Exact Likelihood Inference for Parameter of Exponential Distribution under Combined Generalized Progressive Hybrid Censoring Scheme
Abstract
:1. Introduction
2. Combined Generalized Progressive Hybrid Censoring
3. Inference
3.1. Conditional Maximum Likelihood Estimator
3.2. Exact Inference for Conditional MLE
4. Example and Simulation Results
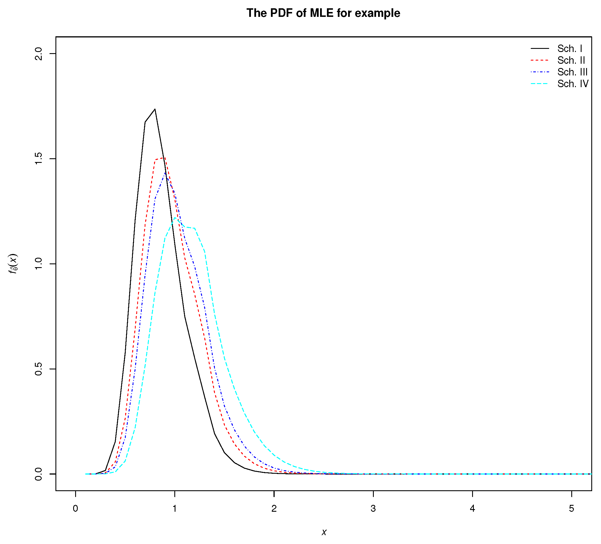
4.1. Example
4.2. Simulation Results
5. Conclusions, Limitations, and Future Research
Author Contributions
Funding
Institutional Review Board Statement
Informed Consent Statement
Data Availability Statement
Conflicts of Interest
Abbreviations
| GenTPrHyCS | generalized type I progressive hybrid censoring scheme |
| GenTPrHyCS | generalized type II progressive hybrid censoring scheme |
| ComGenPrHyCS | combined generalized progressive hybrid censoring scheme |
| ExpD | exponential distribution |
| MLE | maximum likelihood estimator |
| CondMGF | conditional moment generating function |
| ConfItv | confidence intervals |
| PrgCS | progressive censoring scheme |
| PrgCD | progressive censored data |
| ConfLen | confidence length |
| Cov% | coverage percentage |
| MSE | mean squared error |
| LowCB | lower confidence bound |
| ComGenPrHyCD | combined generalized progressive hybrid censored data |
Appendix A. Simulation Code
References
- Balakrishnan, N.; Aggarwala, R. Progressive Censoring: Theory, Methods and Applications; Birkhauser: Boston, MA, USA, 2000. [Google Scholar]
- Cho, Y.; Sun, H.; Lee, K. Exact likelihood inference for an exponential parameter under generalized progressive hybrid censoring scheme. Stat. Methodol. 2015, 23, 18–34. [Google Scholar] [CrossRef]
- Lee, K.; Sun, H.; Cho, Y. Exact likelihood inference of the exponential parameter under generalized Type II progressive hybrid censoring. J. Korean Stat. Soc. 2016, 45, 123–136. [Google Scholar] [CrossRef]
- Cho, Y.; Sun, H.; Lee, K. Estimating the entropy of a Weibull distribution under generalized progressive hybrid censoring. Entropy 2015, 17, 102–122. [Google Scholar] [CrossRef]
- Wang, L. Inference for Weibull competing risks data under generalized progressive hybrid censoring. IEEE Trans. Reliab. 2018, 67, 998–1007. [Google Scholar] [CrossRef]
- Wang, L.; Li, H. Inference for exponential competing risks data under generalized progressive hybrid censoring. Commun. -Stat.-Simul. Comput. 2019, 51, 1–17. [Google Scholar] [CrossRef]
- Tu, J.; Gui, W. Bayesian Inference for the kumaraswamy distribution under generalized progressive hybrid censoring. Entropy 2020, 22, 1032. [Google Scholar] [CrossRef] [PubMed]
- Maswadah, M. Improved maximum likelihood estimation of the shape-scale family based on the generalized progressive hybrid censoring scheme. J. Appl. Stat. 2021, 49, 1–20. [Google Scholar] [CrossRef]
- Nagy, M.; Sultan, K.S.; Abu-Moussa, M.H. Analysis of the generalized progressive hybrid censoring from Burr Type-XII lifetime model. AIMS Math. 2021, 6, 9675–9704. [Google Scholar] [CrossRef]
- Singh, D.P.; Lodhi, C.; Tripathi, Y.M.; Wang, L. Inference for two-parameter Rayleigh competing risks data under generalized progressive hybrid censoring. Qual. Reliab. Eng. Int. 2021, 37, 1210–1231. [Google Scholar] [CrossRef]
- Zeng, X.; Gui, W. Statistical inference of truncated normal distribution based on the generalized progressive hybrid censoring. Entropy 2021, 23, 186. [Google Scholar] [CrossRef] [PubMed]
- Nagy, M.; Alrasheedi, A.F. Estimations of generalized exponential distribution parameters based on type I generalized progressive hybrid censored data. Comput. Math. Methods Med. 2022, 2022, 8058473. [Google Scholar] [CrossRef] [PubMed]
- Ma, H.; Yan, Z.; Jia, J. Multicomponent stress-strength model based on generalized progressive hybrid censoring scheme: A statistical analysis. Entropy 2022, 24, 619. [Google Scholar] [CrossRef] [PubMed]
- Balakrishnan, N.; Childs, A.; Chandrasekar, B. An efficient computational method for moments of order statistics under progressive censoring. Stat. Probab. Lett. 2002, 60, 359–365. [Google Scholar] [CrossRef]
- Lawless, J.F. Statistical Models and Methods for Lifetime Data; Wiley: New York, NY, USA, 1982. [Google Scholar]




| i | 1 | 2 | 3 | 4 | 5 | 6 | 7 | 8 |
| 0 | 0 | 0 | 0 | 0 | 0 | 0 | 0 | |
| 0.1788 | 0.2892 | 0.3300 | 0.4152 | 0.4212 | 0.4560 | 0.4848 | 0.5184 | |
| i | 9 | 10 | 11 | 12 | 13 | 14 | 15 | |
| 0 | 0 | 0 | 0 | 0 | 1 | 2 | ||
| 0.6864 | 0.6888 | 0.8412 | 0.9312 | 0.9864 | 1.0512 | 1.0584 |
| Case | MSE | SE. | 95% ConfItv for | ||
|---|---|---|---|---|---|
| Sch. I | ComGenPrHyCS | 0.8337 | 0.0630 | 0.2321 | (0.5455, 1.3856) |
| GenPrHyCS | 0.8337 | 0.0630 | 0.2321 | (0.5455, 1.3856) | |
| GenPrHyCS | 0.7292 | 0.0479 | 0.2011 | (0.4789, 1.2120) | |
| Sch. II | ComGenPrHyCS | 0.9406 | 0.0795 | 0.2639 | (0.6066, 1.5885) |
| GenPrHyCS | 0.9406 | 0.0795 | 0.2639 | (0.6066, 1.5885) | |
| GenPrHyCS | 0.8337 | 0.0630 | 0.2321 | (0.5455, 1.3856) | |
| Sch. III | ComGenPrHyCS | 0.9979 | 0.0889 | 0.2809 | (0.6387, 1.7002) |
| GenPrHyCS | 0.9979 | 0.0889 | 0.2809 | (0.6387, 1.7002) | |
| GenPrHyCS | 0.8337 | 0.0630 | 0.2321 | (0.5455, 1.3856) | |
| Sch. IV | ComGenPrHyCS | 1.1367 | 0.1141 | 0.3230 | (0.7150, 1.9791) |
| GenPrHyCS | 0.9979 | 0.0889 | 0.2809 | (0.6387, 1.7002) | |
| GenPrHyCS | 1.1367 | 0.1141 | 0.3230 | (0.7150, 1.9791) |
| n | k | m | Sch. | |||||
|---|---|---|---|---|---|---|---|---|
| 20 | 0.5 | 10 | 18 | I | 0.1007 (0.0150) | 0.0976 (0.0128) | 0.0968 (0.0128) | 0.0963 (0.0127) |
| II | 0.1152 (0.0186) | 0.1004 (0.0101) | 0.0992 (0.0096) | 0.0987 (0.0095) | ||||
| III | 0.1108 (0.0168) | 0.1011 (0.0118) | 0.0985 (0.0106) | 0.0976 (0.0108) | ||||
| IV | 0.1027 (0.0140) | 0.0987 (0.0115) | 0.0987 (0.0111) | 0.0978 (0.0113) | ||||
| 14 | I | 0.1116 (0.0209) | 0.0992 (0.0162) | 0.0987 (0.0161) | 0.0987 (0.0161) | |||
| II | 0.1653 (0.0534) | 0.1358 (0.0296) | 0.1200 (0.0162) | 0.1150 (0.0131) | ||||
| III | 0.1288 (0.0259) | 0.1155 (0.0160) | 0.1034 (0.0112) | 0.1026 (0.0109) | ||||
| IV | 0.1271 (0.0258) | 0.1113 (0.0144) | 0.1080 (0.0116) | 0.1067 (0.0110) | ||||
| 8 | 18 | I | 0.1051 (0.0310) | 0.1051 (0.0311) | 0.1051 (0.0311) | 0.1051 (0.0311) | ||
| II | 0.1120 (0.0233) | 0.1084 (0.0220) | 0.1076 (0.0218) | 0.1076 (0.0218) | ||||
| III | 0.1111 (0.0289) | 0.1075 (0.0278) | 0.1060 (0.0274) | 0.1060 (0.0274) | ||||
| IV | 0.1065 (0.0283) | 0.1065 (0.0283) | 0.1065 (0.0283) | 0.1065 (0.0283) | ||||
| 14 | I | 0.1221 (0.0451) | 0.1171 (0.0439) | 0.1171 (0.0439) | 0.1171 (0.0439) | |||
| II | 0.1649 (0.0364) | 0.1393 (0.0230) | 0.1340 (0.0206) | 0.1313 (0.0199) | ||||
| III | 0.1313 (0.0339) | 0.1261 (0.0317) | 0.1220 (0.0307) | 0.1220 (0.0307) | ||||
| IV | 0.1320 (0.0318) | 0.1245 (0.0294) | 0.1240 (0.0292) | 0.1240 (0.0292) | ||||
| 0.8 | 10 | 18 | I | 0.0953 (0.0414) | 0.0915 (0.0392) | 0.0912 (0.0393) | 0.0910 (0.0392) | |
| II | 0.1086 (0.0364) | 0.0939 (0.0279) | 0.0927 (0.0274) | 0.0922 (0.0273) | ||||
| III | 0.1049 (0.0384) | 0.0951 (0.0335) | 0.0925 (0.0322) | 0.0917 (0.0325) | ||||
| IV | 0.0977 (0.0337) | 0.0937 (0.0312) | 0.0937 (0.0308) | 0.0929 (0.0310) | ||||
| 14 | I | 0.1071 (0.0426) | 0.0947 (0.0379) | 0.0942 (0.0378) | 0.0942 (0.0378) | |||
| II | 0.1621 (0.0573) | 0.1326 (0.0335) | 0.1168 (0.0201) | 0.1118 (0.0170) | ||||
| III | 0.1218 (0.0397) | 0.1085 (0.0298) | 0.0964 (0.0250) | 0.0956 (0.0247) | ||||
| IV | 0.1233 (0.0316) | 0.1075 (0.0201) | 0.1042 (0.0174) | 0.1029 (0.0167) | ||||
| 20 | 0.8 | 8 | 18 | I | 0.1119 (0.0599) | 0.1119 (0.0599) | 0.1119 (0.0599) | 0.1119 (0.0599) |
| II | 0.1144 (0.0514) | 0.1107 (0.0501) | 0.1099 (0.0499) | 0.1099 (0.0499) | ||||
| III | 0.1167 (0.0554) | 0.1130 (0.0542) | 0.1116 (0.0538) | 0.1116 (0.0538) | ||||
| IV | 0.1130 (0.0512) | 0.1130 (0.0512) | 0.1130 (0.0512) | 0.1130 (0.0512) | ||||
| 14 | I | 0.1249 (0.0622) | 0.1198 (0.0610) | 0.1198 (0.0610) | 0.1198 (0.0610) | |||
| II | 0.1569 (0.0539) | 0.1313 (0.0405) | 0.1261 (0.0381) | 0.1234 (0.0374) | ||||
| III | 0.1280 (0.0588) | 0.1228 (0.0565) | 0.1187 (0.0556) | 0.1187 (0.0556) | ||||
| IV | 0.1305 (0.0484) | 0.1231 (0.0460) | 0.1225 (0.0457) | 0.1225 (0.0457) | ||||
| 40 | 0.5 | 22 | 36 | I | 0.0451 (−0.0020) | 0.0441 (−0.0028) | 0.0440 (−0.0029) | 0.0440 (−0.0029) |
| II | 0.0482 (0.0007) | 0.0443 (−0.0033) | 0.0442 (−0.0032) | 0.0441 (−0.0032) | ||||
| III | 0.0473 (−0.0008) | 0.0442 (−0.0033) | 0.0442 (−0.0032) | 0.0442 (−0.0032) | ||||
| IV | 0.0460 (−0.0016) | 0.0442 (−0.0032) | 0.0442 (−0.0032) | 0.0441 (−0.0032) | ||||
| 28 | I | 0.0458 (−0.0027) | 0.0443 (−0.0038) | 0.0441 (−0.0039) | 0.0441 (−0.0039) | |||
| II | 0.0610 (0.0228) | 0.0539 (0.0088) | 0.0484 (0.0000) | 0.0461 (−0.0026) | ||||
| III | 0.0516 (0.0029) | 0.0465 (−0.0027) | 0.0447 (−0.0042) | 0.0447 (−0.0042) | ||||
| IV | 0.0515 (0.0074) | 0.0476 (0.0000) | 0.0457 (−0.0031) | 0.0451 (−0.0037) | ||||
| 18 | 36 | I | 0.0501 (0.0045) | 0.0501 (0.0045) | 0.0501 (0.0045) | 0.0501 (0.0045) | ||
| II | 0.0526 (0.0007) | 0.0522 (0.0004) | 0.0522 (0.0004) | 0.0522 (0.0004) | ||||
| III | 0.0513 (0.0023) | 0.0511 (0.0022) | 0.0511 (0.0022) | 0.0511 (0.0022) | ||||
| IV | 0.0506 (0.0035) | 0.0506 (0.0035) | 0.0506 (0.0035) | 0.0506 (0.0035) | ||||
| 28 | I | 0.0494 (0.0028) | 0.0494 (0.0028) | 0.0494 (0.0028) | 0.0494 (0.0028) | |||
| II | 0.0651 (0.0044) | 0.0574 (−0.0034) | 0.0548 (−0.0051) | 0.0543 (−0.0053) | ||||
| III | 0.0555 (−0.0028) | 0.0533 (−0.0038) | 0.0531 (−0.0039) | 0.0531 (−0.0039) | ||||
| IV | 0.0549 (−0.0037) | 0.0537 (−0.0045) | 0.0537 (−0.0045) | 0.0537 (−0.0045) | ||||
| 40 | 0.8 | 22 | 36 | I | 0.0406 (0.0096) | 0.0395 (0.0088) | 0.0394 (0.0087) | 0.0394 (0.0087) |
| II | 0.0452 (0.0066) | 0.0412 (0.0026) | 00411 (0.0028) | 00411 (0.0027) | ||||
| III | 0.0432 (0.0082) | 0.0401 (0.0057) | 0.0401 (0.0057) | 0.0401 (0.0057) | ||||
| IV | 0.0422 (0.0072) | 0.0403 (0.0055) | 0.0403 (0.0056) | 0.0402 (0.0056) | ||||
| 28 | I | 0.0419 (0.0095) | 0.0404( 0.0083) | 0.0402 (0.0082) | 0.0402 (0.0082) | |||
| II | 0.0609 (0.0229) | 0.0538 (0.0089) | 0.0484 (0.0000) | 0.0461 (−0.0025) | ||||
| III | 0.0501 (0.0055) | 0.0450 (0.0000) | 0.0432 (−0.0016) | 0.0432 (−0.0016) | ||||
| IV | 0.0514 (0.0076) | 0.0475 (0.0003) | 0.0455 (−0.0029) | 0.0449 (−0.0035) |
| n | k | m | Sch. | |||||
|---|---|---|---|---|---|---|---|---|
| 20 | 0.5 | 10 | 18 | I | 93.4 (1.2558) | 93.4 (1.2500) | 93.3 (1.2498) | 94.3 (1.2495) |
| II | 93.9 (1.2745) | 93.9 (1.2520) | 93.9 (1.2502) | 94.9 (1.2498) | ||||
| III | 93.4 (1.2652) | 93.4 (1.2523) | 93.4 (1.2497) | 94.4 (1.2494) | ||||
| IV | 93.3 (1.2574) | 93.3 (1.2506) | 93.2 (1.2499) | 94.2 (1.2496) | ||||
| 14 | I | 92.5 (1.2649) | 92.5 (1.2536) | 92.5 (1.2533) | 93.5 (1.2533) | |||
| II | 91.4 (1.3989) | 91.4 (1.3105) | 91.4 (1.2709) | 92.4 (1.2613) | ||||
| III | 91.6 (1.2933) | 91.6 (1.2639) | 91.6 (1.2525) | 92.6 (1.2518) | ||||
| IV | 91.6 (1.3005) | 91.6 (1.2650) | 91.6 (1.2539) | 92.6 (1.2561) | ||||
| 8 | 18 | I | 93.4 (1.3906) | 93.4 (1.3904) | 93.4 (1.3904) | 94.4 (1.3904) | ||
| II | 94.4 (1.4000) | 94.4 (1.3963) | 94.4 (1.3957) | 95.4 (1.3957) | ||||
| III | 93.4 (1.3997) | 93.4 (1.3965) | 93.4 (1.3957) | 94.4 (1.3957) | ||||
| IV | 93.3 (1.3899) | 93.3 (1.3897) | 93.3 (1.3897) | 94.3 (1.3897) | ||||
| 20 | 0.5 | 8 | 14 | I | 92.5 (1.4115) | 92.5 (1.4084) | 92.5 (1.4084) | 93.5 (1.4084) |
| II | 92.8 (1.4622) | 92.8 (1.4201) | 92.8 (1.4133) | 93.8 (1.4113) | ||||
| III | 92.7 (1.4230) | 92.7 (1.4168) | 92.7 (1.4144) | 93.7 (1.4144) | ||||
| IV | 92.3 (1.4206) | 92.3 (1.4145) | 92.3 (1.4139) | 93.3 (1.4139) | ||||
| 0.8 | 10 | 18 | I | 93.7 (1.2373) | 93.7 (1.2315) | 93.6 (1.2314) | 94.6 (1.2310) | |
| II | 93.6 (1.2679) | 93.6 (1.2454) | 93.6 (1.2436) | 94.6 (1.2432) | ||||
| III | 93.4 (1.2524) | 93.4 (1.2394) | 93.4 (1.2368) | 94.4 (1.2366) | ||||
| IV | 93.5 (1.2421) | 93.5 (1.2353) | 93.4 (1.2346) | 94.4 (1.2344) | ||||
| 14 | I | 92.9 (1.2416) | 92.9 (1.2303) | 92.9 (1.2299) | 93.9 (1.2299) | |||
| II | 92.3 (1.4007) | 92.3 (1.3124) | 92.3 (1.2727) | 93.3 (1.2632) | ||||
| III | 92.4 (1.2918) | 92.4 (1.2624) | 92.4 (1.2510) | 93.4 (1.2503) | ||||
| IV | 92.7 (1.2983) | 92.7 (1.2628) | 92.7 (1.2539) | 93.7 (1.2517) | ||||
| 8 | 18 | I | 93.7 (1.3011) | 93.7 (1.3009) | 93.7 (1.3009) | 94.7 (1.3009) | ||
| II | 93.6 (1.3420) | 93.6 (1.3383) | 93.6 (1.3378) | 94.6 (1.3378) | ||||
| III | 93.4 (1.3214) | 93.4 (1.3183) | 93.4 (1.3175) | 94.4 (1.3175) | ||||
| IV | 93.5 (1.3058) | 93.5 (1.3056) | 93.5 (1.3056) | 94.5 (1.3056) | ||||
| 14 | I | 92.9 (1.3059) | 92.9 (1.3028) | 92.9 (1.3028) | 93.9 (1.3028) | |||
| II | 92.4 (1.4563) | 92.4 (1.4142) | 92.4 (1.4074) | 93.4 (1.4054) | ||||
| III | 92.4 (1.3791) | 92.4 (1.3729) | 92.4 (1.3705) | 93.4 (1.3705) | ||||
| IV | 92.7 (1.3818) | 92.7 (1.3757) | 92.7 (1.3752) | 93.7 (1.3752) | ||||
| 40 | 0.5 | 22 | 36 | I | 93.3 (0.8346) | 93.3 (0.8333) | 93.4 (0.8332) | 94.4 (0.8332) |
| II | 93.3 (0.8413) | 93.3 (0.8331) | 93.2 (0.8331) | 94.2 (0.8330) | ||||
| III | 93.3 (0.8374) | 93.3 (0.8330) | 93.3 (0.8330) | 94.3 (0.8330) | ||||
| IV | 93.3 (0.8361) | 93. 3(0.8331) | 93.3 (0.8330) | 94.3 (0.8330) | ||||
| 40 | 0.5 | 22 | 28 | I | 93.4 (0.8344) | 93.5 (0.8324) | 93.5 (0.8322) | 94.5 (0.8322) |
| II | 93.7 (0.9256) | 93.6 (0.8693) | 93.4 (0.8433) | 94.4 (0.8367) | ||||
| III | 93.5 (0.8498) | 93.5 (0.8352) | 93.4 (0.8323) | 94.4 (0.8324) | ||||
| IV | 93.4 (0.8695) | 93.4 (0.8436) | 93.5 (0.8350) | 94.5 (0.8334) | ||||
| 18 | 36 | I | 94.7 (0.9218) | 94.7 (0.9218) | 94.7 (0.9218) | 95.7 (0.9218) | ||
| II | 94.3 (0.9230) | 94.3 (0.9225) | 94.3 (0.9225) | 95.3 (0.9225) | ||||
| III | 94.7 (0.9226) | 94.7 (0.9225) | 94.7 (0.9225) | 95.7 (0.9225) | ||||
| IV | 94.3 (0.9221) | 94.3 (0.9221) | 94.3 (0.9221) | 95.3 (0.9221) | ||||
| 28 | I | 94.7 (0.9199) | 94.7 (0.9199) | 94.7 (0.9199) | 95.7 (0.9199) | |||
| II | 92.1 (.9430) | 92.1 (0.9231) | 91.9 (0.9196) | 92.9 (0.9191) | ||||
| III | 92.2 (0.9215) | 92.2 (0.9194) | 92.2 (0.9192) | 93.2 (0.9192) | ||||
| IV | 92.3 (0.9208) | 92.5 (0.9190) | 92.4 (0.9189) | 93.4 (0.9189) | ||||
| 0.8 | 22 | 36 | I | 95.1 (0.8274) | 95.1 (0.8260) | 95.2 (0.8259) | 96.2 (0.8259) | |
| II | 95.4 (0.8413) | 95.4 (0.8331) | 95.3 (0.8331) | 96.3 (0.8330) | ||||
| III | 95.1 (0.8350) | 95.1 (0.8305) | 95.1 (0.8305) | 96.1 (0.8305) | ||||
| IV | 95.1 (0.8336) | 95.1 (0.8305) | 95.1 (0.8305) | 96.1 (0.8305) | ||||
| 28 | I | 94.2 (0.8286) | 94.3 (0.8266) | 94.3 (0.8265) | 95.3 (0.8265) | |||
| II | 93.7 (0.9256) | 93.6 (0.8693) | 93.4 (0.8433) | 94.4 (0.8367) | ||||
| III | 94.2 (0.8499) | 94.2 (0.8352) | 94.1 (0.8324) | 95.1 (0.8323) | ||||
| IV | 93.2 (0.8693) | 93.2 (0.8434) | 93.3 (0.8349) | 94.3 (0.8332) | ||||
| 18 | 36 | I | 95.2 (0.8692) | 95.2 (0.8692) | 95.2 (0.8692) | 96.2 (0.8692) | ||
| II | 95.4 (0.8990) | 95.4 (0.8986) | 95.4 (0.8986) | 96.4 (0.8986) | ||||
| III | 95.1 (0.8846) | 95.1 (0.8845) | 95.1 (0.8845) | 96.1 (0.8845) | ||||
| IV | 95.1 (0.8803) | 95.1 (0.8803) | 95.1 (0.8803) | 96.1 (0.8803) | ||||
| 40 | 0.8 | 18 | 28 | I | 94.3 (0.8674) | 94.3 (0.8674) | 94.3 (0.8674) | 95.3 (0.8674) |
| II | 93.8 (0.9430) | 93.8 (0.9231) | 93.6 (0.9196) | 94.6 (0.9191) | ||||
| III | 94.3 (0.9109) | 94.3 (0.9088) | 94.3 (0.9087) | 95.3 (0.9087) | ||||
| IV | 93. 9(0.9157) | 94.1 (0.9138) | 94.0 (0.9137) | 95.0 (0.9137) |
Publisher’s Note: MDPI stays neutral with regard to jurisdictional claims in published maps and institutional affiliations. |
© 2022 by the authors. Licensee MDPI, Basel, Switzerland. This article is an open access article distributed under the terms and conditions of the Creative Commons Attribution (CC BY) license (https://creativecommons.org/licenses/by/4.0/).
Share and Cite
Seong, Y.; Lee, K. Exact Likelihood Inference for Parameter of Exponential Distribution under Combined Generalized Progressive Hybrid Censoring Scheme. Symmetry 2022, 14, 1764. https://doi.org/10.3390/sym14091764
Seong Y, Lee K. Exact Likelihood Inference for Parameter of Exponential Distribution under Combined Generalized Progressive Hybrid Censoring Scheme. Symmetry. 2022; 14(9):1764. https://doi.org/10.3390/sym14091764
Chicago/Turabian StyleSeong, Yeongjae, and Kyeongjun Lee. 2022. "Exact Likelihood Inference for Parameter of Exponential Distribution under Combined Generalized Progressive Hybrid Censoring Scheme" Symmetry 14, no. 9: 1764. https://doi.org/10.3390/sym14091764
APA StyleSeong, Y., & Lee, K. (2022). Exact Likelihood Inference for Parameter of Exponential Distribution under Combined Generalized Progressive Hybrid Censoring Scheme. Symmetry, 14(9), 1764. https://doi.org/10.3390/sym14091764

