Magnetic Field-Induced Resistivity Upturn and Non-Topological Origin in the Quasi-One-Dimensional Semimetals
Abstract
:1. Introduction
2. Experimental and Methods
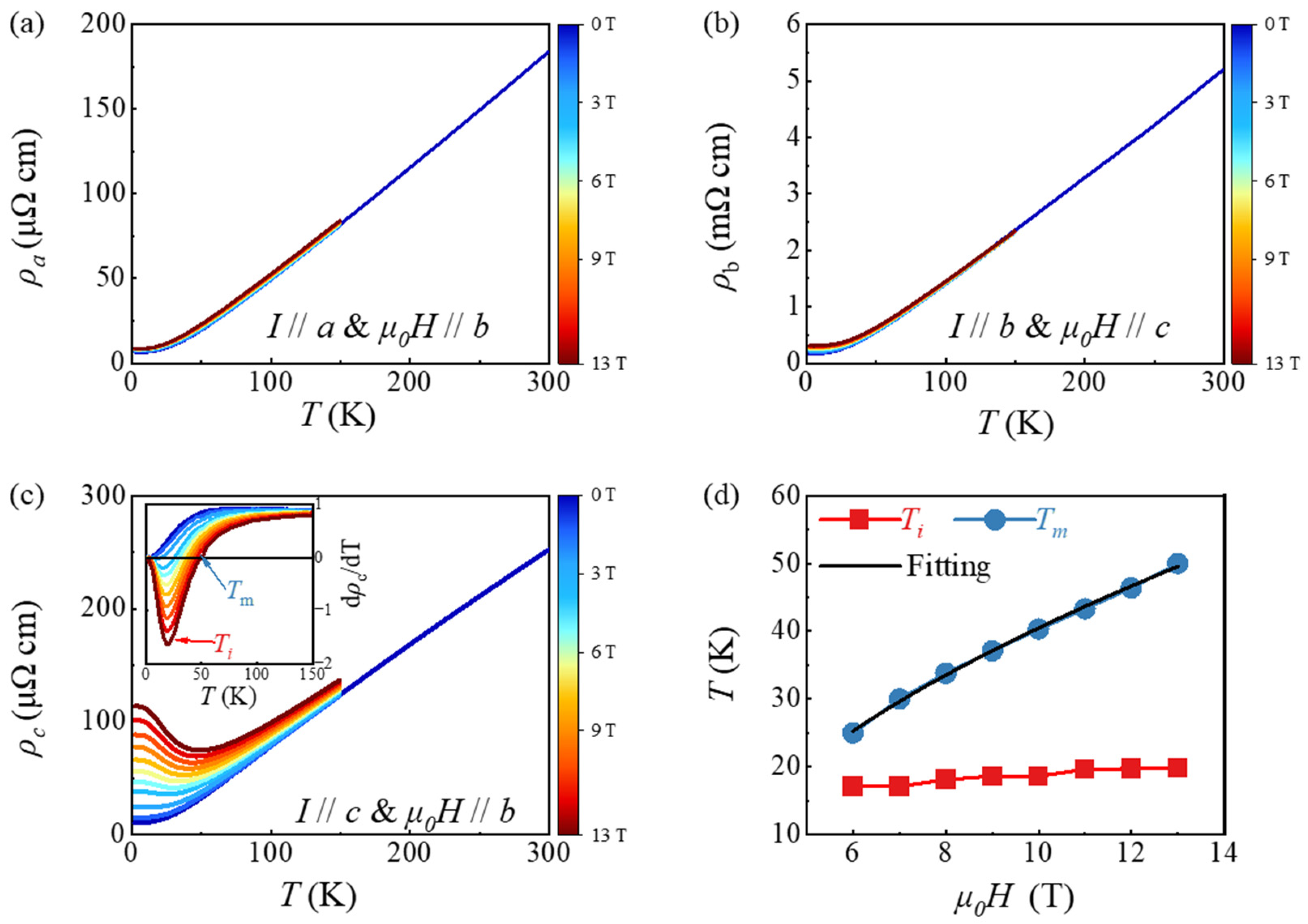
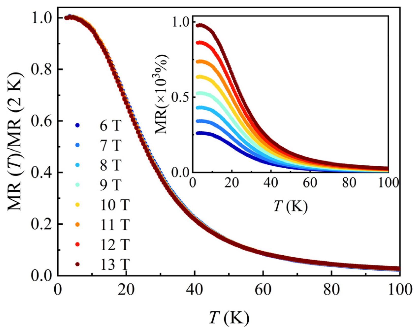
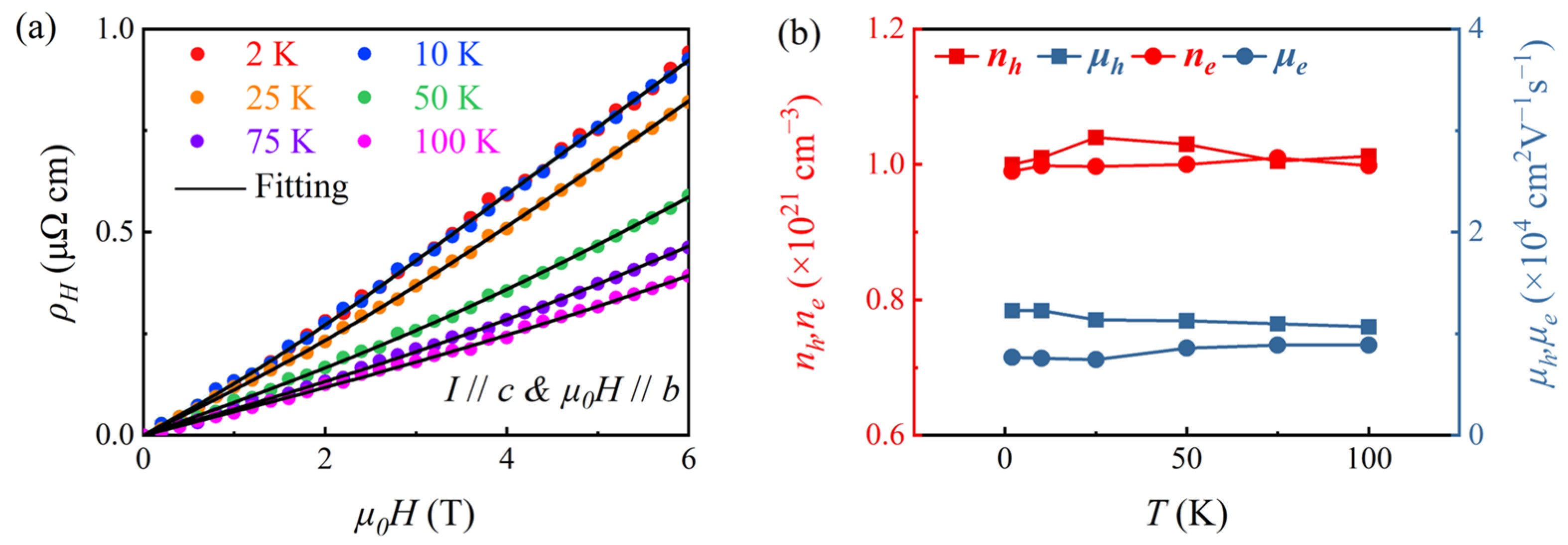
3. Results and Discussion
4. Conclusions
Author Contributions
Funding
Data Availability Statement
Conflicts of Interest
References
- Li, P.; Qiu, P.; Xu, Q.; Luo, J.; Xiong, Y.; Xiao, J.; Aryal, N.; Li, Q.; Chen, L.; Shi, X. Colossal Nernst power factor in topological semimetal NbSb2. Nat. Commun. 2022, 13, 7612. [Google Scholar] [CrossRef]
- Burkov, A.A. Topological semimetals. Nat. Mater. 2016, 15, 1145–1148. [Google Scholar] [CrossRef]
- Bernevig, B.A.; Felser, C.; Beidenkopf, H. Progress and prospects in magnetic topological materials. Nature 2022, 603, 41–51. [Google Scholar] [CrossRef]
- Chen, L.; Setty, C.; Hu, H.; Vergniory, M.G.; Grefe, S.E.; Fischer, L.; Yan, X.; Eguchi, G.; Prokofiev, A.; Paschen, S.; et al. Topological semimetal driven by strong correlations and crystalline symmetry. Nat. Phys. 2022, 18, 1341–1346. [Google Scholar] [CrossRef]
- Noguchi, R.; Takahashi, T.; Kuroda, K.; Ochi, M.; Shirasawa, T.; Sakano, M.; Bareille, C.; Nakayama, M.; Watson, M.D.; Yaji, K.; et al. A weak topological insulator state in quasi-one-dimensional bismuth iodide. Nature 2019, 566, 518–522. [Google Scholar] [CrossRef]
- Lin, C.; Ochi, M.; Noguchi, R.; Kuroda, K.; Sakoda, M.; Nomura, A.; Tsubota, M.; Zhang, P.; Bareille, C.; Kurokawa, K.; et al. Visualization of the strain-induced topological phase transition in a quasi-one-dimensional superconductor TaSe3. Nat. Mater. 2021, 20, 1093–1099. [Google Scholar] [CrossRef]
- Jiao, W.-H.; Xiao, S.; Zhang, S.-J.; Yang, W.-Z.; Xie, X.-M.; Liu, Y.; Liu, J.-Y.; Song, S.-J.; Liu, W.; Ren, Z.; et al. Structure and transport properties of the quasi-one-dimensional telluride Ta1.2Os0.8Te4. Phys. Rev. B 2022, 105, 064201. [Google Scholar] [CrossRef]
- Stühler, R.; Reis, F.; Müller, T.; Helbig, T.; Schwemmer, T.; Thomale, R.; Schäfer, J.; Claessen, R. Tomonaga–Luttinger liquid in the edge channels of a quantum spin Hall insulator. Nat. Phys. 2020, 16, 47–51. [Google Scholar] [CrossRef]
- Wang, D.-Y.; Jiang, Q.; Kuroda, K.; Kawaguchi, K.; Harasawa, A.; Yaji, K.; Ernst, A.; Qian, H.-J.; Liu, W.-J.; Zha, H.-M.; et al. Coexistence of Strong and Weak Topological Orders in a Quasi-One-Dimensional Material. Phys. Rev. Lett. 2022, 129, 146401. [Google Scholar] [CrossRef]
- Schönemann, R.; Chiu, Y.-C.; Zheng, W.; Quito, V.L.; Sur, S.; McCandless, G.T.; Chan, J.Y.; Balicas, L. Bulk Fermi surface of the Weyl type-II semimetallic candidate NbIrTe4. Phys. Rev. B 2019, 99, 195128. [Google Scholar] [CrossRef]
- Khim, S.; Koepernik, K.; Efremov, D.V.; Klotz, J.; Förster, T.; Wosnitza, J.; Sturza, M.I.; Wurmehl, S.; Hess, C.; van den Brink, J.; et al. Magnetotransport and de Haas--van Alphen measurements in the type-II Weyl semimetal TaIrTe4. Phys. Rev. B 2016, 94, 165145. [Google Scholar] [CrossRef]
- Liu, J.; Wang, H.; Fang, C.; Fu, L.; Qian, X. van der Waals Stacking-Induced Topological Phase Transition in Layered Ternary Transition Metal Chalcogenides. Nano Lett. 2017, 17, 467–475. [Google Scholar] [CrossRef]
- Jiao, W.-H.; Xie, X.-M.; Liu, Y.; Xu, X.; Li, B.; Xu, C.-Q.; Liu, J.-Y.; Zhou, W.; Li, Y.-K.; Yang, H.-Y.; et al. Topological Dirac states in a layered telluride TaPdTe5 with quasi-one-dimensional PdTe2 chains. Phys. Rev. B 2020, 102, 075141. [Google Scholar] [CrossRef]
- Xiao, S.; Jiao, W.-H.; Lin, Y.; Jiang, Q.; Yang, X.; He, Y.; Jiang, Z.; Yang, Y.; Liu, Z.; Ye, M.; et al. Dirac nodal lines in the quasi-one-dimensional ternary telluride TaPtTe5. Phys. Rev. B 2022, 105, 195145. [Google Scholar] [CrossRef]
- Jiao, W.-H.; Xiao, S.; Liu, W.; Liu, Y.; Qiu, H.-Q.; Xia, K.; He, S.; Li, Y.; Cao, G.-H.; Xu, X. Anisotropic transport and multiple topology in quasi-one-dimensional ternary telluride NbNiTe5. Phys. Rev. B 2023, 107, 195124. [Google Scholar] [CrossRef]
- Koepernik, K.; Kasinathan, D.; Efremov, D.V.; Khim, S.; Borisenko, S.; Büchner, B.; van den Brink, J. TaIrTe4: A ternary type-II Weyl semimetal. Phys. Rev. B 2016, 93, 201101. [Google Scholar] [CrossRef]
- Zhou, W.; Li, B.; Xu, C.Q.; van Delft, M.R.; Chen, Y.G.; Fan, X.C.; Qian, B.; Hussey, N.E.; Xu, X. Nonsaturating Magnetoresistance and Nontrivial Band Topology of Type-II Weyl Semimetal NbIrTe4. Adv. Electron. Mater. 2019, 5, 1900250. [Google Scholar] [CrossRef]
- Belopolski, I.; Yu, P.; Sanchez, D.S.; Ishida, Y.; Chang, T.-R.; Zhang, S.S.; Xu, S.-Y.; Zheng, H.; Chang, G.; Bian, G.; et al. Signatures of a time-reversal symmetric Weyl semimetal with only four Weyl points. Nat. Commun. 2017, 8, 942. [Google Scholar] [CrossRef]
- Xing, Y.; Shao, Z.; Ge, J.; Luo, J.; Wang, J.; Zhu, Z.; Liu, J.; Wang, Y.; Zhao, Z.; Yan, J.; et al. Surface superconductivity in the type II Weyl semimetal TaIrTe4. Natl. Sci. Rev. 2019, 7, 579–587. [Google Scholar] [CrossRef]
- Mar, A.; Ibers, J.A. Synthesis and physical properties of the new layered ternary tellurides MIrTe4 (M = Nb, Ta), and the structure of NbIrTe4. J. Solid State Chem. 1992, 97, 366–376. [Google Scholar] [CrossRef]
- Mar, A.; Jobic, S.; Ibers, J.A. Metal-metal vs tellurium-tellurium bonding in WTe2 and its ternary variants TaIrTe4 and NbIrTe4. J. Am. Chem. Soc. 1992, 114, 8963–8971. [Google Scholar] [CrossRef]
- Jiao, W.-H.; Xiao, S.; Li, B.; Xu, C.; Xie, X.-M.; Qiu, H.-Q.; Xu, X.; Liu, Y.; Song, S.-J.; Zhou, W.; et al. Anisotropic transport and de Haas--van Alphen oscillations in quasi-one-dimensional TaPtTe5. Phys. Rev. B 2021, 103, 125150. [Google Scholar] [CrossRef]
- Xu, C.; Liu, Y.; Cai, P.; Li, B.; Jiao, W.; Li, Y.; Zhang, J.; Zhou, W.; Qian, B.; Jiang, X.; et al. Anisotropic Transport and Quantum Oscillations in the Quasi-One-Dimensional TaNiTe5: Evidence for the Nontrivial Band Topology. J. Phys. Chem. Lett. 2020, 11, 7782–7789. [Google Scholar] [CrossRef]
- Liimatta, E.W.; Ibers, J.A. Synthesis, structures, and conductivities of the new layered compounds Ta3Pd3Te14 and TaNiTe5. J. Solid State Chem. 1989, 78, 7–16. [Google Scholar] [CrossRef]
- Chen, Z.; Wu, M.; Zhang, Y.; Zhang, J.; Nie, Y.; Qin, Y.; Han, Y.; Xi, C.; Ma, S.; Kan, X.; et al. Three-dimensional topological semimetal phase in layered TaNiTe5 probed by quantum oscillations. Phys. Rev. B 2021, 103, 035105. [Google Scholar] [CrossRef]
- Ma, N.; Wang, D.-Y.; Huang, B.-R.; Li, K.-Y.; Song, J.-P.; Liu, J.-Z.; Mei, H.-P.; Ye, M.; Li, A. Quasi-one-dimensional characters in topological semimetal TaNiTe5. Chin. Phys. B 2023, 32, 056801. [Google Scholar] [CrossRef]
- Ye, R.; Gao, T.; Li, H.; Liang, X.; Cao, G. Anisotropic giant magnetoresistanceand de Hass–van Alphen oscillations in layered topological semimetal crystals. AIP Adv. 2022, 12, 045104. [Google Scholar] [CrossRef]
- Hao, Z.; Chen, W.; Wang, Y.; Li, J.; Ma, X.-M.; Hao, Y.-J.; Lu, R.; Shen, Z.; Jiang, Z.; Liu, W.; et al. Multiple Dirac nodal lines in an in-plane anisotropic semimetal TaNiTe5. Phys. Rev. B 2021, 104, 115158. [Google Scholar] [CrossRef]
- Li, Y.; Ran, Z.; Huang, C.; Wang, G.; Shen, P.; Huang, H.; Xu, C.; Liu, Y.; Jiao, W.; Jiang, W.; et al. Coexistence of Ferroelectriclike Polarization and Dirac-like Surface State in TaNiTe5. Phys. Rev. Lett. 2022, 128, 106802. [Google Scholar] [CrossRef]
- Ren, Z.; Taskin, A.A.; Sasaki, S.; Segawa, K.; Ando, Y. Large bulk resistivity and surface quantum oscillations in the topological insulator Bi2Te2Se. Phys. Rev. B 2010, 82, 241306. [Google Scholar] [CrossRef]
- Kim, D.J.; Xia, J.; Fisk, Z. Topological surface state in the Kondo insulator samarium hexaboride. Nat. Mater. 2014, 13, 466–470. [Google Scholar] [CrossRef] [PubMed]
- Tafti, F.F.; Gibson, Q.D.; Kushwaha, S.K.; Haldolaarachchige, N.; Cava, R.J. Resistivity plateau and extreme magnetoresistance in LaSb. Nat. Phys. 2016, 12, 272–277. [Google Scholar] [CrossRef]
- Wolgast, S.; Kurdak, Ç.; Sun, K.; Allen, J.W.; Kim, D.-J.; Fisk, Z. Low-temperature surface conduction in the Kondo insulator SmB6. Phys. Rev. B 2013, 88, 180405. [Google Scholar] [CrossRef]
- Kim, D.J.; Thomas, S.; Grant, T.; Botimer, J.; Fisk, Z.; Xia, J. Surface Hall Effect and Nonlocal Transport in SmB6: Evidence for Surface Conduction. Sci. Rep. 2013, 3, 3150. [Google Scholar] [CrossRef] [PubMed]
- Li, Y.; Li, L.; Wang, J.; Wang, T.; Xu, X.; Xi, C.; Cao, C.; Dai, J. Resistivity plateau and negative magnetoresistance in the topological semimetal TaSb2. Phys. Rev. B 2016, 94, 121115. [Google Scholar] [CrossRef]
- Saleheen, A.I.U.; Chapai, R.; Xing, L.; Nepal, R.; Gong, D.; Gui, X.; Xie, W.; Young, D.P.; Plummer, E.W.; Jin, R. Evidence for topological semimetallicity in a chain-compound TaSe3. npj Quantum Mater. 2020, 5, 53. [Google Scholar] [CrossRef]
- Pavlosiuk, O.; Swatek, P.; Wiśniewski, P. Giant magnetoresistance, three-dimensional Fermi surface and origin of resistivity plateau in YSb semimetal. Sci. Rep. 2016, 6, 38691. [Google Scholar] [CrossRef]
- An, L.; Zhu, X.; Gao, W.; Wu, M.; Ning, W.; Tian, M. Chiral anomaly and nontrivial Berry phase in the topological nodal-line semimetal SrAs3. Phys. Rev. B 2019, 99, 045143. [Google Scholar] [CrossRef]
- Laha, A.; Mardanya, S.; Singh, B.; Lin, H.; Bansil, A.; Agarwal, A.; Hossain, Z. Magnetotransport properties of the topological nodal-line semimetal CaCdSn. Phys. Rev. B 2020, 102, 035164. [Google Scholar] [CrossRef]
- Wang, Y.L.; Thoutam, L.R.; Xiao, Z.L.; Hu, J.; Das, S.; Mao, Z.Q.; Wei, J.; Divan, R.; Luican-Mayer, A.; Crabtree, G.W.; et al. Origin of the turn-on temperature behavior in WTe2. Phys. Rev. B 2015, 92, 180402. [Google Scholar] [CrossRef]
- Wang, Y.-Y.; Yu, Q.-H.; Guo, P.-J.; Liu, K.; Xia, T.-L. Resistivity plateau and extremely large magnetoresistance in NbAs2 and TaAs2. Phys. Rev. B 2016, 94, 041103. [Google Scholar] [CrossRef]
- Xing, L.; Chapai, R.; Nepal, R.; Jin, R. Topological behavior and Zeeman splitting in trigonal PtBi2-x single crystals. npj Quantum Mater. 2020, 5, 10. [Google Scholar] [CrossRef]
- Singha, R.; Pariari, A.K.; Satpati, B.; Mandal, P. Large nonsaturating magnetoresistance and signature of nondegenerate Dirac nodes in ZrSiS. Proc. Natl. Acad. Sci. USA 2017, 114, 2468–2473. [Google Scholar] [CrossRef] [PubMed]
- Kumar, P.; Patnaik, S. Origin of exceptional magneto-resistance in Weyl semimetal TaSb2. J. Phys. Commun. 2019, 3, 115007. [Google Scholar] [CrossRef]
- Ali, M.N.; Schoop, L.; Xiong, J.; Flynn, S.; Gibson, Q.; Hirschberger, M.; Ong, N.P.; Cava, R.J. Correlation of crystal quality and extreme magnetoresistance of WTe2. Europhys. Lett. 2015, 110, 67002. [Google Scholar] [CrossRef]
- Zhu, Z.; Lin, X.; Liu, J.; Fauqué, B.; Tao, Q.; Yang, C.; Shi, Y.; Behnia, K. Quantum Oscillations, Thermoelectric Coefficients, and the Fermi Surface of Semimetallic WTe2. Phys. Rev. Lett. 2015, 114, 176601. [Google Scholar] [CrossRef]
- Ali, M.N.; Xiong, J.; Flynn, S.; Tao, J.; Gibson, Q.D.; Schoop, L.M.; Liang, T.; Haldolaarachchige, N.; Hirschberger, M.; Ong, N.P.; et al. Large, non-saturating magnetoresistance in WTe2. Nature 2014, 514, 205–208. [Google Scholar] [CrossRef]
- Kopelevich, Y.; Pantoja, J.C.M.; da Silva, R.R.; Moehlecke, S. Universal magnetic-field-driven metal-insulator-metal transformations in graphite and bismuth. Phys. Rev. B 2006, 73, 165128. [Google Scholar] [CrossRef]
- Khveshchenko, D.V. Magnetic-Field-Induced Insulating Behavior in Highly Oriented Pyrolitic Graphite. Phys. Rev. Lett. 2001, 87, 206401. [Google Scholar] [CrossRef]
- Thoutam, L.R.; Wang, Y.L.; Xiao, Z.L.; Das, S.; Luican-Mayer, A.; Divan, R.; Crabtree, G.W.; Kwok, W.K. Temperature-Dependent Three-Dimensional Anisotropy of the Magnetoresistance in WTe2. Phys. Rev. Lett. 2015, 115, 046602. [Google Scholar] [CrossRef]
- Narayanan, A.; Watson, M.D.; Blake, S.F.; Bruyant, N.; Drigo, L.; Chen, Y.L.; Prabhakaran, D.; Yan, B.; Felser, C.; Kong, T.; et al. Linear Magnetoresistance Caused by Mobility Fluctuations in n-Doped Cd3As2. Phys. Rev. Lett. 2015, 114, 117201. [Google Scholar] [CrossRef] [PubMed]
- Pippard, A.B. Magnetoresistance in Metals; Cambridge University Press: Cambridge, UK, 1989; Volume 2. [Google Scholar]
- Feng, D.; Jin, G. Introduction To Condensed Matter Physics; World Scientific Publishing Company: London, UK, 2005; Volume 1. [Google Scholar]
- Fallah Tafti, F.; Gibson, Q.; Kushwaha, S.; Krizan, J.W.; Haldolaarachchige, N.; Cava, R.J. Temperature-field phase diagram of extreme magnetoresistance. Proc. Natl. Acad. Sci. USA 2016, 113, E3475–E3481. [Google Scholar] [CrossRef] [PubMed]
- Han, F.; Xu, J.; Botana, A.S.; Xiao, Z.L.; Wang, Y.L.; Yang, W.G.; Chung, D.Y.; Kanatzidis, M.G.; Norman, M.R.; Crabtree, G.W.; et al. Separation of electron and hole dynamics in the semimetal LaSb. Phys. Rev. B 2017, 96, 125112. [Google Scholar] [CrossRef]
- Pavlosiuk, O.; Swatek, P.; Kaczorowski, D.; Wiśniewski, P. Magnetoresistance in LuBi and YBi semimetals due to nearly perfect carrier compensation. Phys. Rev. B 2018, 97, 235132. [Google Scholar] [CrossRef]





Disclaimer/Publisher’s Note: The statements, opinions and data contained in all publications are solely those of the individual author(s) and contributor(s) and not of MDPI and/or the editor(s). MDPI and/or the editor(s) disclaim responsibility for any injury to people or property resulting from any ideas, methods, instructions or products referred to in the content. |
© 2023 by the authors. Licensee MDPI, Basel, Switzerland. This article is an open access article distributed under the terms and conditions of the Creative Commons Attribution (CC BY) license (https://creativecommons.org/licenses/by/4.0/).
Share and Cite
Huang, Y.; Ye, R.; Shen, W.; Yao, X.; Cao, G. Magnetic Field-Induced Resistivity Upturn and Non-Topological Origin in the Quasi-One-Dimensional Semimetals. Symmetry 2023, 15, 1882. https://doi.org/10.3390/sym15101882
Huang Y, Ye R, Shen W, Yao X, Cao G. Magnetic Field-Induced Resistivity Upturn and Non-Topological Origin in the Quasi-One-Dimensional Semimetals. Symmetry. 2023; 15(10):1882. https://doi.org/10.3390/sym15101882
Chicago/Turabian StyleHuang, Yalei, Rongli Ye, Weihao Shen, Xinyu Yao, and Guixin Cao. 2023. "Magnetic Field-Induced Resistivity Upturn and Non-Topological Origin in the Quasi-One-Dimensional Semimetals" Symmetry 15, no. 10: 1882. https://doi.org/10.3390/sym15101882
APA StyleHuang, Y., Ye, R., Shen, W., Yao, X., & Cao, G. (2023). Magnetic Field-Induced Resistivity Upturn and Non-Topological Origin in the Quasi-One-Dimensional Semimetals. Symmetry, 15(10), 1882. https://doi.org/10.3390/sym15101882

