuka, J.; Oike, H.; Fujii, T.; Miyagawa, K.; Taniguchi, H.; Kanoda, K. Mott-Driven BEC-BCS Crossover in a Doped Spin Liquid Candidate κ-(BEDT-TTF)4Hg2.89Br8. Phys. Rev. X 2022, 12, 011016. [Google Scholar] [CrossRef]
- Pittel, S.; Engel, J.; Dukelsky, J.; Ring, P. The nucleus as a condensate of collective quark triplets. Phys. Lett. B 1990, 247, 185–190. [Google Scholar] [CrossRef]
- Yagi, K.; Hatsuda, T.; Miake, Y. Quark-Gluon Plasma: From Big Bang to Little Bang; Cambridge University Press: Cambridge, UK, 2005; Volume 23. [Google Scholar]
- Greiner, W.; Schramm, S.; Stein, E. Quantum Chromodynamics; Springer: Berlin/Heidelberg, Germany, 2007. [Google Scholar]
- O’Hara, K.M. Realizing analogues of color superconductivity with ultracold alkali atoms. New J. Phys. 2011, 13, 065011. [Google Scholar] [CrossRef]
- Nishida, Y. New Type of Crossover Physics in Three-Component Fermi Gases. Phys. Rev. Lett. 2012, 109, 240401. [Google Scholar] [CrossRef] [PubMed]
- Nishida, Y. Polaronic Atom-Trimer Continuity in Three-Component Fermi Gases. Phys. Rev. Lett. 2015, 114, 115302. [Google Scholar] [CrossRef] [PubMed]
- Andrenacci, N.; Perali, A.; Pieri, P.; Strinati, G.C. Density-induced BCS to Bose-Einstein crossover. Phys. Rev. B 1999, 60, 12410–12418. [Google Scholar] [CrossRef]
- Niemann, P.; Hammer, H.W. Pauli-blocking effects and Cooper triples in three-component Fermi gases. Phys. Rev. A 2012, 86, 013628. [Google Scholar] [CrossRef]
- Kirk, T.; Parish, M.M. Three-body correlations in a two-dimensional SU(3) Fermi gas. Phys. Rev. A 2017, 96, 053614. [Google Scholar] [CrossRef]
- Tajima, H.; Tsutsui, S.; Doi, T.M.; Iida, K. Three-body crossover from a Cooper triple to a bound trimer state in three-component Fermi gases near a triatomic resonance. Phys. Rev. A 2021, 104, 053328. [Google Scholar] [CrossRef]
- Tajima, H.; Tsutsui, S.; Doi, T.M.; Iida, K. Cooper triples in attractive three-component fermions: Implication for hadron-quark crossover. Phys. Rev. Research 2022, 4, L012021. [Google Scholar] [CrossRef]
- Guo, Y.; Tajima, H. Stability against three-body clustering in one-dimensional spinless p-wave fermions. Phys. Rev. A 2022, 106, 043310. [Google Scholar] [CrossRef]
- Guo, Y.; Tajima, H. Competition between pairing and tripling in one-dimensional fermions with coexistent s-and p-wave interactions. arXiv 2022, arXiv:2210.07042. [Google Scholar]
- Kang, B.L.; Shi, M.Z.; Li, S.J.; Wang, H.H.; Zhang, Q.; Zhao, D.; Li, J.; Song, D.W.; Zheng, L.X.; Nie, L.P.; et al. Preformed Cooper Pairs in Layered FeSe-Based Superconductors. Phys. Rev. Lett. 2020, 125, 097003. [Google Scholar] [CrossRef]
- Bastiaans, K.M.; Chatzopoulos, D.; Ge, J.F.; Cho, D.; Tromp, W.O.; van Ruitenbeek, J.M.; Fischer, M.H.; de Visser, P.J.; Thoen, D.J.; Driessen, E.F.; et al. Direct evidence for Cooper pairing without a spectral gap in a disordered superconductor above Tc. Science 2021, 374, 608–611. [Google Scholar] [PubMed]
- Akagami, S.; Tajima, H.; Iida, K. Condensation of Cooper triples. Phys. Rev. A 2021, 104, L041302. [Google Scholar] [CrossRef]
- McKenney, J.R.; Jose, A.; Drut, J.E. Thermodynamics and static response of anomalous one-dimensional fermions via a quantum Monte Carlo approach in the worldline representation. Phys. Rev. A 2020, 102, 023313. [Google Scholar] [CrossRef]
- Liu, S.Y.F.; Rapp, R. T-matrix approach to quark-gluon plasma. Phys. Rev. C 2018, 97, 034918. [Google Scholar] [CrossRef]
- Thompson, R.H. Three-Dimensional Bethe-Salpeter Equation Applied to the Nucleon-Nucleon Interaction. Phys. Rev. D 1970, 1, 110–117. [Google Scholar] [CrossRef]
- Capstick, S.; Isgur, N. Baryons in a relativized quark model with chromodynamics. Phys. Rev. D 1986, 34, 2809–2835. [Google Scholar] [CrossRef]
- Takahashi, T.T.; Matsufuru, H.; Nemoto, Y.; Suganuma, H. Three-Quark Potential in SU(3) Lattice QCD. Phys. Rev. Lett. 2001, 86, 18–21. [Google Scholar] [CrossRef]
- Takahashi, T.T.; Suganuma, H.; Nemoto, Y.; Matsufuru, H. Detailed analysis of the three-quark potential in SU(3) lattice QCD. Phys. Rev. D 2002, 65, 114509. [Google Scholar] [CrossRef]
- Richard, J.; Taxil, P. Ground state baryons in the non-relativistic quark model. Ann. Phys. 1983, 150, 267–286. [Google Scholar] [CrossRef]
- Carlson, J.; Kogut, J.; Pandharipande, V.R. Quark model for baryons based on quantum chromodynamics. Phys. Rev. D 1983, 27, 233–243. [Google Scholar] [CrossRef]
- Blask, W.; Bohn, U.; Huber, M.; Metsch, B.C.; Petry, H. Hadron spectroscopy with instanton induced quark forces. Zeitschrift für Physik A Atomic Nuclei 1990, 337, 327–335. [Google Scholar]
- Sogo, T.; Röpke, G.; Schuck, P. Many-body approach for quartet condensation in strong coupling. Phys. Rev. C 2010, 81, 064310. [Google Scholar] [CrossRef]
- Beyer, M.; Mattiello, S.; Frederico, T.; Weber, H. Three-quark clusters at finite temperatures and densities. Phys. Lett. B 2001, 521, 33–41. [Google Scholar] [CrossRef]
- Jin, M.; Urban, M.; Schuck, P. BEC-BCS crossover and the liquid-gas phase transition in hot and dense nuclear matter. Phys. Rev. C 2010, 82, 024911. [Google Scholar] [CrossRef]
- Tajima, H.; Naidon, P. Quantum chromodynamics (QCD)-like phase diagram with Efimov trimers and Cooper pairs in resonantly interacting SU(3) Fermi gases. New J. Phys. 2019, 21, 073051. [Google Scholar] [CrossRef]
- Holdom, B.; Ren, J.; Zhang, C. Quark Matter May Not Be Strange. Phys. Rev. Lett. 2018, 120, 222001. [Google Scholar] [CrossRef]
- Alford, M.G.; Schmitt, A.; Rajagopal, K.; Schäfer, T. Color superconductivity in dense quark matter. Rev. Mod. Phys. 2008, 80, 1455–1515. [Google Scholar] [CrossRef]
- Röpke, G.; Blaschke, D.; Schulz, H. Pauli quenching effects in a simple string model of quark/nuclear matter. Phys. Rev. D 1986, 34, 3499–3513. [Google Scholar] [CrossRef]
- Blaschke, D.; Grigorian, H.; Röpke, G. Chirally Improved Quark Pauli Blocking in Nuclear Matter and Applications to Quark Deconfinement in Neutron Stars. Particles 2020, 3, 477–499. [Google Scholar] [CrossRef]
- Barabanov, M.; Bedolla, M.; Brooks, W.; Cates, G.; Chen, C.; Chen, Y.; Cisbani, E.; Ding, M.; Eichmann, G.; Ent, R.; et al. Diquark correlations in hadron physics: Origin, impact and evidence. Prog. Part. Nucl. Phys. 2021, 116, 103835. [Google Scholar] [CrossRef]
- Roberts, C.D. Empirical Consequences of Emergent Mass. Symmetry 2020, 12, 1468. [Google Scholar] [CrossRef]
- Hatsuda, T.; Tachibana, M.; Yamamoto, N.; Baym, G. New Critical Point Induced By the Axial Anomaly in Dense QCD. Phys. Rev. Lett. 2006, 97, 122001. [Google Scholar] [CrossRef] [PubMed]
- Kadanoff, L.P.; Baym, G. Quantum Statistical Mechanics: Green’s Function Methods in Equilibrium and Nonequilibrium Problems; CRC Press: Boca Raton, FL, USA, 2018. [Google Scholar]
- Wang, J.C.; Wang, Q.; Rischke, D.H. Baryon formation and dissociation in dense hadronic and quark matter. Phys. Lett. B 2011, 704, 347–353. [Google Scholar] [CrossRef]
- Barrois, B.C. Superconducting quark matter. Nucl. Phys. B 1977, 129, 390–396. [Google Scholar] [CrossRef]
- Shahrbaf, M.; Blaschke, D.; Typel, S.; Farrar, G.R.; Alvarez-Castillo, D.E. Sexaquark dilemma in neutron stars and its solution by quark deconfinement. Phys. Rev. D 2022, 105, 103005. [Google Scholar] [CrossRef]
- Nagata, K.; Nishimura, J.; Shimasaki, S. Complex Langevin calculations in finite density QCD at large μ/T with the deformation technique. Phys. Rev. D 2018, 98, 114513. [Google Scholar] [CrossRef]
- Ito, Y.; Matsufuru, H.; Namekawa, Y.; Nishimura, J.; Shimasaki, S.; Tsuchiya, A.; Tsutsui, S. Complex Langevin calculations in QCD at finite density. J. High Energy Phys. 2020, 2020, 144. [Google Scholar] [CrossRef]
- Berger, C.; Rammelmüller, L.; Loheac, A.; Ehmann, F.; Braun, J.; Drut, J. Complex Langevin and other approaches to the sign problem in quantum many-body physics. Phys. Rep. 2021, 892, 1–54. [Google Scholar] [CrossRef]




Disclaimer/Publisher’s Note: The statements, opinions and data contained in all publications are solely those of the individual author(s) and contributor(s) and not of MDPI and/or the editor(s). MDPI and/or the editor(s) disclaim responsibility for any injury to people or property resulting from any ideas, methods, instructions or products referred to in the content. |
© 2023 by the authors. Licensee MDPI, Basel, Switzerland. This article is an open access article distributed under the terms and conditions of the Creative Commons Attribution (CC BY) license (https://creativecommons.org/licenses/by/4.0/).
Share and Cite
Tajima, H.; Tsutsui, S.; Doi, T.M.; Iida, K. Density-Induced Hadron–Quark Crossover via the Formation of Cooper Triples. Symmetry 2023, 15, 333. https://doi.org/10.3390/sym15020333
Tajima H, Tsutsui S, Doi TM, Iida K. Density-Induced Hadron–Quark Crossover via the Formation of Cooper Triples. Symmetry. 2023; 15(2):333. https://doi.org/10.3390/sym15020333
Chicago/Turabian StyleTajima, Hiroyuki, Shoichiro Tsutsui, Takahiro M. Doi, and Kei Iida. 2023. "Density-Induced Hadron–Quark Crossover via the Formation of Cooper Triples" Symmetry 15, no. 2: 333. https://doi.org/10.3390/sym15020333
APA StyleTajima, H., Tsutsui, S., Doi, T. M., & Iida, K. (2023). Density-Induced Hadron–Quark Crossover via the Formation of Cooper Triples. Symmetry, 15(2), 333. https://doi.org/10.3390/sym15020333

