Next Article in Journal
Event-Triggered Adaptive Neural Network Tracking Control with Dynamic Gain and Prespecified Tracking Accuracy for a Class of Pure-Feedback Systems
Next Article in Special Issue
A Symmetry Chaotic Model with Fractional Derivative Order via Two Different Methods
Previous Article in Journal
Modified Golden Jackal Optimization Assisted Adaptive Fuzzy PIDF Controller for Virtual Inertia Control of Micro Grid with Renewable Energy
Previous Article in Special Issue
Some Fuzzy Inequalities for Harmonically s-Convex Fuzzy Number Valued Functions in the Second Sense Integral
 
 
Font Type:
Arial Georgia Verdana
Font Size:
Aa Aa Aa
Line Spacing:
Column Width:
Background:
Article

Existence Results for Nonlinear Coupled Hilfer Fractional Differential Equations with Nonlocal Riemann–Liouville and Hadamard-Type Iterated Integral Boundary Conditions

1
Intelligent and Nonlinear Dynamic Innovations Research Center, Department of Mathematics, Faculty of Applied Science, King Mongkut’s University of Technology North Bangkok, Bangkok 10800, Thailand
2
Department of Mathematics, University of Ioannina, 451 10 Ioannina, Greece
3
Nonlinear Analysis and Applied Mathematics (NAAM)-Research Group, Department of Mathematics, Faculty of Science, King Abdulaziz University, P.O. Box 80203, Jeddah 21589, Saudi Arabia
*
Author to whom correspondence should be addressed.
Symmetry 2022, 14(9), 1948; https://doi.org/10.3390/sym14091948
Submission received: 9 August 2022 / Revised: 1 September 2022 / Accepted: 16 September 2022 / Published: 19 September 2022

Abstract

We introduce and study a new class of nonlinear coupled Hilfer differential equations with nonlocal boundary conditions involving Riemann–Liouville and Hadamard-type iterated fractional integral operators. By applying the Leray–Schauder alternative and Krasnosel’skiĭ’s fixed point theorem, two results presenting different criteria for the existence of solutions to the given problem are proven. The third result provides a sufficient criterion for the existence of a unique solution to the problem at hand. Numerical examples are constructed to demonstrate the application of the results obtained. Two graphs show asymmetric solutions when a Hilfer parameter is varied. The work presented in this paper is novel and significantly enriches the literature on the topic.

1. Introduction

The tools of fractional calculus are found to be of great utility in improving the mathematical modeling of many real-world processes and phenomena occurring in natural and social sciences. Examples include fractional calculus in financial economics [1], fractional dynamics [2], fractional viscoelastic fluid model [3], ecology [4], the fractional Cattaneo–Friedrich Maxwell model [5], bio-engineering [6], diffusion-thermo phenomena in a Darcy medium [7], COVID-19 infection and epithelial cells [8], fractional advection–reaction–diffusion equations with a Rabotnov fractional-exponential kernel [9], the fractional-order model of the Navier–Stokes equation [10], vaccination for COVID-19 with the fear factor [11], etc. For a theoretical background of the topic, for instance, see the monographs [12,13,14,15,16,17]. Unlike the classical derivative, there exist a variety of fractional derivatives due to Riemann–Liouville, Caputo, Hadamard, Hilfer, and derivative of a function with respect to another function, etc.; for details, see [12,15].
Fractional order boundary value problems (FBVPs) have been extensively investigated in the literature. One can find a detailed account of some recent works on FBVPs involving Caputo, Riemann–Liouville, Hadamard, Hadamard–Caputo, and generalized fractional derivative operators and different kinds of boundary conditions in [18,19,20,21,22,23,24,25,26,27] and the references cited therein.
In particular, the Hilfer fractional derivative operator [28] gained much interest as it includes both Riemann–Liouville as well as Caputo fractional derivative operators. The Hilfer-type fractional differential equations appear in the mathematical modeling of filtration processes [29,30], advection-diffusion phenomena [31], glass forming materials [32], etc. For more details on application of Hilfer fractional differential equations, for instance, see [33,34,35], while some recent theoretical results on Hilfer fractional neutral evolution equations and functional integro-differential equations can, respectively, be found in [36,37].
Let us now dwell on some recent works dealing with theoretical aspects of Hilfer-fractional differential equations. In [38], the authors discussed the existence of solutions for a Hilfer-fractional differential equation supplemented with nonlocal multi-point integral boundary conditions. Recently, in [39], a boundary value problem involving Riemann–Liouville and Hadamard–Caputo-type sequential fractional derivatives and iterated fractional integral boundary conditions was investigated. More recently, the authors studied a nonlinear Hilfer iterated-integro-differential equation combined with Riemann–Liouville and Hadamard-type iterated fractional integral boundary conditions in [40].
On the other hand, coupled systems of fractional differential equations are also of significant importance as they appear in the mathematical models of several natural phenomena such as chaos synchronization [41], anomalous diffusion [42], ecological effects [4], disease models [43], etc.
Motivated by the work established in [40], we enrich the literature on this class of problems by introducing a new class of coupled systems of nonlinear Hilfer iterated-integro-differential equations equipped with multi-point iterated Riemann–Liouville and Hadamard fractional integral boundary conditions. Precisely, we explore the criteria ensuring the existence and uniqueness of solutions for the following problem:
( H D α 1 , β 1 x ) ( t ) + λ 1 ( H D α 1 1 , β 1 x ) ( t ) = f t , x ( t ) , R ( δ q , , δ 1 ) x ( t ) , y ( t ) , t ( 0 , T ] ( H D α 2 , β 2 y ) ( t ) + λ 2 ( H D α 2 1 , β 2 y ) ( t ) = g t , x ( t ) , y ( t ) , R ( ζ p , , ζ 1 ) y ( t ) , t ( 0 , T ] x ( 0 ) = 0 , x ( T ) = i = 1 m ε i R ( μ ρ , , μ 1 ) y ( η i ) , η i ( 0 , T ) , y ( 0 ) = 0 , y ( T ) = j = 1 n θ j R ( ν ρ , , ν 1 ) x ( ξ j ) , ξ i ( 0 , T ) ,
where H D α l , β l is the Hilfer fractional derivative operator of order α l with parameters β l , l { 1 , 2 } , 1 < α l < 2 , 0 β l 1 , λ 1 , λ 2 , ε i , θ j R \ { 0 } , i = 1 , 2 , , m , j = 1 , 2 , , n , f , g : [ 0 , T ] × R × R × R R are nonlinear continuous functions, and R ( ϕ τ , , ϕ 1 ) , ϕ r { δ , ζ , μ , ν } , r { q , p , ρ | q , p , ρ N } , involves the iterated Riemann–Liouville and Hadamard fractional integral operators defined by
R ( ϕ r , , ϕ 1 ) x ( t ) = H I ϕ r I ϕ r 1 H I ϕ r 2 I ϕ r 3 H I ϕ 4 I ϕ 3 H I ϕ 2 I ϕ 1 x ( t ) ; r   is   even , I ϕ r H I ϕ r 1 I ϕ r 2 H I ϕ r 3 H I ϕ 4 I ϕ 3 H I ϕ 2 I ϕ 1 x ( t ) ; r   is   odd ,
I ϕ ( · ) and H I ϕ ( · ) , respectively, represent the Riemann–Liouville and Hadamard fractional integral operators of order ϕ ( · ) > 0 .
Here, we emphasize that the problem investigated in this paper is novel in the sense that it consists of coupled multi-term Hilfer fractional differential equations with nonlinearities and nonlocal boundary data depending upon the iterated Riemann–Liouville and Hadamard-type fractional integral operators. Two results (Theorems 3.1 and 3.2) containing different criteria for the existence of solutions for the given problem are presented. In the third result, we provide a sufficient criterion for the the unique solution of the problem at hand. We believe that the work accomplished in this paper is a useful contribution to the existing literature on Hilfer-type fractional boundary value problems in view of the fact that the Hilfer fractional derivative reduces to Riemann–Liouville and Caputo fractional derivatives for β = 0 and β = 1 , respectively.
The remaining part of this manuscript is outlined as follows. Section 2 is devoted to some basic concepts of fractional calculus. Section 3 contains the main results, which rely on the standard tools of the fixed point theory. In Section 4, we present examples illustrating the main results.

2. Preliminaries

This section is devoted to the basic concepts of fractional calculus related to our work.
Definition 1
([12]). The Riemann–Liouville and Hadamard fractional integrals of order α > 0 for an integrable function f : [ 0 , ) R are, respectively, defined as
( I α f ) ( t ) = 1 Γ ( α ) 0 t ( t s ) α 1 f ( s ) d s , 0 < t < ,
( H I α f ) ( t ) = 1 Γ ( α ) 0 t log t s α 1 f ( s ) d s s , 0 < t < ,
where Γ ( · ) is the Euler Gamma function.
Definition 2
([28]). For 0 n 1 < α < n ( n N ) and 0 β 1 , the Hilfer fractional derivative of order α with parameter β for a function f on [ 0 , ) is defined as
( H D α , β f ) ( t ) = I β ( n α ) d d t n I ( 1 β ) ( n α ) f ( t ) ,
where I ( . ) denotes the Riemann–Liouville fractional integral operator of order ( . ) .
We use the following known results in the sequel.
Lemma 1
([44]). Let f L 1 ( 0 , T ) and I ( n γ ) f C n ( [ 0 , T ] , R ) , α ( n 1 , n ] , n N , β [ 0 , 1 ] , γ = α + n β α β . Then,
( I α H D α , β f ) ( t ) = f ( t ) j = 0 n 1 t j ( n γ ) Γ ( j ( n γ ) + 1 ) lim t 0 + d k d t k I n γ f ( t ) , j = 0 , 1 , , n 1 .
Lemma 2
([12]). For positive real numbers α and m, H I α t m = m α t m .
Lemma 3
([39]). Foe m > 1 , μ i > 0 , i = 1 , 2 , , n , we have
R ( μ n , , μ 1 ) t m = Γ ( m + 1 ) i = 1 n 2 m + k = 1 i μ 2 k 1 μ 2 i Γ m + 1 + k = 1 n 2 μ 2 k 1 × t m + k = 1 n 2 μ 2 k 1 ,
where n , n , respectively, represent the ceiling and floor functions of n.
The following lemma, related to the linear variant of the system (1), is of fundamental importance to convert the problem (1) into a fixed point problem.
Lemma 4.
Let 1 < α 1 , α 2 < 2 , 0 β 1 , β 2 1 , γ i = α i + β i ( 2 α i ) , i = 1 , 2 , Δ 0 and h 1 , h 2 C ( [ 0 , T ] , R ) . Then, the pair ( x , y ) is a solution of the coupled system is
( H D α 1 , β 1 x ) ( t ) + λ 1 ( H D α 1 1 , β 1 x ) ( t ) = h 1 ( t ) , t [ 0 , T ] , ( H D α 2 , β 2 y ) ( t ) + λ 2 ( H D α 2 1 , β 2 y ) ( t ) = h 2 ( t ) , t [ 0 , T ] , x ( 0 ) = 0 , x ( T ) = i = 1 m ε i R ( μ ρ , , μ 1 ) y ( η i ) , η i ( 0 , T ) , y ( 0 ) = 0 , y ( T ) = j = 1 n θ j R ( ν ρ , , ν 1 ) x ( ξ j ) , ξ i ( 0 , T ) ,
if and only if
x ( t ) = t γ 1 1 Δ Γ ( γ 1 ) [ C ( λ 1 0 T x ( s ) d s 1 Γ ( α 1 ) 0 T ( T s ) α 1 1 h 1 ( s ) d s λ 2 i = 1 m ε i R ( μ ρ , , μ 1 + 1 ) y ( η i ) + i = 1 m ε i R ( μ ρ , , μ 1 + 1 ) h 2 ( η i ) ) + B ( λ 2 0 T y ( s ) d s 1 Γ ( α 2 ) 0 T ( T s ) α 2 1 h 2 ( s ) d s λ 1 j = 1 n θ j R ( ν ρ , , ν ρ + 1 ) x ( ξ j ) + j = 1 n θ j R ( ν ρ , , ν ρ + 1 ) h 1 ( ξ j ) ) ] λ 1 0 t x ( s ) d s + 1 Γ ( α 1 ) 0 t ( t s ) α 1 1 h 1 ( s ) d s ,
y ( t ) = t γ 2 1 Δ Γ ( γ 2 ) [ D ( λ 1 0 T x ( s ) d s 1 Γ ( α 1 ) 0 T ( T s ) α 1 1 h 1 ( s ) d s λ 2 i = 1 m ε i R ( μ ρ , , μ 1 + 1 ) y ( η i ) + i = 1 m ε i R ( μ ρ , , μ 1 + 1 ) h 2 ( η i ) ) + A ( λ 2 0 T y ( s ) d s 1 Γ ( α 2 ) 0 T ( T s ) α 2 1 h 2 ( s ) d s λ 1 j = 1 n θ j R ( ν ρ , , ν ρ + 1 ) x ( ξ j ) + j = 1 n θ j R ( ν ρ , , ν ρ + 1 ) h 1 ( ξ j ) ) ] λ 2 0 t y ( s ) d s + 1 Γ ( α 2 ) 0 t ( t s ) α 2 1 h 2 ( s ) d s ,
where
Λ 0 = Γ γ 2 + l = 1 ρ 2 μ 2 l 1 , Λ 1 = Γ γ 1 + l = 1 ρ 2 ν 2 l 1 , A = T γ 1 1 Γ ( γ 1 ) , B = 1 Λ 0 i = 1 m ε i k = 1 ρ 2 γ 2 1 + l = 1 k μ 2 l 1 μ 2 k × η i γ 2 1 + l = 1 ρ 2 μ 2 l 1 , C = T γ 2 1 Γ ( γ 2 ) , D = 1 Λ 1 j = 1 n θ j k = 1 ρ 2 γ 1 1 + l = 1 k ν 2 l 1 ν 2 k × ξ j γ 1 1 + l = 1 ρ 2 ν 2 l 1 ,
and
Δ = A C B D .
Proof. 
Let the pair ( x , y ) be a solution of the system (3). Operating the Riemann–Liouville fractional integral operators of orders α 1 and α 2 on both sides of the first and second equations of (3), respectively, we obtain
x ( t ) c 0 t γ 1 2 Γ ( γ 1 1 ) c 1 t γ 1 1 Γ ( γ 1 ) + λ 1 0 t x ( s ) d s = 1 Γ ( α 1 ) 0 t ( t s ) α 1 1 h 1 ( s ) d s ,
and
y ( t ) d 0 t γ 2 2 Γ ( γ 2 1 ) d 1 t γ 2 1 Γ ( γ 2 ) + λ 2 0 t y ( s ) d s = 1 Γ ( α 2 ) 0 t ( t s ) α 2 1 h 2 ( s ) d s ,
where c 0 = ( I 2 γ 1 x ) ( t ) | t = 0 , c 1 = ( I 1 γ 1 x ) ( t ) | t = 0 , d 0 = ( I 2 γ 2 y ) ( t ) | t = 0 and d 1 = ( I 1 γ 2 y ) ( t ) | t = 0 .
Using the conditions x ( 0 ) = 0 and y ( 0 ) = 0 , respectively, in (7) and (8), we have c 0 = 0 and d 0 = 0 . Consequently, (7) and (8) become
x ( t ) = c 1 t γ 1 1 Γ ( γ 1 ) λ 1 0 t x ( s ) d s + 1 Γ ( α 1 ) 0 t ( t s ) α 1 1 h 1 ( s ) d s ,
y ( t ) = d 1 t γ 2 1 Γ ( γ 2 ) λ 2 0 t y ( s ) d s + 1 Γ ( α 2 ) 0 t ( t s ) α 2 1 h 2 ( s ) d s ,
which, after insertion into x ( T ) = i = 1 m ε i R ( μ ρ , , μ 1 ) y ( η i ) and y ( T ) = j = 1 n θ j R ( ν ρ , , ν 1 ) x ( ξ i ) , yields
c 1 T γ 1 1 Γ ( γ 1 ) λ 1 0 T x ( s ) d s + 1 Γ ( α 1 ) 0 T ( T s ) α 1 1 h 1 ( s ) d s = d 1 Γ ( γ 2 ) i = 1 m ε i R ( μ ρ , , μ 1 ) η i γ 2 1 λ 2 i = 1 m ε i R ( μ ρ , , μ 1 + 1 ) y ( η i ) + i = 1 m ε i R ( μ ρ , , μ 1 + α 2 ) h 2 ( η i ) , = d 1 Λ 0 i = 1 m ε i k = 1 ρ 2 γ 2 1 + l = 1 k μ 2 l 1 μ 2 k × η i γ 2 1 + l = 1 ρ 2 μ 2 l 1 λ 2 i = 1 m ε i R ( μ ρ , , μ 1 + 1 ) y ( η i ) + i = 1 m ε i R ( μ ρ , , μ 1 + α 2 ) h 2 ( η i ) ,
and
d 1 T γ 2 1 Γ ( γ 2 ) λ 2 0 T y ( s ) d s + 1 Γ ( α 2 ) 0 T ( T s ) α 2 1 h 2 ( s ) d s = c 1 Λ 1 j = 1 n θ j k = 1 ρ 2 γ 1 1 + l = 1 k ν 2 l 1 ν 2 k × ξ j γ 1 1 + l = 1 ρ 2 ν 2 l 1 λ 1 j = 1 n θ j R ( ν ρ , , ν 1 + 1 ) x ( ξ j ) + j = 1 n θ j R ( ν ρ , , ν 1 + α 1 ) h 1 ( ξ j ) .
In view of the notation (6), the above system can be written as
c 1 A d 1 B = P , c 1 D + d 1 C = Q ,
where
P = λ 1 0 T x ( s ) d s 1 Γ ( α 1 ) 0 T ( T s ) α 1 1 h 1 ( s ) d s λ 2 i = 1 m ε i R ( μ ρ , , μ 1 + 1 ) y ( η i ) + i = 1 m ε i R ( μ ρ , , μ 1 + α 2 ) h 2 ( η i ) ,
and
Q = λ 2 0 T y ( s ) d s 1 Γ ( α 2 ) 0 T ( T s ) α 2 1 h 2 ( s ) d s λ 1 j = 1 n θ j R ( ν ρ , , ν 1 + 1 ) x ( ξ j ) + j = 1 n θ j R ( ν ρ , , ν 1 + α 1 ) h 1 ( ξ j ) .
Solving the system (11) for c 1 and d 1 , we have
c 1 = C P + B Q A C B D and d 1 = D P + A Q A C B D .
Substituting the values of c 1 and d 1 in (9) and (10), respectively, we obtain the solution (5) and (6). The converse of the lemma follows by direct computation. The proof is finished.  □

3. Existence and Uniqueness Results

Throughout the paper, we denote by J the Banach space of all functions x C ( [ 0 , T ] , R ) with the norm x = sup { | x ( t ) | : t [ 0 , T ] } . Obviously, the product space J × J is a Banach space endowed with the norm: ( x 1 , x 2 ) = x 1 + x 2 , ( x 1 , x 2 ) J × J .
In view of Lemma 4, we define an operator G : J × J J × J associated with the problem (1) as follows:
G ( x , y ) ( t ) = ( G 1 ( x , y ) ( t ) , G 2 ( x , y ) ( t ) ) ,
where
G 1 ( x , y ) ( t ) = t γ 1 1 Δ Γ ( γ 1 ) [ C ( λ 1 0 T x ( s ) d s 1 Γ ( α 1 ) 0 T ( T s ) α 1 1 f ^ ( x , y ) ( s ) d s λ 2 i = 1 m ε i R ( μ ρ , , μ 1 + 1 ) y ( η i ) + i = 1 m ε i R ( μ ρ , , μ 1 + 1 ) g ^ ( x , y ) ( η i ) ) + B ( λ 2 0 T y ( s ) d s 1 Γ ( α 2 ) 0 T ( T s ) α 2 1 g ^ ( x , y ) ( s ) d s λ 1 j = 1 n θ j R ( ν ρ , , ν ρ + 1 ) x ( ξ j ) + j = 1 n θ j R ( ν ρ , , ν ρ + 1 ) f ^ ( x , y ) ( ξ j ) ) ] λ 1 0 t x ( s ) d s + 1 Γ ( α 1 ) 0 t ( t s ) α 1 1 f ^ ( x , y ) ( s ) d s , t [ 0 , T ] ,
G 2 ( x , y ) ( t ) = t γ 2 1 Δ Γ ( γ 2 ) [ D ( λ 1 0 T x ( s ) d s 1 Γ ( α 1 ) 0 T ( T s ) α 1 1 f ^ ( x , y ) ( s ) d s λ 2 i = 1 m ε i R ( μ ρ , , μ 1 + 1 ) y ( η i ) + i = 1 m ε i R ( μ ρ , , μ 1 + 1 ) g ^ ( x , y ) ( η i ) ) + A ( λ 2 0 T y ( s ) d s 1 Γ ( α 2 ) 0 T ( T s ) α 2 1 g ^ ( x , y ) ( s ) d s λ 1 j = 1 n θ j R ( ν ρ , , ν ρ + 1 ) x ( ξ j ) + j = 1 n θ j R ( ν ρ , , ν ρ + 1 ) f ^ ( x , y ) ( ξ j ) ) ] λ 2 0 t y ( s ) d s + 1 Γ ( α 2 ) 0 t ( t s ) α 2 1 g ^ ( x , y ) ( s ) d s , t [ 0 , T ] ,
with
f ^ ( x , y ) ( t ) = f t , x ( t ) , R ( δ q , , δ 1 ) x ( t ) , y ( t ) , g ^ ( x , y ) ( t ) = g t , x ( t ) , y ( t ) , R ( ζ p , , ζ 1 ) y ( t ) .
In the sequel, we use the following notations:
Λ 2 : = Γ 2 + l = 1 ρ 2 μ 2 l 1 , Λ 3 : = Γ 2 + l = 1 ρ 2 ν 2 l 1 , Λ 4 : = Γ 1 + l = 1 q 2 δ 2 l 1 , Λ 5 : = Γ 1 + l = 1 p 2 ζ 2 l 1 , ϕ 1 : = | B | | λ 1 | T γ 1 1 | Δ | Γ ( γ 1 ) Λ 3 j = 1 n | θ j | k = 1 ρ 2 1 + l = 1 k ν 2 l 1 ν 2 k × ξ j 1 + l = 1 ρ 2 ν 2 l 1 + | C | | λ 1 | T γ 1 | Δ | Γ ( γ 1 ) + | λ 1 | T , ϕ 2 : = | C | | λ 2 | T γ 1 1 | Δ | Γ ( γ 1 ) Λ 2 i = 1 m | ε i | k = 1 ρ 2 1 + l = 1 k μ 2 l 1 μ 2 k × η i 1 + l = 1 ρ 2 μ 2 l 1 + | B | | λ 2 | T γ 1 | Δ | Γ ( γ 1 ) , ϕ 3 : = | B | T γ 1 1 | Δ | Γ ( γ 1 ) Λ 3 j = 1 n | θ j | k = 1 ρ 2 1 + l = 1 k ν 2 l 1 ν 2 k × ξ j 1 + l = 1 ρ 2 ν 2 l 1 + | C | T α 1 + γ 1 1 | Δ | Γ ( γ 1 ) Γ ( α 1 + 1 ) + T α 1 Γ ( α 1 + 1 ) , ϕ 4 : = | C | T γ 1 1 | Δ | Γ ( γ 1 ) Λ 2 i = 1 m | ε i | k = 1 ρ 2 1 + l = 1 k μ 2 l 1 μ 2 k × η i 1 + l = 1 ρ 2 μ 2 l 1 + | B | T α 2 + γ 1 1 | Δ | Γ ( γ 1 ) Γ ( α 2 + 1 ) , ω 1 : = | A | | λ 1 | T γ 2 1 | Δ | Γ ( γ 2 ) Λ 3 j = 1 n | θ j | k = 1 ρ 2 1 + l = 1 k ν 2 l 1 ν 2 k × ξ j 1 + l = 1 ρ 2 ν 2 l 1 + | D | | λ 1 | T γ 2 | Δ | Γ ( γ 2 ) , ω 2 : = | D | λ 2 | T γ 2 1 | Δ | Γ ( γ 2 ) Λ 2 i = 1 m | ε i | k = 1 ρ 2 1 + l = 1 k μ 2 l 1 μ 2 k × η i 1 + l = 1 ρ 2 μ 2 l 1 + | A | λ 2 | T γ 2 | Δ | Γ ( γ 2 ) + | λ 2 | T , ω 3 : = | A | T γ 2 1 | Δ | Γ ( γ 2 ) Λ 3 j = 1 n | θ j | k = 1 ρ 2 1 + l = 1 k ν 2 l 1 ν 2 k × ξ j 1 + l = 1 ρ 2 ν 2 l 1 + | D | T α 1 + γ 2 1 | Δ | Γ ( γ 2 ) Γ ( α 1 + 1 ) , ω 4 : = | D | T γ 2 1 | Δ | Γ ( γ 2 ) Λ 2 i = 1 m | ε i | k = 1 ρ 2 1 + l = 1 k μ 2 l 1 μ 2 k × η i 1 + l = 1 ρ 2 μ 2 l 1 + | A | T α 2 + γ 2 1 | Δ | Γ ( γ 2 ) Γ ( α 2 + 1 ) + T α 2 Γ ( α 2 + 1 ) , Θ 1 : = 1 Λ 4 k = 1 q 2 l = 1 k δ 2 l 1 δ 2 k × T l = 1 q 2 δ 2 l 1 , Θ 2 : = 1 Λ 5 k = 1 p 2 l = 1 k ζ 2 l 1 ζ 2 k × T l = 1 p 2 ζ 2 l 1 .
Now we prove our first existence result for the system (1) with the aid of the Laray–Schauder alternative [45].
Theorem 1.
Assume that f , g C ( [ 0 , T ] × R 3 , R ) and satisfy the following condition:
(H1)
constants x i , y i 0 , i = 1 , 2 , 3 and x 0 , y 0 > 0 for all u , v , w R , such that
| f ( t , u , v , w ) | x 0 + x 1 | u | + x 2 | v | + x 3 | w | , | g ( t , u , v , w ) | y 0 + y 1 | u | + y 2 | v | + y 3 | w | .
Then, the system (1) admits at least one solution on [ 0 , T ] , provided that
( ϕ 3 + ω 3 ) x 1 + ( ϕ 3 + ω 3 ) Θ 1 x 2 + ( ϕ 4 + ω 4 ) y 1 + ϕ 1 + ω 1 < 1 ,
and
( ϕ 3 + ω 3 ) x 3 + ( ϕ 4 + ω 4 ) y 2 + ( ϕ 4 + ω 4 ) Θ 2 y 3 + ϕ 2 + ω 2 < 1 ,
where ϕ i , ω i ( i = 1 , 2 , 3 , 4 ) and Θ 1 , Θ 2 are given in (15).
Proof. 
Observe that continuity of the operator G follows from that of f and g. Now, let us verify the hypotheses of the Laray–Schauder alternative [45]. Firstly, it will be established that G maps bounded sets into bounded sets in J × J . Let us consider a bounded set B r : = { ( x , y ) J × J : ( x , y ) r } . Then, for any ( x , y ) B r , M 1 , M 2 > 0 such that | f ^ ( x , y ) ( t ) | < M 1 and | g ^ ( x , y ) ( t ) | < M 2 . In consequence, we have
| G 1 ( x , y ) ( t ) | t γ 1 1 | Δ | Γ ( γ 1 ) [ | C | ( | λ 1 | 0 T | x ( s ) | d s + 1 Γ ( α 1 ) 0 T ( T s ) α 1 1 | f ^ ( x , y ) ( s ) | d s + | λ 2 | i = 1 m | ε i | R ( μ ρ , , μ 1 + 1 ) | y ( η i ) | + i = 1 m | ε i | R ( μ ρ , , μ 1 + 1 ) | g ^ ( x , y ) ( η i ) | ) + | B | ( | λ 2 | 0 T | y ( s ) | d s + 1 Γ ( α 2 ) 0 T ( T s ) α 2 1 | g ^ ( x , y ) ( s ) | d s + | λ 1 | j = 1 n | θ j | R ( ν ρ , , ν ρ + 1 ) | x ( ξ j ) | + j = 1 n | θ j | R ( ν ρ , , ν ρ + 1 ) | f ^ ( x , y ) ( ξ j ) | ) ] + | λ 1 | 0 t | x ( s ) | d s + 1 Γ ( α 1 ) 0 t ( t s ) α 1 1 | f ^ ( x , y ) ( s ) | d s | C | | λ 1 | x T γ 1 | Δ | Γ ( γ 1 ) + | C | M 1 T α 1 + γ 1 1 | Δ | Γ ( γ 1 ) Γ ( α 1 + 1 ) + | C | | λ 2 | y T γ 1 1 | Δ | Γ ( γ 1 ) Λ 2 i = 1 m | ε i | k = 1 ρ 2 1 + l = 1 k μ 2 l 1 μ 2 k × η i 1 + l = 1 ρ 2 μ 2 l 1 + | C | M 2 T γ 1 1 | Δ | Γ ( γ 1 ) Λ 2 i = 1 m | ε i | k = 1 ρ 2 1 + l = 1 k μ 2 l 1 μ 2 k × η i 1 + l = 1 ρ 2 μ 2 l 1 + | B | | λ 2 | y T γ 1 | Δ | Γ ( γ 1 ) + | B | M 2 T α 2 + γ 1 1 | Δ | Γ ( γ 1 ) Γ ( α 2 + 1 ) + | B | | λ 1 | x T γ 1 1 | Δ | Γ ( γ 1 ) Λ 3 j = 1 n | θ j | k = 1 ρ 2 1 + l = 1 k ν 2 l 1 ν 2 k × ξ j 1 + l = 1 ρ 2 ν 2 l 1 + | B | M 1 T γ 1 1 | Δ | Γ ( γ 1 ) Λ 3 j = 1 n | θ j | k = 1 ρ 2 1 + l = 1 k ν 2 l 1 ν 2 k × ξ j 1 + l = 1 ρ 2 ν 2 l 1 + | λ 1 | x T + M 1 T α 1 Γ ( α 1 + 1 ) r ( ϕ 1 + ϕ 2 ) + M 1 ϕ 3 + M 2 ϕ 4 ,
which leads to
G 1 ( x , y ) r ( ϕ 1 + ϕ 2 ) + M 1 ϕ 3 + M 2 ϕ 4 .
Likewise, we can obtain
| G 2 ( x , y ) ( t ) | | D | | λ 1 | x T γ 2 | Δ | Γ ( γ 2 ) + | D | M 1 T α 1 + γ 2 1 | Δ | Γ ( γ 2 ) Γ ( α 1 + 1 ) + | D | λ 2 | y T γ 2 1 | Δ | Γ ( γ 2 ) Λ 2 i = 1 m | ε i | k = 1 ρ 2 1 + l = 1 k μ 2 l 1 μ 2 k × η i 1 + l = 1 ρ 2 μ 2 l 1 + | D | M 2 T γ 2 1 | Δ | Γ ( γ 2 ) Λ 2 i = 1 m | ε i | k = 1 ρ 2 1 + l = 1 k μ 2 l 1 μ 2 k × η i 1 + l = 1 ρ 2 μ 2 l 1 + | A | λ 2 | y T γ 2 | Δ | Γ ( γ 2 ) + | A | M 2 T α 2 + γ 2 1 | Δ | Γ ( γ 2 ) Γ ( α 2 + 1 ) + | A | | λ 1 | x T γ 2 1 | Δ | Γ ( γ 2 ) Λ 3 j = 1 n | θ j | k = 1 ρ 2 1 + l = 1 k ν 2 l 1 ν 2 k × ξ j 1 + l = 1 ρ 2 ν 2 l 1 + | A | M 1 T γ 2 1 | Δ | Γ ( γ 2 ) Λ 3 j = 1 n | θ j | k = 1 ρ 2 1 + l = 1 k ν 2 l 1 ν 2 k × ξ j 1 + l = 1 ρ 2 ν 2 l 1 + | λ 2 | y T + M 2 T α 2 Γ ( α 2 + 1 ) r ( ω 1 + ω 2 ) + M 1 ω 3 + M 2 ω 4 ,
which implies that
G 2 ( x , y ) r ( ω 1 + ω 2 ) + M 1 ω 3 + M 2 ω 4 .
From (18) and (19), it follows that
G ( x , y ) r ( ϕ 1 + ϕ 2 + ω 1 + ω 2 ) + M 1 ( ϕ 3 + ω 3 ) + M 2 ( ϕ 4 + ω 4 ) ,
which shows that the operator G is uniformly bounded.
Next, it will be established that the operator G is equicontinuous. Let t 1 , t 2 [ 0 , T ] with t 1 < t 2 and x , y B r . Then,
| G 1 ( x , y ) ( t 2 ) G 1 ( x , y ) ( t 1 ) | ( t 2 γ 1 1 t 1 γ 1 1 ) | Δ | Γ ( γ 1 ) ( | C | | λ 1 | r T + | C | M 1 T α 1 Γ ( α 1 + 1 ) + | C | | λ 2 | r Λ 2 i = 1 m | ε i | k = 1 ρ 2 1 + l = 1 k μ 2 l 1 μ 2 l × η i 1 + l = 1 ρ 2 μ 2 l 1 + | C | M 2 Λ 2 i = 1 m | ε i | k = 1 ρ 2 1 + l = 1 k μ 2 l 1 μ 2 l × η i 1 + l = 1 ρ 2 μ 2 l 1 + | B | | λ 2 | r T + | B | M 2 T α 2 Γ ( α 2 + 1 ) + | B | | λ 1 r Λ 3 j = 1 n | θ j | k = 1 ρ 2 1 + l = 1 k ν 2 l 1 ν 2 k × ξ j 1 + l = 1 ρ 2 ν 2 l 1 + | B | M 1 Λ 3 j = 1 n | θ j | k = 1 ρ 2 1 + l = 1 k ν 2 l 1 ν 2 k × ξ j 1 + l = 1 ρ 2 ν 2 l 1 ) + | λ 1 | r ( t 2 t 1 ) + M 2 Γ ( α 1 + 1 ) 2 ( t 2 t 1 ) α 1 + t 2 α 1 t 1 α 1 0 ,
as t 2 t 1 independently of x and y . Analogously, we can obtain
| G 2 ( x , y ) ( t 2 ) G 2 ( x , y ) ( t 1 ) | 0 ,
as t 2 t 1 , independently of x and y . Hence, G B r is an equicontinuous set that implies that G B r is relatively compact, and therefore, G is completely continuous by the Arzelá–Ascoli theorem.
Finally, we verify that the set K : = { ( x , y ) J × J : ( x , y ) = θ G ( x , y ) , 0 θ 1 } is bounded. Let ( x , y ) K , then ( x , y ) = θ G ( x , y ) . For any t [ 0 , T ] , we have
x ( t ) = θ G 1 ( x , y ) ( t ) , and y ( t ) = θ G 2 ( x , y ) ( t ) .
In consequence, we obtain
| x ( t ) | | G 1 ( x , y ) ( t ) | x ϕ 1 + y ϕ 2 + ( x 0 + x 1 x + x 2 x | R ( δ q , , δ 1 ) ( 1 ) | + x 3 y ) ϕ 3 + ( y 0 + y 1 x + y 2 y + y 3 y | R ( ζ p , , ζ 1 ) ( 1 ) | ) ϕ 4 x ϕ 1 + y ϕ 2 + ( x 0 + x 1 x + x 2 Θ 1 x + x 3 y ) ϕ 3 + ( y 0 + y 1 x + y 2 y + y 3 Θ 2 y ) ϕ 4 ,
| y ( t ) | | G 1 ( x , y ) ( t ) | x ω 1 + y ω 2 + ( x 0 + x 1 x + x 2 Θ 1 x + x 3 y ) ω 3 + ( y 0 + y 1 x + y 2 y + y 3 Θ 2 y ) ω 4 .
Hence, we obtain
x + y ( ϕ 3 + ω 3 ) x 1 + ( ϕ 3 + ω 3 ) Θ 1 x 2 + ( ϕ 4 + ω 4 ) y 1 + ϕ 1 + ω 1 x + ( ϕ 3 + ω 3 ) x 3 + ( ϕ 4 + ω 4 ) y 2 + ( ϕ 4 + ω 4 ) Θ 2 y 3 + ϕ 2 + ω 2 y + ( ϕ 3 + ω 3 ) x 0 + ( ϕ 4 + ω 4 ) y 0 ,
which yields
( x , y ) ( ϕ 3 + ω 3 ) x 0 + ( ϕ 4 + ω 4 ) y 0 A * ,
where A * = min { 1 ( ϕ 3 + ω 3 ) x 1 + ( ϕ 3 + ω 3 ) Θ 1 x 2 + ( ϕ 4 + ω 4 ) y 1 + ϕ 1 + ω 1 , 1 ( ϕ 3 + ω 3 ) x 3 + ( ϕ 4 + ω 4 ) y 2 + ( ϕ 4 + ω 4 ) Θ 2 y 3 + ϕ 2 + ω 2 } . Thus, K is bounded. In consequence, by the Laray–Schauder alternative, we deduce that the problem (1) admits at least one solution on [ 0 , T ] , which completes the proof.  □
Now, we prove our second existence result with the aid of a fixed point theorem due to Krasnosel’skiĭ’s [46].
Theorem 2.
Assume that
(H2)
l 1 , l 2 > 0 , such that for all t [ 0 , T ] and u i , v i , w i R , i = 1 , 2 ,
| f ( t , u 1 , v 1 , w 1 ) f ( t , u 2 , v 2 , w 2 ) | l 1 ( | u 1 u 2 | + | v 1 v 2 | + | w 1 w 2 | ) | g ( t , u 1 , v 1 , w 1 ) g ( t , u 2 , v 2 , w 2 ) | l 2 ( | u 1 u 2 | + | v 1 v 2 | + | w 1 w 2 | ) .
(H3
There exist R 1 , R 2 > 0 , such that | f ( t , u , v , w ) | R 1 and | g ( t , u , v , w ) | R 2 , for all t [ 0 , T ] and u , v , w R .
Then, the problem (1)has at least one solution on [ 0 , T ] , if
T α 1 Γ ( α 1 + 1 ) l 1 ( Ω 1 + 1 ) + T α 2 Γ ( α 2 + 1 ) l 2 ( Ω 2 + 1 ) < 1 , ϕ 1 + ϕ 2 < 1 , ω 1 + ω 2 < 1 ,
where Ω 1 = 1 + Θ 1 and Ω 2 = 1 + Θ 2 and ϕ i , ω i , Θ i ( i = 1 , 2 ) are given in (15).
Proof. 
In order to satisfy the hypotheses of Krasnosel’skiĭ’s fixed point theorem [46], let us split the operator G , defined in (12), into four operators as
G 11 ( x , y ) ( t ) = t γ 1 1 Δ Γ ( γ 1 ) [ C ( λ 1 0 T x ( s ) d s 1 Γ ( α 1 ) 0 T ( T s ) α 1 1 f ^ ( x , y ) ( s ) d s λ 2 i = 1 m ε i R ( μ ρ , , μ 1 + 1 ) y ( η i ) + i = 1 m ε i R ( μ ρ , , μ 1 + 1 ) g ^ ( x , y ) ( η i ) ) + B ( λ 2 0 T y ( s ) d s 1 Γ ( α 2 ) 0 T ( T s ) α 2 1 g ^ ( x , y ) ( s ) d s λ 1 j = 1 n θ j R ( ν ρ , , ν ρ + 1 ) x ( ξ j ) + j = 1 n θ j R ( ν ρ , , ν ρ + 1 ) f ^ ( x , y ) ( ξ j ) ) ] λ 1 0 t x ( s ) d s , t [ 0 , T ] , G 12 ( x , y ) ( t ) = 1 Γ ( α 1 ) 0 t ( t s ) α 1 1 f ^ ( x , y ) ( s ) d s , t [ 0 , T ] , G 21 ( x , y ) ( t ) = t γ 2 1 Δ Γ ( γ 2 ) [ D ( λ 1 0 T x ( s ) d s 1 Γ ( α 1 ) 0 T ( T s ) α 1 1 f ^ ( x , y ) ( s ) d s λ 2 i = 1 m ε i R ( μ ρ , , μ 1 + 1 ) y ( η i ) + i = 1 m ε i R ( μ ρ , , μ 1 + 1 ) g ^ ( x , y ) ( η i ) ) + A ( λ 2 0 T y ( s ) d s 1 Γ ( α 2 ) 0 T ( T s ) α 2 1 g ^ ( x , y ) ( s ) d s λ 1 j = 1 n θ j R ( ν ρ , , ν ρ + 1 ) x ( ξ j ) + j = 1 n θ j R ( ν ρ , , ν ρ + 1 ) f ^ ( x , y ) ( ξ j ) ) ] λ 2 0 t y ( s ) d s , t [ 0 , T ] , G 22 ( x , y ) ( t ) = 1 Γ ( α 2 ) 0 t ( t s ) α 2 1 g ^ ( x , y ) ( s ) d s t [ 0 , T ] .
Notice that G 1 ( x , y ) ( t ) = G 11 ( x , y ) ( t ) + G 12 ( x , y ) ( t ) and G 2 ( x , y ) ( t ) = G 21 ( x , y ) ( t ) + G 22 ( x , y ) ( t ) . Let B ϵ = { ( x , y ) J × J : ( x , y ) ϵ } be a convex, closed, and bounded subset of the Banach apace J × J , where
ϵ = max R 1 ϕ 3 + R 2 ϕ 4 1 ( ϕ 1 + ϕ 2 ) , R 1 ω 3 + R 2 ω 4 1 ( ω 1 + ω 2 ) ,
ϕ i , ω i ( i = 1 , 2 , 3 , 4 ) are given in (15).
In our first step, we show that G B ϵ B ϵ . Let ( x , y ) , ( w , z ) B ϵ . As in the proof of Theorem 1, one can obtain the following estimates:
| G 11 ( x , y ) ( t ) + G 12 ( w , z ) ( t ) | ϵ ( ϕ 1 + ϕ 2 ) + R 1 ϕ 3 + R 2 ϕ 4 ϵ ,
and
| G 21 ( x , y ) ( t ) + G 22 ( w , z ) ( t ) | ϵ ( ω 1 + ω 2 ) + R 1 ω 3 + R 2 ω 4 ϵ ,
which imply that G B ϵ B ϵ . Next, we show that ( G 11 , G 21 ) is continuous and compact. Note that continuity of G 11 and G 21 follows from that of f and g . For any ( x , y ) B ϵ , we have
| G 11 ( x , y ) ( t ) | | C | | λ 1 | x T γ 1 | Δ | Γ ( γ 1 ) + | C | R 1 T α 1 + γ 1 1 | Δ | Γ ( γ 1 ) Γ ( α 1 + 1 ) + | C | | λ 2 | y T γ 1 1 | Δ | Γ ( γ 1 ) Λ 2 i = 1 m | ε i | k = 1 ρ 2 1 + l = 1 k μ 2 l 1 μ 2 k × η i 1 + l = 1 ρ 2 μ 2 l 1 + | C | R 2 T γ 1 1 | Δ | Γ ( γ 1 ) Λ 2 i = 1 m | ε i | k = 1 ρ 2 1 + l = 1 k μ 2 l 1 μ 2 k × η i 1 + l = 1 ρ 2 μ 2 l 1 + | B | | λ 2 | y T γ 1 | Δ | Γ ( γ 1 ) + | B | R 2 T α 2 + γ 1 1 | Δ | Γ ( γ 1 ) Γ ( α 2 + 1 ) + | B | | λ 1 | x T γ 1 1 | Δ | Γ ( γ 1 ) Λ 3 j = 1 n | θ j | k = 1 ρ 2 1 + l = 1 k ν 2 l 1 ν 2 k × ξ j 1 + l = 1 ρ 2 ν 2 l 1 + | B | R 1 T γ 1 1 | Δ | Γ ( γ 1 ) Λ 3 j = 1 n | θ j | k = 1 ρ 2 1 + l = 1 k ν 2 l 1 ν 2 k × ξ j 1 + l = 1 ρ 2 ν 2 l 1 + | λ 1 | x T ϵ ( ϕ 1 + ϕ 2 ) + R 1 ϕ 3 T α 1 Γ ( α 1 + 1 ) + R 2 ϕ 4 = I * .
In a similar manner, one can obtain
| G 21 ( x , y ) ( t ) | ϵ ( ω 1 + ω 2 ) + R 1 ω 3 T α 1 Γ ( α 1 + 1 ) + R 2 ω 4 = L * .
Consequently, we have ( G 11 , G 21 ) ( x , y ) I * + L * . Hence G 11 B ϵ and G 21 B ϵ are uniformly bounded. Next, we verify that G 11 B ϵ and G 21 B ϵ are equicontinuous. Similar to the arguments used in proving equicontinuity of the operators G 1 and G 2 in Theorem 1, it is easy to find that | G 21 ( x , y ) ( t 2 ) G 21 ( x , y ) ( t 1 ) | 0 as t 1 t 2 , independently of ( x , y ) B ϵ . Hence, ( G 11 , G 21 ) B ϵ is equicontinuous.
Finally, it will be established that the operator ( G 12 , G 22 ) is a contraction. For any t [ 0 , T ] and each pair of elements ( x 1 , y 1 ) , ( x 2 , y 2 ) J × J , it follows by using the condition ( H 2 ) that
| f ^ ( x 1 , y 1 ) ( t ) f ^ ( x 2 , y 2 ) ( t ) | = | f t , x 1 ( t ) , R ( δ q , , δ 1 ) x 1 ( t ) , y 1 ( t ) f t , x 2 ( t ) , R ( δ q , , δ 1 ) x 2 ( t ) , y 2 ( t ) | l 1 ( | x 1 ( t ) x 2 ( t ) | + | R ( δ q , , δ 1 ) x 1 ( t ) R ( δ q , , δ 1 ) x 2 ( t ) | + | y 1 ( t ) y 2 ( t ) | ) l 1 ( x 1 x 2 + x 1 x 2 R ( δ q , , δ 1 ) ( 1 ) + y 1 y 2 ) l 1 ( x 1 x 2 ( 1 + R ( δ q , , δ 1 ) ( 1 ) ) + y 1 y 2 ) l 1 Ω 1 x 1 x 2 + l 1 y 1 y 2 ,
and
| g ^ ( x 1 , y 1 ) ( t ) g ^ ( x 2 , y 2 ) ( t ) | = | g t , x 1 ( t ) , y 1 ( t ) , R ( ζ p , , ζ 1 ) y 1 ( t ) g ( t , x 2 ( t ) , y 2 ( t ) , R ( ζ p , , ζ 1 ) y 2 ( t ) | l 2 ( | x 1 ( t ) x 2 ( t ) | + | y 1 ( t ) y 2 ( t ) | + | R ( ζ q , , ζ 1 ) y 1 ( t ) R ( ζ q , , ζ 1 ) y 2 ( t ) | ) l 2 ( x 1 x 2 + y 1 y 2 + y 1 y 2 R ( ζ q , , ζ 1 ) ( 1 ) ) l 2 ( x 1 x 2 + y 1 y 2 ( 1 + R ( ζ q , , ζ 1 ) ( 1 ) ) ) l 2 x 1 x 2 + l 2 Ω 2 y 1 y 2 ,
where Ω 1 = 1 + Θ 1 and Ω 2 = 1 + Θ 2 . In consequence, we obtain
G 12 ( x 1 , y 1 ) G 12 ( x 2 , y 2 ) T α 1 Γ ( α 1 + 1 ) ( l 1 Ω 1 + l 1 ) ( x 1 x 2 + y 1 y 2 )
and
G 22 ( x 1 , y 1 ) G 22 ( x 2 , y 2 ) T α 2 Γ ( α 2 + 1 ) ( l 2 Ω 2 + l 2 ) ( x 1 x 2 + y 1 y 2 ) ,
which imply that
( G 12 , G 22 ) ( x 1 , y 1 ) ( G 12 , G 22 ) ( x 2 , y 2 ) T α 1 Γ ( α 1 + 1 ) ( l 1 Ω 1 + l 1 ) ( x 1 x 2 + y 1 y 2 ) + T α 2 Γ ( α 2 + 1 ) ( l 2 Ω 2 + l 2 ) ( x 1 x 2 + y 1 y 2 ) = T α 1 Γ ( α 1 + 1 ) ( l 1 Ω 1 + l 1 ) + T α 2 Γ ( α 2 + 1 ) ( l 2 Ω 2 + l 2 ) ( x 1 x 2 + y 1 y 2 ) .
Therefore, by the assumption (20), ( G 12 , G 22 ) is a contraction. In view of the foregoing arguments, we note that the hypotheses of Krasnosel’skiĭ’s fixed point theorem [46] are satisfied. Therefore, the problem (1) has at least one solution on [ 0 , T ] . This finishes the proof.  □
Lastly, the uniqueness of solutions for the problem (1) is established by means of Banach’s fixed point theorem [47].
Theorem 3.
Let f , g C ( [ 0 , T ] × R 3 , R ) satisfy the assumption ( H 2 ) . Then, the system (1) has a unique solution on [ 0 , T ] , if
α 1 + 2 + 1 + 2 < 1 ,
where
α 1 : = ϕ 1 + Ω 1 l 1 ϕ 3 + l 2 ϕ 4 , 2 : = ϕ 2 + l 1 ϕ 3 + Ω 2 l 2 ϕ 4 ,
1 : = ω 1 + l 2 ω 4 + Ω 1 l 1 ω 3 , 2 : = ω 2 + l 2 Ω 2 ω 4 + l 1 ω 3 .
Proof. 
For the fixed point problem ( x , y ) ( t ) = G ( x , y ) ( t ) equivalent to the system (1), we show that the operator G has a unique fixed point on [ 0 , T ] by means of the Banach’s fixed point theorem [47], where the operator G is defined in (12). Let us consider a bounded, closed, and convex subset of J × J defined by
B ε : = { ( x , y ) J × J : ( x , y ) ε } ,
where
ε M ¯ ( ϕ 3 + ω 3 ) + N ¯ ( ϕ 4 + ω 4 ) 1 ( 1 + 2 + 1 + 2 ) ,
sup t [ 0 , T ] = | f ( t , 0 , 0 , 0 ) | : = M ¯ < , and sup t [ 0 , T ] = | g ( t , 0 , 0 , 0 ) | : = N ¯ < . For all ( x , y ) B ε , t [ 0 , T ] , by using ( H 2 ) , we have
| f ^ ( x , y ) ( t ) | = | f t , x ( t ) , R ( δ q , , δ 1 ) x ( t ) , y ( t ) | | f t , x ( t ) , R ( δ q , , δ 1 ) x ( t ) , y ( t ) f ( t , 0 , 0 , 0 ) | + | f ( t , 0 , 0 , 0 ) | l 1 ( | x ( t ) | + | R ( δ q , , δ 1 ) x ( t ) | + | y ( t ) | ) + M ¯ l 1 ( x ( 1 + R ( δ q , , δ 1 ) ( 1 ) ) + y ) + M ¯ l 1 Ω 1 x + l 1 y + M ¯ ( Ω 1 + 1 ) ε l 1 + M ¯ .
Similarly, we one can obtain
| g ^ ( x , y ) ( t ) | = | g t , x ( t ) , y ( t ) , R ( ζ p , , ζ 1 ) y ( t ) | ( 1 + Ω 2 ) ε l 2 + N ¯ .
Next, we show that G B ε B ε . As in the proof of Theorem 1, it follows by the above inequalities that
| G 1 ( x , y ) ( t ) | ε ( ϕ 1 + ϕ 2 ) + ( ( l 1 Ω 1 + l 1 ) ε + M ¯ ) ϕ 3 + ( ( l 2 + l 2 Ω 2 ) ε + N ¯ ) ϕ 4 ε , | G 2 ( x , y ) ( t ) | ε ( ω 1 + ω 2 ) + ( ( l 1 Ω 1 + l 1 ) ε + M ¯ ) ω 3 + ( l 2 + ( l 2 Ω 2 ) ε + N ¯ ) ω 4 ε .
Hence,
G ( x , y ) ε ( ϕ 1 + ϕ 2 ) + ( ( l 1 Ω 1 + l 1 ) ε + M ¯ ) ϕ 3 + ( ( l 2 + l 2 Ω 2 ) ε + N ¯ ) ϕ 4 + ε ( ω 1 + ω 2 ) + ( ( l 1 Ω 1 + l 1 ) ε + M ¯ ) ω 3 + ( l 2 + ( l 2 Ω 2 ) ε + N ¯ ) ω 4 ε ,
which implies that G B ε B ε .
Next, we want to show that the operator G : J × J J × J is a contraction. For any ( x 1 , y 2 ) , ( x 2 , y 2 ) J × J and for each t [ 0 , T ] , we obtain
| G 1 ( x 1 , y 1 ) ( t ) G 1 ( x 2 , y 2 ) ( t ) | t γ 1 1 | Δ | Γ ( γ 1 ) [ | C | ( | λ 1 | 0 T | x 1 ( s ) x 2 ( s ) | d s + 1 Γ ( α 1 ) 0 T ( T s ) α 1 1 | f ^ ( x 1 , y 1 ) ( s ) f ^ ( x 2 , y 2 ) ( s ) | d s + | λ 2 | i = 1 m | ε i | R ( μ ρ , , μ 1 + 1 ) | y 1 ( η i ) y 2 ( η i ) | + i = 1 m | ε i | R ( μ ρ , , μ 1 + 1 ) | g ^ ( x 1 , y 1 ) ( η i ) g ^ ( x 2 , y 2 ) ( η i ) | ) + | B | ( | λ 2 | 0 T | y 1 ( s ) y 2 ( s ) | d s + 1 Γ ( α 2 ) 0 T ( T s ) α 2 1 | g ^ ( x 1 , y 1 ) ( s ) g ^ ( x 2 , y 2 ) ( s ) | d s + | λ 1 | j = 1 n | θ j | R ( ν ρ , , ν ρ + 1 ) | x 1 ( ξ j ) x 2 ( ξ j ) | + j = 1 n | θ j | R ( ν ρ , , ν ρ + 1 ) | f ^ ( x 1 , y 1 ) ( ξ j ) f ^ ( x 2 , y 2 ) ( ξ j ) | ) ] + | λ 1 | 0 t | x 1 ( s ) x 2 ( s ) | d s + 1 Γ ( α 1 ) 0 t ( t s ) α 1 1 | f ^ ( x 1 , y 1 ) ( s ) f ^ ( x 2 , y 2 ) ( s ) | d s | C | | λ 1 | x 1 x 2 T γ 1 | Δ | Γ ( γ 1 ) + ( Ω 1 l 1 x 1 x 2 + l 1 | y 1 y 2 ) | C | T α 1 + γ 1 1 | Δ | Γ ( γ 1 ) Γ ( α 1 + 1 ) + | C | | λ 2 | y 1 y 2 T γ 1 1 | Δ | Γ ( γ 1 ) Λ 2 i = 1 m | ε i | k = 1 ρ 2 1 + l = 1 k μ 2 l 1 μ 2 k × η i 1 + l = 1 ρ 2 μ 2 l 1 + l 2 x 1 x 2 + l 2 Ω 2 y 1 y 2 | C | T γ 1 1 | Δ | Γ ( γ 1 ) Λ 2 i = 1 m | ε i | k = 1 ρ 2 1 + l = 1 k μ 2 l 1 μ 2 k × η i 1 + l = 1 ρ 2 μ 2 l 1 + | B | | λ 2 | y 1 y 2 T γ 1 | Δ | Γ ( γ 1 ) + ( l 2 x 1 x 2 + l 2 Ω 2 y 1 y 2 ) | B | T α 2 + γ 1 1 | Δ | Γ ( γ 1 ) Γ ( α 2 + 1 ) + | B | | λ 1 | x 1 x 2 T γ 1 1 | Δ | Γ ( γ 1 ) Λ 3 j = 1 n | θ j | k = 1 ρ 2 1 + l = 1 k ν 2 l 1 ν 2 k × ξ j 1 + l = 1 ρ 2 ν 2 l 1 + ( l 1 Ω 1 x 1 x 2 + l 1 y 1 y 2 ) | B | T γ 1 1 | Δ | Γ ( γ 1 ) Λ 3 j = 1 n | θ j | k = 1 ρ 2 1 + l = 1 k ν 2 l 1 ν 2 k × ξ j 1 + l = 1 ρ 2 ν 2 l 1 + | λ 1 | x 1 x 2 T + ( l 1 Ω 1 x 1 x 2 + l 1 y 1 y 2 ) T α 1 Γ ( α 1 + 1 ) ϕ 1 x 1 x 2 + ϕ 2 y 1 y 2 + ( Ω 1 l 1 x 1 x 2 + l 1 y 1 y 2 ) ϕ 3 + ( l 2 x 1 x 2 + l 2 Ω 2 y 1 y 2 ) ϕ 4 ( ϕ 1 + Ω 1 l 1 ϕ 3 + l 2 ϕ 4 ) x 1 x 2 + ( ϕ 2 + l 1 ϕ 3 + Ω 2 l 2 ϕ 4 ) y 1 y 2 1 x 1 x 2 + 2 y 1 y 2 ( 1 + 2 ) ( x 1 x 2 + y 1 y 2 ) .
Therefore, we obtain
G 1 ( x 1 , y 1 ) G 1 ( x 2 , y 2 ) ( 1 + 2 ) ( x 1 x 2 + y 1 y 2 ) .
Similarly, one can obtain
G 2 ( x 1 , y 1 ) G 2 ( x 2 , y 2 ) ( 1 + 2 ) ( x 1 x 2 + y 1 y 2 ) .
From (23) and (24), we have
G ( x 1 , y 1 ) G ( x 2 , y 2 ) ( 1 + 2 + 1 + 2 ) ( x 1 x 2 + y 1 y 2 ) ,
which, by the condition (21), shows that G is a contraction. Hence, the conclusion of Banach’s fixed point theorem [47] implies that the problem (1) has a unique solution on [ 0 , T ] . The proof is complete.  □

4. Examples

Example 1.
Consider a system of nonlinear Hilfer iterated-integro differential equations with iterated fractional integral boundary conditions given by
( H D 3 2 , 1 2 x ) ( t ) + 1 7 ( H D 1 2 , 1 2 x ) ( t ) = f t , x ( t ) , R ( 3 25 , 1 23 , 2 25 1 17 ) x ( t ) , y ( t ) , ( H D 4 3 , 5 6 y ) ( t ) + 1 5 ( H D 1 3 , 5 6 y ) ( t ) = g t , x ( t ) , y ( t ) , R ( 2 23 , 1 22 , 4 27 , 2 29 , 1 28 , 2 25 ) y ( t ) , x ( 0 ) = 0 , x 34 25 = R 6 5 , 1 4 , 1 , 1 2 , 2 y 1 2 + 2 3 R 6 5 , 1 4 , 1 , 1 2 , 2 y 2 3 + 1 5 R 6 5 , 1 4 , 1 , 1 2 , 2 y 1 5 + 6 5 R 6 5 , 1 4 , 1 , 1 2 , 2 y 1 + 1 8 R 6 5 , 1 4 , 1 , 1 2 , 2 y 3 4 , y ( 0 ) = 0 , y 34 25 = 2 15 R 3 2 , 5 8 , 1 2 , 2 3 , 1 y 5 14 + 4 5 R 3 2 , 5 8 , 1 2 , 2 3 , 1 y 5 7 + 3 7 R 3 2 , 5 8 , 1 2 , 2 3 , 1 y 5 13 + 1 2 R 3 2 , 5 8 , 1 2 , 2 3 , 1 y 2 5 .
Here, α 1 = 3 / 2 , α 2 = 4 / 3 , β 1 = 1 / 2 , β 2 = 5 / 6 , T = 34 / 25 , λ 1 = 1 / 17 , λ 2 = 1 / 5 , δ 1 = 1 / 17 , δ 2 = 2 / 25 , δ 3 = 1 / 23 , δ 4 = 3 / 25 , ζ 1 = 2 / 25 , ζ 2 = 1 / 28 , ζ 3 = 2 / 29 , ζ 4 = 4 / 27 , ζ 5 = 1 / 22 , ζ 6 = 2 / 23 , μ 1 = 2 , μ 2 = 1 / 2 , μ 3 = 1 , μ 4 = 1 / 4 , μ 5 = 6 / 5 , ν 1 = 1 , ν 2 = 2 / 3 , ν 3 = 1 / 2 , ν 4 = 5 / 8 , ν 5 = 3 / 2 , θ 1 = 2 / 15 , θ 2 = 4 / 5 , θ 3 = 3 / 7 , θ 4 = 1 / 2 , ε 1 = 1 , ε 2 = 2 / 3 , ε 3 = 1 / 5 , ε 4 = 6 / 5 , ε 5 = 1 / 8 , η 1 = 1 / 2 , η 2 = 2 / 3 , η 3 = 1 / 5 , η 4 = 1 , η 5 = 3 / 4 , ξ 1 = 5 / 14 , ξ 2 = 5 / 7 , ξ 3 = 5 / 13 , ξ 4 = 2 / 5 . Using the given data, it is found that γ 1 = 1.75 , γ 2 = 1.8889 , A 1.3703 , B 0.004 , C 1.3719 , D 0.0172 , Δ 1.8799 , ϕ 1 0.3886 , ϕ 2 0.0014 , ϕ 3 2.3862 , ϕ 4 0.0044 , ω 1 0.0025 , ω 2 0.5013 , ω 3 0.0184 , ω 4 2.5311 , Θ 1 1.7906 and Θ 2 1.8766 .
(i)
For the illustration of Theorem 1, we consider
f ( t , u , v , w ) = 2 t t + 3 1 + cos 2 π t 2 + e u 2 | u | 6 + 1 6 t 2 + 36 | v | 25 ( 2 + v 24 ) + sin | w | 8 ( t 2 + 1 ) + 1 9 ,
g ( t , u , v , w ) = 4 e u 2 5 | u | 1 + | u | + | v | sin t 3 9 + t 2 + w 4 5 ( 1 + | w | 3 ) + ( 1 t ) u 2 36 ( 1 + | u | ) .
It easy to see that
| f ( t , u , v , w ) | 4 9 + | u | 6 + | v | 36 + | w | 8 , | g ( t , u , v , w ) | 4 5 + | u | 36 + | v | 9 + | w | 5 .
Note that ( H 1 ) is satisfied with x 0 = 4 / 9 , x 1 = 1 / 6 , x 2 = 1 / 36 , x 3 = 1 / 8 , y 0 = 4 / 5 , y 1 = 1 / 36 , y 2 = 1 / 9 and y 3 = 1 / 5 . Moreover, ( ϕ 3 + ω 3 ) x 1 + ( ϕ 3 + ω 3 ) Θ 1 x 2 + ( ϕ 4 + ω 4 ) y 1 + ϕ 1 + ω 1 0.9819 and ( ϕ 3 + ω 3 ) x 3 + ( ϕ 4 + ω 4 ) y 2 + ( ϕ 4 + ω 4 ) Θ 2 y 3 + ϕ 2 + ω 2 0.9091 . As all the conditions of Theorem 1 are satisfied, its conclusion implies that the coupled systems (25) with f and g given by (26) and (27), respectively, has at least one solution on [ 0 , 34 / 25 ] .
(ii)
To demonstrate the application of Theorem 2, we take
f ( t , u , v , w ) = 8   cos   t 7 ( 9 t 2 + 7 ) | u | 1 + | u | + 32   arctan | v | ( 3 t + 14 ) 2 + 8 e 2 t 4 sin | w | 49 + 1 2 ,
g ( t , u , v , w ) = 3 ( sin 2 t + 1 ) sin | u | 109 + 169 + t 4 + 3 ( cos 2 t + 1 ) 2 ( t 2 + 61 ) | v | 1 + | v | + 6 e 3 t arctan | w | 2 2 t + 121 + e 2 t 1 + t 3 .
Observe that
| f ( t , u 1 , v 1 , w 1 ) f ( t , u 2 , v 2 , w 2 ) | 8 49 | u 1 u 2 | + | v 1 v 2 | + | w 1 w 2 | , | g ( t , u 1 , v 1 , w 1 ) g ( t , u 2 , v 2 , w 2 ) | 3 61 | u 1 u 2 | + | v 1 v 2 | + | w 1 w 2 | .
Clearly, ( H 2 ) is satisfied with l 1 = 8 / 49 , l 2 = 3 / 61 . Moreover, the functions f and g are bounded as
| f ( t , u , v , w ) | 81 + 8 π 98 and | g ( t , u , v , w ) | 134 + 3 π 122 .
Additionally, we have
T α 1 Γ ( α 1 + 1 ) l 1 ( Ω 1 + 1 ) + T α 2 Γ ( α 2 + 1 ) l 2 ( Ω 2 + 1 ) 0.9977 < 1 ,
and
ϕ 1 + ϕ 2 0.3900 < 1 , ω 1 + ω 2 0.5038 < 1 .
Since the hypothesis of Theorem 2 is satisfied, its conclusion implies that the coupled systems (25) with f and g given by (28) and (29), respectively, has at least one solution on [ 0 , 34 / 25 ] .
(iii)
To explain the application of Theorem 3, we choose the functions f and g as follows
f ( t , u , v , w ) = e t 2 2 t 2 + 8 2 u 2 + | u | 1 + 2 | u | + sin | v | t 2 + 16 2 + | w | 128 4 + t 3 + 1 4 ,
g ( t , u , v , w ) = cos 2 t ( 3 t + 12 ) 2 | u | 1 + | u | + 2 arctan | v | 11 t + 288 + 1 144 3 w 2 + 4 | w | 4 + 3 | w | + 1 4 ,
which satisfy the Lipschitz condition with l 1 = 1 / 256 , l 2 = 1 / 144 as
| f ( t , u 1 , v 1 , w 1 ) f ( t , u 2 , v 2 , w 2 ) | 1 256 | u 1 u 2 | + | v 1 v 2 | + | w 1 w 2 | , | g ( t , u 1 , v 1 , w 1 ) g ( t , u 2 , v 2 , w 2 ) | 1 144 | u 1 u 2 | + | v 1 v 2 | + | w 1 w 2 | .
In addition, we find that 1 + 2 + 1 + 2 0.9977 < 1 . Hence, by the application of Theorem 3, the problem (25) with f and g given by (31) and (32), respectively, has a unique solution on [ 0 , 34 / 25 ] .
Remark 1.
We observe that the functions f and g given by (28) and (29), respectively, in ( i i ) satisfy the Lipschitz condition with l 1 = 8 / 49 and l 2 = 3 / 61 , but the uniqueness of solutions for the problem (25) does not follow as (21) is not satisfied. In fact, when l 1 = 8 / 49 and l 2 = 3 / 61 , the condition (21) becomes 1 + 2 + 1 + 2 2.8654 > 1 .
Example 2.
We examine the behavior of solutions to the following system by varying the values of β 1 :
( H D 3 2 , β 1 x ) ( t ) + ( H D 1 2 , β 1 x ) ( t ) = t 2 , t ( 0 , 2 ) , ( H D 4 3 , 1 5 y ) ( t ) + 1 5 ( H D 1 3 , 1 5 y ) ( t ) = t 3 , x ( 0 ) = 0 , x 2 = R 4 5 , 7 10 y 1 2 + 1 2 R 4 5 , 7 10 y 2 3 + 1 5 R 4 5 , 7 10 y 3 4 , y ( 0 ) = 0 , y 2 = 1 2 R 2 3 , 1 2 x 1 5 + 4 5 R 2 3 , 1 2 x 4 3 .
Let us take β 1 as a parameter with α 1 = 3 / 2 , α 2 = 4 / 5 , β 2 = 1 / 5 , T = 2 , μ 1 = 7 / 10 , μ 2 = 4 / 5 , ν 1 = 1 / 2 , ν 2 = 2 / 3 , ε 1 = 1 , ε 2 = 1 / 2 , ε 3 = 1 / 5 , η 1 = 1 / 2 , η 2 = 2 / 3 , η 3 = 3 / 4 , θ 1 = 1 / 2 , θ 2 = 4 / 5 , and ξ 1 = 1 / 5 , ξ 2 = 4 / 3 . By Lemma 4, the solution of the system in (33) with h 1 ( t ) = t 2 and h 2 ( t ) = t 3 can be rewritten as
x ( t ) = 1 Γ ( 7 / 2 ) 0 t e ( t s ) s 5 / 2 d s + R 0 t s 1 / 2 ( 1 + β 1 ) 1 e ( t s ) Γ ( 1 / 2 ( 1 + β 1 ) ) d s , y ( t ) = 1 Γ ( 13 / 3 ) 0 t e 1 / 5 ( t s ) s 10 / 3 d s + S 0 t s 12 / 15 1 e 1 / 5 ( t s ) Γ ( 12 / 15 ) d s ,
where
R = F ( A C ) + D ( E G ) D H F B , S = H ( A C ) + B ( E G ) D H F B , D H F B 0 ,
with
A = 0 T e λ 1 ( T s ) I α 1 s 2 d s , B = 0 T s γ 11 1 e λ 1 ( T s ) Γ ( γ 11 ) d s , C = i = 1 m ε i R ( μ ρ , , μ 1 ) 0 η i e λ 2 ( η i s ) I α 2 s 3 d s , E = 0 T e λ 2 ( T s ) I α 2 s 3 d s , F = 0 T s γ 12 1 e λ 2 ( T s ) Γ ( γ 12 ) d s , G = j = 1 n θ j R ( ν ρ , , ν 1 ) 0 ξ j e λ 1 ( ξ j s ) I α 1 s 2 d s , H = j = 1 n θ j R ( ν ρ , , ν 1 ) 0 ξ j s γ 11 1 e λ 1 ( ξ j s ) Γ ( γ 11 ) d s ,
γ 11 = α 1 1 + ( 2 α 1 ) β 1 , and γ 12 = α 2 1 + ( 2 α 2 ) β 2 . Next, we give some numerical approximations and graphs of x ( t ) and y ( t ) when the values of β 1 vary from 0.1 to 0.9 .
From Figure 1, we see that if the value of β 1 increases from 0.1 to 0.9 , (Table 1) the corresponding graphs of x ( t ) also increase. The lower curve occurs when β 1 = 0.1 .
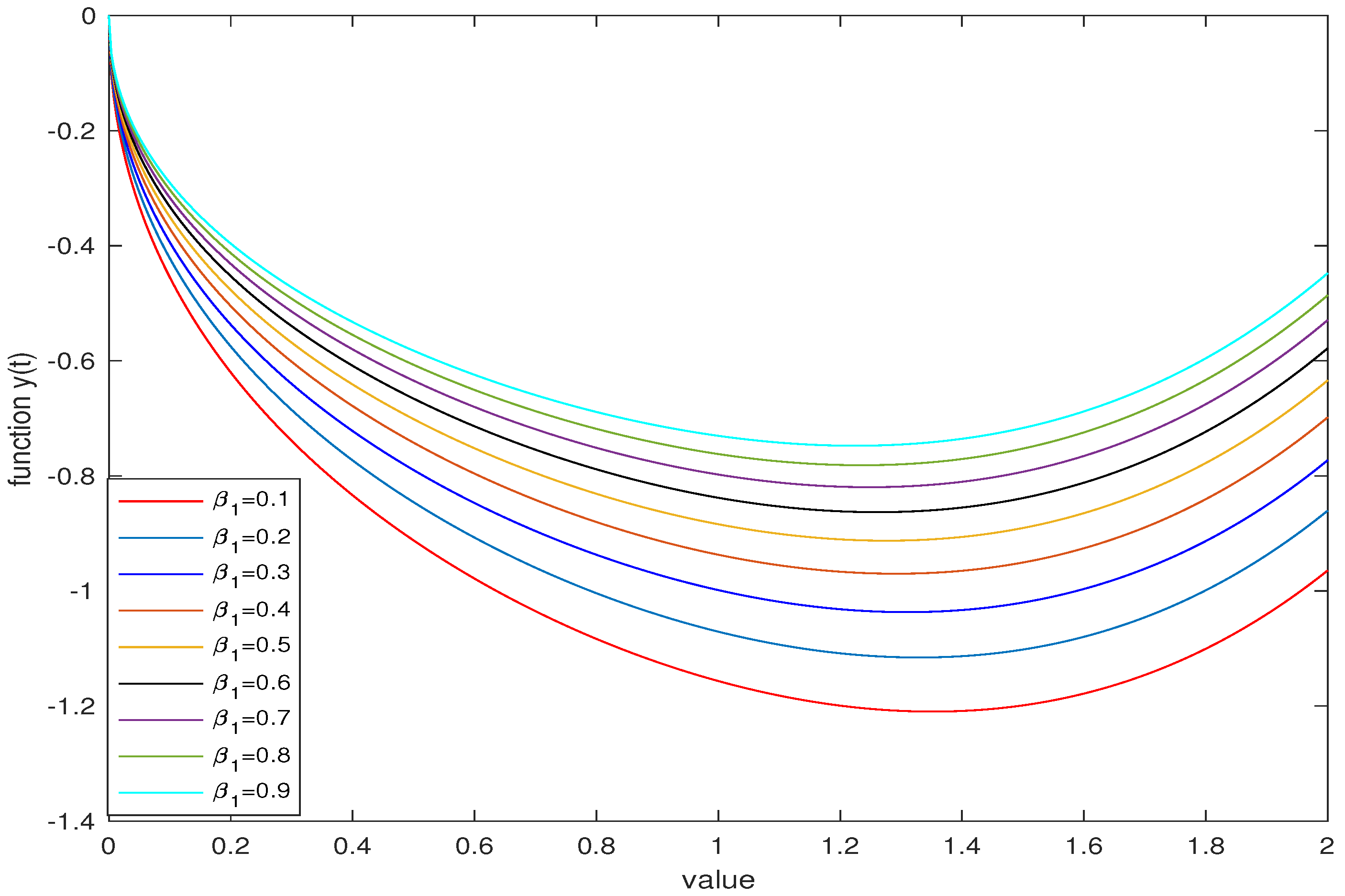
In Figure 2, if the value of β 1 increases, then the value of y ( t ) also increases (Table 2). The lower and upper bounds for the above curves correspond to β 1 = 0.1 and β 1 = 0.9 , respectively.

5. Conclusions

In this paper, the tools of fixed point theory are successfully applied to obtain the existence criteria for solutions of a new class of boundary value problems involving coupled nonlinear Hilfer iterated-integro-differential equations, and Riemann–Liouville and Hadamard-type iterated fractional integral operators. The first two results (Theorems 3.1 and 3.2) present the different criteria for the existence of solutions to the problem at hand, while a sufficient criterion ensuring the unique solution of the given problem is accomplished in the third result. It is believed that the work established in this paper is a useful contribution to the existing literature on Hilfer-type fractional boundary value problems as it takes care of Riemann–Liouville and Caputo fractional derivative operators as special cases of the Hilfer fractional derivative operator. We have presented numerical examples to show the applicability of the obtained results by using the Matlab program. Our results are new in the given configuration and enrich the literature on the topic of nonlinear coupled Hilfer fractional differential equations equipped with nonlocal boundary conditions involving Riemann–Liouville and Hadamard-type iterated integral operators.

Author Contributions

Conceptualization, S.T. and S.K.N.; methodology, S.T., S.K.N., B.A. and J.T.; validation, S.T., S.K.N., B.A. and J.T.; formal analysis, S.T., S.K.N., B.A. and J.T.; writing—original draft preparation, S.T., S.K.N., B.A. and J.T.; funding acquisition, S.T. All authors have read and agreed to the published version of the manuscript.

Funding

This research project was supported by the Thailand Research Fund and National Research Council of Thailand with funds provided to the Royal Golden Jubilee Ph.D. program (PHD/0080/2560).

Institutional Review Board Statement

Not applicable.

Informed Consent Statement

Not applicable.

Data Availability Statement

Not applicable.

Acknowledgments

The authors thank the reviewers for their constructive remarks on our work.

Conflicts of Interest

The authors declare no conflict of interest.

References

  1. Fallahgoul, H.A.; Focardi, S.M.; Fabozzi, F.J. Fractional Calculus and Fractional Processes with Applications to Financial Economics. Theory and Application; Elsevier: Amsterdam, The Netherlands; Academic Press: Cambridge, MA, USA, 2017. [Google Scholar]
  2. Zaslavsky, G.M. Hamiltonian Chaos and Fractional Dynamics; Oxford University Press: Oxford, UK, 2005. [Google Scholar]
  3. Khan, M.; Rasheed, A. Numerical implementation and error analysis of nonlinear coupled fractional viscoelastic fluid model with variable heat flux. Ain Shams Eng. J. 2022, 13, 101614. [Google Scholar] [CrossRef]
  4. Javidi, M.; Ahmad, B. Dynamic analysis of time fractional order phytoplankton-toxic phytoplankton–zooplankton system. Ecol. Model. 2015, 318, 8–18. [Google Scholar] [CrossRef]
  5. Khan, M.; Rasheed, A. The space-time coupled fractional Cattaneo-Friedrich Maxwell model with Caputo derivatives. Int. J. Appl. Comput. Math. 2021, 7, 112. [Google Scholar] [CrossRef] [PubMed]
  6. Magin, R.L. Fractional Calculus in Bioengineering; Begell House Publishers: Danbury, CT, USA, 2006. [Google Scholar]
  7. Khan, M.; Rasheed, A. Numerical study of diffusion-thermo phenomena in Darcy medium using fractional calculus. Waves Random Complex Media 2022. [Google Scholar] [CrossRef]
  8. Chatterjee, A.N.; Ahmad, B. A fractional-order differential equation model of COVID-19 infection of epithelial cells. Chaos Solitons Fractals 2021, 147, 110952. [Google Scholar] [CrossRef]
  9. Kumar, S.; Ahmad, B. A new numerical study of space-time fractional advection-reaction-diffusion equation with Rabotnov fractional-exponential kernel. Numer. Methods Partial. Differ. Equ. 2022, 38, 457–469. [Google Scholar] [CrossRef]
  10. Mukhtar, S.; Shah, R.; Noor, S. The numerical investigation of a fractional-order multi-dimensional Model of Navier–Stokes equation via novel techniques. Symmetry 2022, 14, 1102. [Google Scholar] [CrossRef]
  11. Chatterjee, A.N.; Basir, F.A.; Ahmad, B.; Alsaedi, A. A fractional-order compartmental model of vaccination for COVID-19 with the fear factor. Mathematics 2022, 10, 1451. [Google Scholar] [CrossRef]
  12. Kilbas, A.A.; Srivastava, H.M.; Trujillo, J.J. Theory and Applications of the Fractional Differential Equations; North-Holland Mathematics Studies; Elsevier: Amsterdam, The Netherlands, 2006; Volume 204. [Google Scholar]
  13. Diethelm, K. The Analysis of Fractional Differential Equations. In Lecture Notes in Mathematics; Springer: New York, NY, USA, 2010. [Google Scholar]
  14. Lakshmikantham, V.; Leela, S.; Devi, J.V. Theory of Fractional Dynamic Systems; Cambridge Scientific Publishers: Cambridge, UK, 2009. [Google Scholar]
  15. Ahmad, B.; Alsaedi, A.; Ntouyas, S.K.; Tariboon, J. Hadamard-Type Fractional Differential Equations, Inclusions and Inequalities; Springer: Cham, Switzerland, 2017. [Google Scholar]
  16. Zhou, Y. Basic Theory of Fractional Differential Equations; World Scientific: Singapore, 2014. [Google Scholar]
  17. Ahmad, B.; Ntouyas, S.K. Nonlocal Nonlinear Fractional-Order Boundary Value Problems; World Scientific: Singapore, 2021. [Google Scholar]
  18. Wang, Y.; Liang, S.; Wang, Q. Existence results for fractional differential equations with integral and multi-point boundary conditions. Bound. Value Probl. 2018, 2018, 4. [Google Scholar] [CrossRef]
  19. Goodrich, C.S. Coercive nonlocal elements in fractional differential equations. Positivity 2017, 21, 377–394. [Google Scholar] [CrossRef]
  20. Ahmad, B.; Alruwaily, Y.; Alsaedi, A.; Nieto, J.J. Fractional integro-differential equations with dual anti-periodic boundary conditions. Differ. Integral Equ. 2020, 33, 181–206. [Google Scholar]
  21. Ahmad, B.; Alghanmi, M.; Alsaedi, A. Existence results for a nonlinear coupled system involving both Caputo and Riemann—Liouville generalized fractional derivatives and coupled integral boundary conditions. Rocky Mountain J. Math. 2020, 50, 1901–1922. [Google Scholar] [CrossRef]
  22. Kiataramkul, C.; Yukunthorn, W.; Ntouyas, S.K.; Tariboon, J. Sequential Riemann–Liouville and Hadamard–Caputo fractional differential systems with nonlocal coupled fractional integral boundary conditions. Axioms 2021, 10, 174. [Google Scholar] [CrossRef]
  23. Benkerrouche, A.; Baleanu, D.; Souid, M.S.; Hakem, A.; Inc, M. Boundary value problem for nonlinear fractional differential equations of variable order via Kuratowski MNC technique. Adv. Differ. Equ. 2021, 2021, 365. [Google Scholar] [CrossRef]
  24. Promsakon, C.; Phuangthong, N.; Ntouyas, S.K.; Tariboon, J. Nonlinear sequential Riemann–Liouville and Caputo fractional differential equations with generalized fractional integral conditions. Adv. Differ. Equ. 2018, 2018, 385. [Google Scholar] [CrossRef]
  25. Asawasamrit, S.; Phuangthong, N.; Ntouyas, S.K.; Tariboon, J. Nonlinear sequential Riemann–Liouville and Caputo fractional differential equations with nonlocal and integral boundary conditions. Int. J. Anal. Appl. 2019, 17, 47–63. [Google Scholar]
  26. Asawasamrit, S.; Ntouyas, S.K.; Tariboon, J.; Nithiarayaphaks, W. Coupled systems of sequential Caputo and Hadamard fractional differential equations with coupled separated boundary conditions. Symmetry 2018, 10, 701. [Google Scholar] [CrossRef]
  27. Alsaedi, A.; Albideewi, A.F.; Ntouyas, S.K.; Ahmad, B. Existence results for a multipoint boundary value problem of nonlinear sequential Hadamard fractional differential equations. CUBO 2021, 23, 225–237. [Google Scholar]
  28. Hilfer, R. Applications of Fractional Calculus in Physics; World Scientific: Singapore, 2000. [Google Scholar]
  29. Bulavatsky, V.M. Mathematical modeling of fractional differential filtration dynamics based on models with Hilfer–Prabhakar derivative. Cybern. Syst. Anal. 2017, 53, 204–216. [Google Scholar] [CrossRef]
  30. Bulavatsky, V.M. Mathematical models and problems of fractional-differential dynamics of some relaxation filtration processes. Cybern. Syst. Anal. 2018, 54, 727–736. [Google Scholar] [CrossRef]
  31. Ali, I.; Malik, N. Hilfer fractional advection-diffusion equations with power-law initial condition; a numerical study using variational iteration method. Comput. Math. Appl. 2014, 68, 1161–1179. [Google Scholar] [CrossRef]
  32. Hilfer, R. Experimental evidence for fractional time evolution in glass forming materials. Chem. Phys. 2002, 284, 399–408. [Google Scholar] [CrossRef]
  33. Garra, R.; Gorenflo, R.; Polito, F.; Tomovski, Z. Hilfer-Prabhakar derivatives and some applications. Appl. Math. Comput. 2014, 242, 576–589. [Google Scholar] [CrossRef]
  34. Hilfer, R. Fractional time evolution. In Applications of Fractional Calculus in Physics; World Sci. Publ.: River Edge, NJ, USA, 2000; pp. 87–130. [Google Scholar]
  35. Soong, T.T. Random Differential Equations in Science and Engineering; Academic Press: New York, NY, USA, 1973. [Google Scholar]
  36. Kavitha, K.; Vijayakumar, V.; Udhayakumar, R.; Nisar, K.S. Results on the existence of Hilfer fractional neutral evolution equations with infinite delay via measures of noncompactness. Math. Methods Appl. Sci. 2021, 44, 1438–1455. [Google Scholar] [CrossRef]
  37. Subashini, R.; Jothimani, K.; Nisar, K.S.; Ravichandran, C. New results on nonlocal functional integro-differential equations via Hilfer fractional derivative. Alex. Eng. J. 2020, 59, 2891–2899. [Google Scholar] [CrossRef]
  38. Asawasamrit, S.; Kijjathanakorn, A.; Ntouyas, S.K.; Tariboon, J. Nonlocal boundary value problems for Hilfer fractional differential equations. Bull. Korean Math. Soc. 2018, 55, 1639–1657. [Google Scholar]
  39. Ntouyas, S.K.; Sitho, S.; Khoployklang, T.; Tariboon, J. Sequential Riemann–Liouville and Hadamard–Caputo fractional differential equation with iterated fractional integrals conditions. Axioms 2021, 10, 277. [Google Scholar] [CrossRef]
  40. Theswan, S.; Samadi, A.; Ntouyas, S.K.; Tariboon, J. Hilfer iterated-integro-differential equations and boundary conditions. AIMS Math. 2022, 7, 13945–13962. [Google Scholar] [CrossRef]
  41. Ge, Z.M.; Ou, C.Y. Chaos synchronization of fractional order modified Duffing systems with parameters excited by a chaotic signal. Chaos Solitons Fractals 2008, 35, 705–717. [Google Scholar] [CrossRef]
  42. Sokolov, I.M.; Klafter, J.; Blumen, A. Fractional kinetics. Phys. Today 2002, 55, 48–54. [Google Scholar] [CrossRef]
  43. Petras, I.; Magin, R.L. Simulation of drug uptake in a two compartmental fractional model for a biological system. Commun. Nonlinear Sci. Numer Simul. 2011, 16, 4588–4595. [Google Scholar] [CrossRef]
  44. Hilfer, R.; Luchko, Y.; Tomovski, Z. Operational method for the solution of fractional differential equations with generalized Riemann-Liouville fractional derivatives. Frac. Calc. Appl. Anal. 2009, 12, 299–318. [Google Scholar]
  45. Granas, A.; Dugundji, J. Fixed Point Theory; Springer: New York, NY, USA, 2003. [Google Scholar]
  46. Krasnosel’skii, M.A. Two remarks on the method of successive approximations. UapekhiMat Nauk 1955, 10, 123–127. [Google Scholar]
  47. Deimling, K. Nonlinear Functional Analysis; Springer: New York, NY, USA, 1985. [Google Scholar]
Figure 1. The graph of solutions x ( t ) with varying values of β 1 from β 1 = 0.1 to β 1 = 0.9 and β 2 = 0.2 .
Figure 1. The graph of solutions x ( t ) with varying values of β 1 from β 1 = 0.1 to β 1 = 0.9 and β 2 = 0.2 .
Symmetry 14 01948 g001
Figure 2. The graph of solutions y ( t ) with varying values of β 1 from β 1 = 0.1 to β 1 = 0.9 and β 2 = 0.2 .
Figure 2. The graph of solutions y ( t ) with varying values of β 1 from β 1 = 0.1 to β 1 = 0.9 and β 2 = 0.2 .
Symmetry 14 01948 g002
Table 1. The approximate solutions x ( t ) and the values of R with varying values of β 1 .
Table 1. The approximate solutions x ( t ) and the values of R with varying values of β 1 .
β 1 Rx(t)
0.1 −1.7587  1 Γ ( 7 / 2 ) 0 t e ( t s ) s 5 / 2 d s 1.7587 0 t s 1 / 2 ( 1 + β 1 ) 1 e ( t s ) Γ ( 1 / 2 ( 1 + β 1 ) ) d s
0.2−1.6061 1 Γ ( 7 / 2 ) 0 t e ( t s ) s 5 / 2 d s 1.6061 0 t s 1 / 2 ( 1 + β 1 ) 1 e ( t s ) Γ ( 1 / 2 ( 1 + β 1 ) ) d s
0.3−1.4790 1 Γ ( 7 / 2 ) 0 t e ( t s ) s 5 / 2 d s 1.4790 0 t s 1 / 2 ( 1 + β 1 ) 1 e ( t s ) Γ ( 1 / 2 ( 1 + β 1 ) ) d s
0.4−1.3720 1 Γ ( 7 / 2 ) 0 t e ( t s ) s 5 / 2 d s 1.3720 0 t s 1 / 2 ( 1 + β 1 ) 1 e ( t s ) Γ ( 1 / 2 ( 1 + β 1 ) ) d s
0.5−1.2810 1 Γ ( 7 / 2 ) 0 t e ( t s ) s 5 / 2 d s 1.2810 0 t s 1 / 2 ( 1 + β 1 ) 1 e ( t s ) Γ ( 1 / 2 ( 1 + β 1 ) ) d s
0.6−1.2030 1 Γ ( 7 / 2 ) 0 t e ( t s ) s 5 / 2 d s 1.2030 0 t s 1 / 2 ( 1 + β 1 ) 1 e ( t s ) Γ ( 1 / 2 ( 1 + β 1 ) ) d s
0.7−1.1355 1 Γ ( 7 / 2 ) 0 t e ( t s ) s 5 / 2 d s 1.1355 0 t s 1 / 2 ( 1 + β 1 ) 1 e ( t s ) Γ ( 1 / 2 ( 1 + β 1 ) ) d s
0.8−1.0769 1 Γ ( 7 / 2 ) 0 t e ( t s ) s 5 / 2 d s 1.0769 0 t s 1 / 2 ( 1 + β 1 ) 1 e ( t s ) Γ ( 1 / 2 ( 1 + β 1 ) ) d s
0.9−1.0257 1 Γ ( 7 / 2 ) 0 t e ( t s ) s 5 / 2 d s 1.0257 0 t s 1 / 2 ( 1 + β 1 ) 1 e ( t s ) Γ ( 1 / 2 ( 1 + β 1 ) ) d s
Table 2. The approximate solutions y ( t ) and the values of S with varying values of β 1 .
Table 2. The approximate solutions y ( t ) and the values of S with varying values of β 1 .
β 1 Sy(t)
0.1−1.1961 1 Γ ( 13 / 3 ) 0 t e 1 / 5 ( t s ) s 10 / 3 d s 1.196 0 t s 12 / 15 1 e 1 / 5 ( t s ) Γ ( 12 / 15 ) d s
0.2−1.1092 1 Γ ( 13 / 3 ) 0 t e 1 / 5 ( t s ) s 10 / 3 d s 1.1092 0 t s 12 / 15 1 e 1 / 5 ( t s ) Γ ( 12 / 15 ) d s
0.3−1.0360 1 Γ ( 13 / 3 ) 0 t e 1 / 5 ( t s ) s 10 / 3 d s 1.0360 0 t s 12 / 15 1 e 1 / 5 ( t s ) Γ ( 12 / 15 ) d s
0.4−0.9737 1 Γ ( 13 / 3 ) 0 t e 1 / 5 ( t s ) s 10 / 3 d s 0.9737 0 t s 12 / 15 1 e 1 / 5 ( t s ) Γ ( 12 / 15 ) d s
0.5−0.9200 1 Γ ( 13 / 3 ) 0 t e 1 / 5 ( t s ) s 10 / 3 d s 0.9200 0 t s 12 / 15 1 e 1 / 5 ( t s ) Γ ( 12 / 15 ) d s
0.6−0.8734 1 Γ ( 13 / 3 ) 0 t e 1 / 5 ( t s ) s 10 / 3 d s 0.8734 0 t s 12 / 15 1 e 1 / 5 ( t s ) Γ ( 12 / 15 ) d s
0.7−0.8325 1 Γ ( 13 / 3 ) 0 t e 1 / 5 ( t s ) s 10 / 3 d s 0.8325 0 t s 12 / 15 1 e 1 / 5 ( t s ) Γ ( 12 / 15 ) d s
0.8−0.7964 1 Γ ( 13 / 3 ) 0 t e 1 / 5 ( t s ) s 10 / 3 d s 0.7964 0 t s 12 / 15 1 e 1 / 5 ( t s ) Γ ( 12 / 15 ) d s
0.9−0.7643 1 Γ ( 13 / 3 ) 0 t e 1 / 5 ( t s ) s 10 / 3 d s 0.7643 0 t s 12 / 15 1 e 1 / 5 ( t s ) Γ ( 12 / 15 ) d s
Publisher’s Note: MDPI stays neutral with regard to jurisdictional claims in published maps and institutional affiliations.

Share and Cite

MDPI and ACS Style

Theswan, S.; Ntouyas, S.K.; Ahmad, B.; Tariboon, J. Existence Results for Nonlinear Coupled Hilfer Fractional Differential Equations with Nonlocal Riemann–Liouville and Hadamard-Type Iterated Integral Boundary Conditions. Symmetry 2022, 14, 1948. https://doi.org/10.3390/sym14091948

AMA Style

Theswan S, Ntouyas SK, Ahmad B, Tariboon J. Existence Results for Nonlinear Coupled Hilfer Fractional Differential Equations with Nonlocal Riemann–Liouville and Hadamard-Type Iterated Integral Boundary Conditions. Symmetry. 2022; 14(9):1948. https://doi.org/10.3390/sym14091948

Chicago/Turabian Style

Theswan, Sunisa, Sotiris K. Ntouyas, Bashir Ahmad, and Jessada Tariboon. 2022. "Existence Results for Nonlinear Coupled Hilfer Fractional Differential Equations with Nonlocal Riemann–Liouville and Hadamard-Type Iterated Integral Boundary Conditions" Symmetry 14, no. 9: 1948. https://doi.org/10.3390/sym14091948

APA Style

Theswan, S., Ntouyas, S. K., Ahmad, B., & Tariboon, J. (2022). Existence Results for Nonlinear Coupled Hilfer Fractional Differential Equations with Nonlocal Riemann–Liouville and Hadamard-Type Iterated Integral Boundary Conditions. Symmetry, 14(9), 1948. https://doi.org/10.3390/sym14091948

Note that from the first issue of 2016, this journal uses article numbers instead of page numbers. See further details here.

Article Metrics

Back to TopTop