Simulation Studies on the Dissipative Modified Kawahara Solitons in a Complex Plasma
Abstract
1. Introduction
2. The Anstaz Method for Analyzing the Damped mKE
- We assume the solution of the damped mKE (6) is in the formHere, , , and are, respectively, time-dependent functions related to the temporal amplitude, inverted width, and wave velocity of the damped structures. Remember that for and , the planar undamped case is recovered. Further, the function indicates the exact solution to the mKE (5).
- Substituting the values of and into the damped mKE (6) and reorganizing all terms, the following residual equation is obtained:withwhere
- Now, for , we get the following system of differential equations:
- Solving Equation (12) by using the initial condition (IC) , the following value of is obtained:
- It is clear from Equations (14) and (15) that there are two independent ODEs in in addition to Equation (13) which means that there are two values for that should be determined. By solving Equations (13) and (14) together, we get the first values for Further, by solving Equations (13) and (15) together, we get the second values for . Inserting the value of given in Equation (16), into Equation (13), yields
- For the first values of : inserting Equation (14) into (17) yieldsand by solving Equation (18), we get
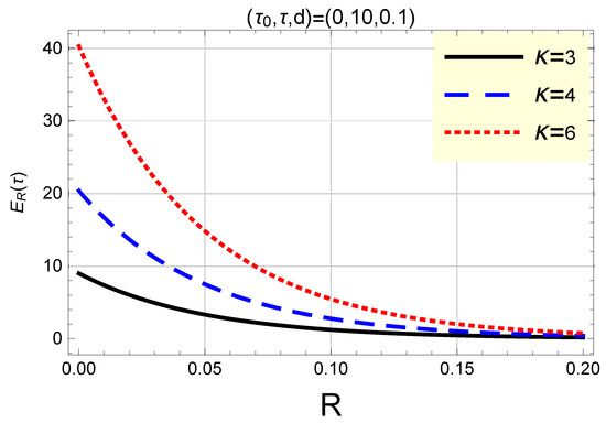
3. Dissipative Modified Kawahara Solitons and Their Energy
4. Dissipative Modified Kawahara Solitons in a Dusty Plasma
5. Conclusions
Author Contributions
Funding
Institutional Review Board Statement
Informed Consent Statement
Data Availability Statement
Acknowledgments
Conflicts of Interest
References
- Ray, S.S. Nonlinear Differential Equations in Physics; Springer: Singapore, 2020. [Google Scholar] [CrossRef]
- Muravnik, A.B. Nonlocal problems and functional-differential equations: Theoretical aspects and applications to mathematical modelling. Math. Model. Nat. Phenom. 2019, 14, 601. [Google Scholar] [CrossRef]
- Islam, S.M.R.; Kumar, D.; Fendzi-Donfack, E.; Inc, M. Impacts of nonlinearity and wave dispersion parameters on the soliton pulses of the (2+1)-dimensional Kundu–Mukherjee–Naskar equation. Rev. Mex. Fís. 2022, 68, 061301. [Google Scholar] [CrossRef]
- Islam, S.M.R.; Khan, S.; Arafat, M.S.Y.; Akbar, M.A. Diverse analytical wave solutions of plasma physics and water wave equations. Results Phys. 2022, 40, 105834. [Google Scholar] [CrossRef]
- Arafat, S.M.Y.; Khan, K.; Islam, S.M.R.; Rahman, M.M. Parametric effects on paraxial nonlinear Schrödinger equation in Kerr media. Chin. J. Phys. 2022. [Google Scholar] [CrossRef]
- Fatema, K.; Islam, M.E.; Arafat, S.M.Y.; Akbar, M.A. Solitons’ behavior of waves by the effect of linearity and velocity of the results of a model in magnetized plasma field. J. Ocean. Eng. Sci. 2022. [Google Scholar] [CrossRef]
- Iniewski, K. Circuits at the Nanoscale: Communications, Imaging, and Sensing, 1st ed.; CRC Press: Boca Raton, FL, USA, 2016. [Google Scholar]
- Crighton, D.G. Applications of KdV. Acta Appl. Math. 1995, 39, 39. [Google Scholar] [CrossRef]
- Wazwaz, A.-M. A Fifth-Order Korteweg–de Vries Equation for Shallow Water with Surface Tension: Multiple Soliton Solutions. Acta Phys. Pol. A 2016, 130, 679. [Google Scholar] [CrossRef]
- Aljahdaly, N.H.; El-Tantawy, S.A. Novel anlytical solution to the damped Kawahara equation and its application for modeling the dissipative nonlinear structures in a fluid medium. J. Ocean Eng. Sci. 2022, 7, 492. [Google Scholar] [CrossRef]
- Alharthi, M.R.; Alharbey, R.A.; El-Tantawy, S.A. Novel analytical approximations to the nonplanar Kawahara equation and its plasma applications. Eur. Phys. J. Plus. 2022, 137, 1172. [Google Scholar] [CrossRef]
- El-Tantawy, S.A.; El-Sherif, L.S.; Bakry, A.M.; Alhejaili, W.; Wazwaz, A.-M. On the analytical approximations to the nonplanar damped Kawahara equation: Cnoidal and solitary waves and their energy. Phys. Fluids 2022, 34, 113103. [Google Scholar] [CrossRef]
- El-Tantawy, S.A.; Salas, A.H.; Alharthi, M.R. Novel analytical cnoidal and solitary wave solutions of the Extended Kawahara equation. Chaos Solitons Fractals 2021, 147, 110965. [Google Scholar] [CrossRef]
- El-Shewy, E.K.; Zahran, M.A.; Schoepf, K.; Elwakil, S.A. Contribution of higher order dispersion to nonlinear dust-acoustic solitary waves in dusty plasma with different sized dust grains and nonthermal ions. Phys. Scr. 2008, 78, 025501. [Google Scholar] [CrossRef]
- Elwakil, S.A.; El-Shewy, E.K.; Zahran, M.A. Higher-order solution of an electron acoustic solitary waves via vortex electron distribution. Chaos Solitons Fractals 2004, 22, 13. [Google Scholar] [CrossRef]
- Alyousef, H.A.; Salas, A.H.; Alharthi, M.R.; El-tantawy, S.A. New Periodic and Localized Traveling Wave Solutions to a Kawahara-Type Equation: Applications to Plasma Physics. Complexity 2022, 2022, 9942267. [Google Scholar] [CrossRef]
- Berloff, N.G.; Howard, L.N. Solitary and periodic solutions to nonlinear nonintegrable equations. Stud. Appl. Math. 1997, 99, 1–24. [Google Scholar] [CrossRef]
- Bridges, T.; Derks, G. Linear instability of solitary wave solutions of the Kawahara equation and its generalizations. SIAM. J. Math. Anal. 2002, 33, 1356–1378. [Google Scholar] [CrossRef]
- Hunter, J.K.; Scheurle, J. Existence of perturbed solitary wave solutions to a model equation for water waves. Phys. D 1998, 32, 253–268. [Google Scholar] [CrossRef]
- Kakutani, T.; Ono, H. Weak non-linear hydromagnetic waves in a cold collision-free plasma. J. Phys. Soc. Jpn. 1969, 26, 1305. [Google Scholar] [CrossRef]
- Kawahara, T. Oscillatory solitary waves in dispersive media. J. Phys. Soc. Japan 1972, 33, 260–264. [Google Scholar] [CrossRef]
- Wazwaz, A.-M. Partial Differential Equations and Solitary Waves Theory; Higher Education Press: Beijing, China, 2009. [Google Scholar]
- Wazwaz, A.-M. New solitary wave solutions to the Kuramoto-Sivashinsky and the Kawahara equations. Appl. Math. Comput. 2006, 182, 1642. [Google Scholar] [CrossRef]
- Mohamad-Jawad, A.; Slibi, T. Traveling Wave Solutions using Tanh Method for solving Kawahara and Modified Kawahara Equations. J. -Rafidain Univ. Coll. Sci. 2012, 2012, 21–34. [Google Scholar] [CrossRef]
- Sirendaoreji. New exact travelling wave solutions for the Kawahara and modified Kawahara equations. Chaos Solitons Fractals 2004, 19, 147. [Google Scholar] [CrossRef]
- Kurulay, M. Approximate analytic solutions of the modified Kawahara equation with homotopy analysis method. Adv. Differ. Equ. 2012, 2012, 178. [Google Scholar] [CrossRef]
- Yusufoğlu, E.; Bekir, A.; Alp, M. Periodic and solitary wave solutions of Kawahara and modified Kawahara equations by using Sine–Cosine method. Chaos Solitons Fractals 2008, 37, 1193. [Google Scholar] [CrossRef]
- Zarebnia, M.; Aghili, M. A new approach for numerical solution of the modified Kawahara equation. J. Nonlinear Anal. Appl. 2016, 2016, 48. [Google Scholar] [CrossRef]
- Ak, T.; Karakoc, S.B.G. A numerical technique based on collocation method for solving modified Kawahara equation. J. Ocean Eng. Sci. 2018, 3, 67. [Google Scholar] [CrossRef]
- Mancas, C. Traveling wave solutions to Kawahara and related equations. Differ. Equations Dyn. Syst. 2019, 27, 19–37. [Google Scholar] [CrossRef]
- Wazwaz, A.-M. New solitary wave solutions to the modified Kawahara equation. Phys. Lett. A 2007, 360, 588. [Google Scholar] [CrossRef]
- Taha, W.M.; Ibrahim, I.A.; Noorani, M.S.M. New Application for Generalized Regularized Long Wave (GRLW) Equation, Modified Dispersive Water Wave (MDWW) Equation and Kawahara Equation by Homogeneous Balance Method. J. Eng. Appl. Sci. 2019, 14, 4010. [Google Scholar] [CrossRef][Green Version]
- Gepreel, K.A.; Nofal, T.A. Exact Solutions for Nonlinear Partial Differential Equations and Its Applications. Int. J. Pure Appl. Math. 2013, 86, 241. [Google Scholar] [CrossRef]
- Jin, L. Application of variational iteration method and homotopy perturbation method to the modified Kawahara equation. Math. Comput. Model. 2009, 49, 573. [Google Scholar] [CrossRef]
- Biazar, J.; Gholamin, P.; Hosseini, K. Variational Iteration and Adomian Decomposition Methods for Solving Kawahara and Modified Kawahara Equations. Appl. Math. Sci. 2008, 2, 2705. [Google Scholar]
- Kashkari, B.S. Application of Optimal Homotopy Asymptotic Method for the Approximate Solution of Kawahara Equation. Appl. Math. Sci. 2014, 8, 875. [Google Scholar] [CrossRef]
- Ullah, H.; Nawaz, R.; Islam, S.; Idrees, M.; Fiza, M. The optimal homotopy asymptotic method with application to modified Kawahara equation. J. Assoc. Arab. Univ. Basic Appl. Sci. 2015, 18, 82. [Google Scholar] [CrossRef]
- Alyousef, H.A.; Salas, A.H.; Matoog, R.T.; El-Tantawy, S.A. On the analytical and numerical approximations to the forced damped Gardner Kawahara equation and modeling the nonlinear structures in a collisional plasma. Phys. Fluids 2022, 34, 103105. [Google Scholar] [CrossRef]
- El-Tantawy, S.A.; Salas, A.H.; Alyousef, H.A.; Alharthi, M.R. Novel exact and approximate solutions to the family of the forced damped Kawahara equation and modeling strong nonlinear waves in a plasma. Chin. J. Phys. 2022, 77, 2454. [Google Scholar] [CrossRef]
- Aljahdaly, N.H.; Ashi, H.A.; Wazwaz, A.-M.; El-Tantawy, S.A. Exponential time differencing scheme for Modeling the dissipative Kawahara solitons in a two-electrons collisional plasma. Rom. Rep. Phys. 2022, 74, 109. [Google Scholar]
- Kashkari, B.S.; El-Tantawy, S.A. Homotopy perturbation method for modeling electrostatic structures in collisional plasmas. Eur. Phys. J. Plus. 2021, 136, 121. [Google Scholar] [CrossRef]
- Masood, W.; Rizvi, H.; Hasnain, H.; Batool, N. Dust drift shock waves with non-Maxwellian ion population in nonuniform collisional dusty plasmas in planetary environments. Astrophys Space Sci. 2013, 345, 49. [Google Scholar] [CrossRef]
- Shan, S.A. Dissipative electron-acoustic solitons in a cold electron beam plasma with superthermal trapped electrons. Astrophys Space Sci. 2019, 364, 36. [Google Scholar] [CrossRef]
- Khan, S.; Rahman, A.U.; Hadi, F.; Zeb, A.; Khan, M.Z. Weakly dissipative dust acoustic solitons in the presence of superthermal particles. Contrib. Plasma Phys. 2017, 57, 223. [Google Scholar] [CrossRef]
- Masood, W.; Karim, S.; Shah, H.A.; Siddiq, M. Coupled nonlinear drift and ion acoustic waves in dense dissipative electron-positron-ion magnetoplasmas. Phys. Plasmas 2009, 16, 112302. [Google Scholar] [CrossRef]
- Pakzad, H.R.; Nobahar, D. Dust-ion acoustic solitons in superthermal dusty plasmas. New Astron. 2022, 93, 101752. [Google Scholar] [CrossRef]
- Ünal, S.Ç.; Daşcıoğlu, A.; Bayram, D.V. New exact solutions of space and time fractional modified kawahara equation. Phys. A 2020, 551, 124550. [Google Scholar]




Disclaimer/Publisher’s Note: The statements, opinions and data contained in all publications are solely those of the individual author(s) and contributor(s) and not of MDPI and/or the editor(s). MDPI and/or the editor(s) disclaim responsibility for any injury to people or property resulting from any ideas, methods, instructions or products referred to in the content. |
© 2022 by the authors. Licensee MDPI, Basel, Switzerland. This article is an open access article distributed under the terms and conditions of the Creative Commons Attribution (CC BY) license (https://creativecommons.org/licenses/by/4.0/).
Share and Cite
Ismaeel, S.M.E.; Wazwaz, A.-M.; Tag-Eldin, E.; El-Tantawy, S.A. Simulation Studies on the Dissipative Modified Kawahara Solitons in a Complex Plasma. Symmetry 2023, 15, 57. https://doi.org/10.3390/sym15010057
Ismaeel SME, Wazwaz A-M, Tag-Eldin E, El-Tantawy SA. Simulation Studies on the Dissipative Modified Kawahara Solitons in a Complex Plasma. Symmetry. 2023; 15(1):57. https://doi.org/10.3390/sym15010057
Chicago/Turabian StyleIsmaeel, Sherif M. E., Abdul-Majid Wazwaz, Elsayed Tag-Eldin, and Samir A. El-Tantawy. 2023. "Simulation Studies on the Dissipative Modified Kawahara Solitons in a Complex Plasma" Symmetry 15, no. 1: 57. https://doi.org/10.3390/sym15010057
APA StyleIsmaeel, S. M. E., Wazwaz, A.-M., Tag-Eldin, E., & El-Tantawy, S. A. (2023). Simulation Studies on the Dissipative Modified Kawahara Solitons in a Complex Plasma. Symmetry, 15(1), 57. https://doi.org/10.3390/sym15010057

