Research on Establishment and Application of Digital Twin for a Phase-Shift Full-Bridge Current Doubling Rectifier Converter
Abstract
1. Introduction
2. Establishment of Digital Twin
2.1. Physical Layer
2.2. Digital Layer
2.3. Computational Layer
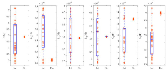
3. Experiment of Digital Twin
4. Application of the Digital Twin
4.1. Application of Digital Twin on Soft Faults
4.2. Application of Digital Twin on Hard Faults
5. Conclusions
Author Contributions
Funding
Institutional Review Board Statement
Informed Consent Statement
Data Availability Statement
Conflicts of Interest
References
- Chen, J.; Wang, C.; Chen, J. Investigation on the selection of electric power system architecture for future more electric aircraft. IEEE Trans. Transp. Electrif. 2018, 4, 563–576. [Google Scholar] [CrossRef]
- Gokdag, M.; Gulbudak, O. Model predictive control of AC-DC matrix converter with unity input power factor. In Proceedings of the 2018 IEEE 12th International Conference on Compatibility, Power Electronics and Power Engineering (CPE-POWERENG 2018), Doha, Qatar, 10–12 April 2018. [Google Scholar]
- Wang, G.; Wang, X.; Lv, J. An improved harmonic suppression control strategy for the hybrid microgrid bidirectional AC/DC converter. IEEE Access 2020, 8, 220422–220436. [Google Scholar] [CrossRef]
- Fu, C.; Zhang, C.; Zhang, G.; Song, J.; Zhang, C.; Duan, B. Disturbance Observer-Based Finite-Time Control for Three-Phase AC–DC Converter. IEEE Trans. Ind. Electron. 2021, 69, 5637–5647. [Google Scholar] [CrossRef]
- Jorge, S.G.; Solsona, J.A.; Busada, C.A. Nonlinear Control of a Two-Stage Single-Phase DC–AC Converter. IEEE J. Emerg. Sel. Top. Ind. Electron. 2022, 3, 1038–1045. [Google Scholar] [CrossRef]
- Luo, S.; Wu, W.; Koutroulis, E.; Chung, H.S.-H.; Blaabjerg, F. A new virtual oscillator control without third-harmonics injection for DC/AC inverter. IEEE Trans. Power Electron. 2021, 36, 10879–10888. [Google Scholar] [CrossRef]
- Yin, Y.; Liu, J.; Marquez, A.; Lin, X.; Leon, J.I.; Vazquez, S.; Franquelo, L.G.; Wu, L. Advanced control strategies for DC–DC buck converters with parametric uncertainties via experimental evaluation. IEEE Trans. Circuits Syst. I: Regul. Pap. 2020, 67, 5257–5267. [Google Scholar] [CrossRef]
- Lai, W.; Chen, M.; Ran, L.; Alatise, O.; Xu, S.; Mawby, P. Low ΔTj Stress Cycle Effect in IGBT Power Module Die-Attach Lifetime Modeling. IEEE Trans. Power Electron. 2015, 31, 6575–6585. [Google Scholar] [CrossRef]
- Wu, Y.; Du, X. A VEN condition monitoring method of DC-link capacitors for power converters. IEEE Trans. Ind. Electron. 2018, 66, 1296–1306. [Google Scholar] [CrossRef]
- Dusmez, S.; Bhardwaj, M.; Sun, L.; Akin, B. In situ condition monitoring of high-voltage discrete power MOSFET in boost converter through software frequency response analysis. IEEE Trans. Ind. Electron. 2016, 63, 7693–7702. [Google Scholar] [CrossRef]
- Xiang, D.; Ran, L.; Tavner, P.; Yang, S.; Bryant, A.; Mawby, P. Condition monitoring power module solder fatigue using inverter harmonic identification. IEEE Trans. Power Electron. 2011, 27, 235–247. [Google Scholar] [CrossRef]
- Danilczyk, W.; Sun, Y.; He, H. Angel: An intelligent digital twin framework for microgrid security. In Proceedings of the 2019 North American Power Symposium (NAPS), Wichita, KS, USA, 13–15 October 2019. [Google Scholar]
- Ezhilarasu, C.M.; Skaf, Z.; Jennions, I.K. Understanding the role of a digital twin in integrated vehicle health management (IVHM). In Proceedings of the 2019 IEEE International Conference on Systems, Man and Cybernetics (SMC), Bari, Italy, 6–9 October 2019. [Google Scholar]
- Jain, P.; Poon, J.; Singh, J.P.; Spanos, C.; Sanders, S.R.; Panda, S.K. A digital twin approach for fault diagnosis in distributed photovoltaic systems. IEEE Trans. Power Electron. 2019, 35, 940–956. [Google Scholar] [CrossRef]
- Song, X.; Cai, H.; Kircheis, J.; Jiang, T.; Schlegel, S.; Westermann, D. Application of digital twin assistant-system in state estimation for inverter dominated grid. In Proceedings of the 2020 55th International Universities Power Engineering Conference (UPEC), Turin, Italy, 1–4 September 2020. [Google Scholar]
- Milovanovic, S.; Polanco, I.; Utvic, M.; Dujic, D. Flexible and efficient mmc digital twin realized with small-scale real-time simulators. IEEE Power Electron. Mag. 2021, 8, 24–33. [Google Scholar] [CrossRef]
- Race, S.; Nagel, M.; Kovacevic-Badstuebner, I.; Ziemann, T.; Grossner, U. Towards digital twins for the optimization of power electronic switching cells with discrete SiC power MOSFETs. In Proceedings of the PCIM Europe 2022; International Exhibition and Conference for Power Electronics, Intelligent Motion, Renewable Energy and Energy Management, Nuremberg, Germany, 10–12 May 2022. [Google Scholar]
- Wunderlich, A.; Santi, E. Digital twin models of power electronic converters using dynamic neural networks. In Proceedings of the 2021 IEEE Applied Power Electronics Conference and Exposition (APEC), Phoenix, AZ, USA, 14–17 June 2021. [Google Scholar]
- Milton, M.; De La O, C.; Ginn, H.L.; Benigni, A. Controller-embeddable probabilistic real-time digital twins for power electronic converter diagnostics. IEEE Trans. Power Electron. 2020, 35, 9850–9864. [Google Scholar] [CrossRef]
- Peng, Y.; Wang, H. Application of digital twin concept in condition monitoring for dc-dc converter. In Proceedings of the 2019 IEEE Energy Conversion Congress and Exposition (ECCE), Baltimore, MD, USA, 29 September–3 October 2019. [Google Scholar]
- Peng, Y.; Zhao, S.; Wang, H. A digital twin based estimation method for health indicators of DC–DC converters. IEEE Trans. Power Electron. 2020, 36, 2105–2118. [Google Scholar] [CrossRef]
- Wu, Q.; Wang, W.; Wang, Q.; Xiao, L.; Hu, B. Digital Twin Approach for Degradation Parameters Identification of a Single-Phase DC-AC Inverter. In Proceedings of the 2022 IEEE Applied Power Electronics Conference and Exposition (APEC), Houston, TX, USA, 20–24 March 2022. [Google Scholar]
- Mirza, A.B.; Choksi, K.; Vala, S.S.; Radha, K.M.; Chinthavali, M.S.; Luo, F. Cognitive Insights into Metaheuristic Digital Twin based Health Monitoring of DC-DC Converters. In Proceedings of the 2022 24th European Conference on Power Electronics and Applications (EPE’22 ECCE Europe), Hanover, Germany, 5–9 September 2022. [Google Scholar]
- Liu, Y.; Chen, G.; Liu, Y.; Mo, L.; Qing, X. Condition Monitoring of Power Electronics Converters Based on Digital Twin. In Proceedings of the 2021 IEEE 3rd International Conference on Circuits and Systems (ICCS), Chengdu, China, 29–31 October 2021. [Google Scholar]
- Chen, S.; Wang, S.; Wen, P.; Zhao, S. Digital Twin for Degradation Parameters Identification of DC-DC Converters Based on Bayesian Optimization. In Proceedings of the 2021 IEEE International Conference on Prognostics and Health Management (ICPHM), Detroit (Romulus), MI, USA, 7–9 June 2021. [Google Scholar]
- Rajendran, S.; Devi, V.K.; Diaz, M. Digital twin based identification of degradation parameters of DC-DC converters using an Arithmetic Optimization Algorithm. In Proceedings of the 2022 3rd International Conference for Emerging Technology (INCET), Belgaum, India, 27–29 May 2022. [Google Scholar]
- Millan, J.; Godignon, P.; Perpiñà, X.; Pérez-Tomás, A.; Rebollo, J. A survey of wide bandgap power semiconductor devices. IEEE Trans. Power Electron. 2013, 29, 2155–2163. [Google Scholar] [CrossRef]
- Shi, Y. Particle swarm optimization: Developments, applications and resources. In Proceedings of the 2001 Congress on Evolutionary Computation (IEEE Cat. No. 01TH8546), Seoul, Republic of Korea, 27–30 May 2001. [Google Scholar]
- Peyghami, S.; Palensky, P.; Blaabjerg, F. An overview on the reliability of modern power electronic based power systems. IEEE Open J. Power Electron. 2020, 1, 34–50. [Google Scholar] [CrossRef]
- Soliman, H.; Wang, H.; Blaabjerg, F. A review of the condition monitoring of capacitors in power electronic converters. IEEE Trans. Ind. Appl. 2016, 52, 4976–4989. [Google Scholar] [CrossRef]
- Scirè, D.; Rosato, S.; Lullo, G.; Vitale, G. A temperature dependent non-linear inductor model for a DC/DC boost converter. In Proceedings of the 2018 15th International Conference on Synthesis, Modeling, Analysis and Simulation Methods and Applications to Circuit Design (SMACD), Prague, Czech Republic, 2–5 July 2018. [Google Scholar]
- Pei, X.; Nie, S.; Chen, Y.; Kang, Y. Open-circuit fault diagnosis and fault-tolerant strategies for full-bridge DC–DC converters. IEEE Trans. Power Electron. 2011, 27, 2550–2565. [Google Scholar] [CrossRef]
- Xu, H.; Peng, Y.; Su, L. Research on Open Circuit Fault Diagnosis of Inverter Circuit Switching tube Based on Machine Learning Algorithm. IOP Conf. Ser. Mater. Sci. Eng. 2018, 452, 042015. [Google Scholar] [CrossRef]
















| Parameter | Indicators | Parameter | Indicators |
|---|---|---|---|
| Vin | 270 V (250 V–280 V) | Maximum Vin ripple | 6 V |
| Vout | 28 V (22 V–29 V) | Maximum Vout ripple | 1.5 V |
| Po | 1 kW | ft | 200 kHz |
| Parameter | Value | Parameter | Value |
|---|---|---|---|
| C1 | 100 µF | Lr | 5 µH |
| C2 | 684 µF | L1, L2 | 47 µH |
| Ca, Cb, Cc, Cd | 150 pF | R | >0.7 Ω 1 |
| Period | Maximum | Minimum | p-p Value | Mean | Variance | Standard Deviation | Kurtosis | Skewness | Waveform | Peak | Pulse | Margin |
|---|---|---|---|---|---|---|---|---|---|---|---|---|
| 1 | 273.444 | −270.566 | 544.010 | 0.296 | 29,164.897 | 170.777 | 2.500 | 0.008 | 1.581 | 1.601 | 2.532 | 6.289 |
| 2 | 270.920 | −272.933 | 543.853 | 10.487 | 26,137.145 | 161.670 | 2.759 | −0.025 | 1.667 | 1.672 | 2.787 | 7.683 |
| 3 | 272.259 | −275.883 | 548.142 | 0.002 | 29,296.096 | 171.161 | 2.501 | 0.000 | 1.581 | 1.591 | 2.515 | 6.248 |
| 4 | 271.100 | −276.002 | 547.102 | −11.084 | 26,056.404 | 161.420 | 2.752 | 0.004 | 1.667 | 1.676 | 2.793 | 7.702 |
| 5 | 271.087 | −272.283 | 543.370 | 21.474 | 28,835.378 | 169.810 | 2.439 | −0.064 | 1.581 | 1.584 | 2.504 | 6.218 |
| 6 | 273.019 | −271.854 | 544.873 | −0.011 | 23,295.633 | 152.629 | 3.126 | 0.000 | 1.768 | 1.789 | 3.162 | 9.797 |
| 7 | 273.887 | −271.892 | 545.779 | 0.153 | 29,228.823 | 170.964 | 2.500 | 0.004 | 1.581 | 1.602 | 2.533 | 6.293 |
| 8 | 273.851 | −271.120 | 544.971 | 21.663 | 28,715.446 | 169.456 | 2.435 | −0.057 | 1.581 | 1.603 | 2.535 | 6.293 |
| 9 | 273.356 | −273.796 | 547.152 | −10.830 | 26,034.891 | 161.353 | 2.756 | 0.013 | 1.667 | 1.690 | 2.817 | 7.770 |
| 10 | 274.347 | −270.990 | 545.337 | 11.143 | 26,149.781 | 161.709 | 2.751 | −0.003 | 1.667 | 1.693 | 2.821 | 7.777 |
| State | Serial Number |
|---|---|
| Normal | 10000 |
| Leading arm open circuit | 01000 |
| Lagging arm open circuit | 00100 |
| R open circuit | 00010 |
| Lr open circuit | 00001 |
| State | Number of Periods | |||||||||
|---|---|---|---|---|---|---|---|---|---|---|
| 1 | 2 | 3 | 4 | 5 | 6 | 7 | 8 | 9 | 10 | |
| Experimental condition: normal | ||||||||||
| Normal | 1.002→1 | 0.961→1 | 0.948→1 | 0.955→1 | 0.870→1 | 0.919→1 | 0.568→1 | 0.868→1 | 1.025→1 | 0.824→1 |
| Leading arm open circuit | −0.063→0 | −0.019→0 | −0.035→0 | −0.039→0 | −0.021→0 | −0.023→0 | −0.037→0 | −0.078→0 | −0.051→0 | −0.036→0 |
| Lagging arm open circuit | −0.011→0 | −0.010→0 | −0.028→0 | −0.007→0 | −0.016→0 | −0.014→0 | 0.006→0 | 0.004→0 | 0.002→0 | −0.006→0 |
| R open circuit | 0.017→0 | 0.033→0 | 0.053→0 | 0.039→0 | 0.116→0 | 0.074→0 | 0.433→0 | 0.143→0 | 0.002→0 | 0.160→0 |
| Lr open circuit | 0.047→0 | 0.027→0 | 0.044→0 | 0.045→0 | 0.041→0 | 0.030→0 | 0.038→0 | 0.033→0 | 0.027→0 | 0.054→0 |
| Experimental condition: leading arm open circuit | ||||||||||
| Normal | −0.046→0 | −0.043→0 | −0.049→0 | −0.062→0 | −0.069→0 | −0.063→0 | −0.054→0 | −0.056→0 | −0.063→0 | −0.061→0 |
| Leading arm open circuit | 1.027→1 | 1.011→1 | 1.028→1 | 1.030→1 | 1.039→1 | 1.040→1 | 1.028→1 | 1.016→1 | 1.019→1 | 1.012→1 |
| Lagging arm open circuit | 0.065→0 | 0.060→0 | 0.076→0 | 0.078→0 | 0.080→0 | 0.090→0 | 0.074→0 | 0.079→0 | 0.085→0 | 0.089→0 |
| R open circuit | −0.222→0 | −0.201→0 | −0.204→0 | −0.197→0 | −0.208→0 | −0.196→0 | −0.205→0 | −0.178→0 | −0.171→0 | −0.158→0 |
| Lr open circuit | 0.176→0 | 0.174→0 | 0.150→0 | 0.151→0 | 0.157→0 | 0.130→0 | 0.157→0 | 0.139→0 | 0.129→0 | 0.117→0 |
Disclaimer/Publisher’s Note: The statements, opinions and data contained in all publications are solely those of the individual author(s) and contributor(s) and not of MDPI and/or the editor(s). MDPI and/or the editor(s) disclaim responsibility for any injury to people or property resulting from any ideas, methods, instructions or products referred to in the content. |
© 2023 by the authors. Licensee MDPI, Basel, Switzerland. This article is an open access article distributed under the terms and conditions of the Creative Commons Attribution (CC BY) license (https://creativecommons.org/licenses/by/4.0/).
Share and Cite
Liu, G.; Wang, X.; Wang, M.; Wang, W. Research on Establishment and Application of Digital Twin for a Phase-Shift Full-Bridge Current Doubling Rectifier Converter. Symmetry 2023, 15, 292. https://doi.org/10.3390/sym15020292
Liu G, Wang X, Wang M, Wang W. Research on Establishment and Application of Digital Twin for a Phase-Shift Full-Bridge Current Doubling Rectifier Converter. Symmetry. 2023; 15(2):292. https://doi.org/10.3390/sym15020292
Chicago/Turabian StyleLiu, Guihua, Xinyang Wang, Mingyi Wang, and Wei Wang. 2023. "Research on Establishment and Application of Digital Twin for a Phase-Shift Full-Bridge Current Doubling Rectifier Converter" Symmetry 15, no. 2: 292. https://doi.org/10.3390/sym15020292
APA StyleLiu, G., Wang, X., Wang, M., & Wang, W. (2023). Research on Establishment and Application of Digital Twin for a Phase-Shift Full-Bridge Current Doubling Rectifier Converter. Symmetry, 15(2), 292. https://doi.org/10.3390/sym15020292
