Soliton Solutions and Sensitive Analysis of Modified Equal-Width Equation Using Fractional Operators
Abstract
:1. Introduction
2. Basic Preliminaries about Fractional Calculus
2.1. M-Truncated Fractional Operator
- 1.
- .
- 2.
- .
- 3.
- .
- 4.
- where is a constant.
- 5.
- (Chain rule) If is differentiable, then .
2.2. -Fractional Operator
3. General Methodology
Overview of Analytical Technique
4. Governing Equation
- i.
- For the M-Truncated operator, we have:
- ii.
- By means of the fractional operator, we take:
5. Application to Fractional MEW Equation
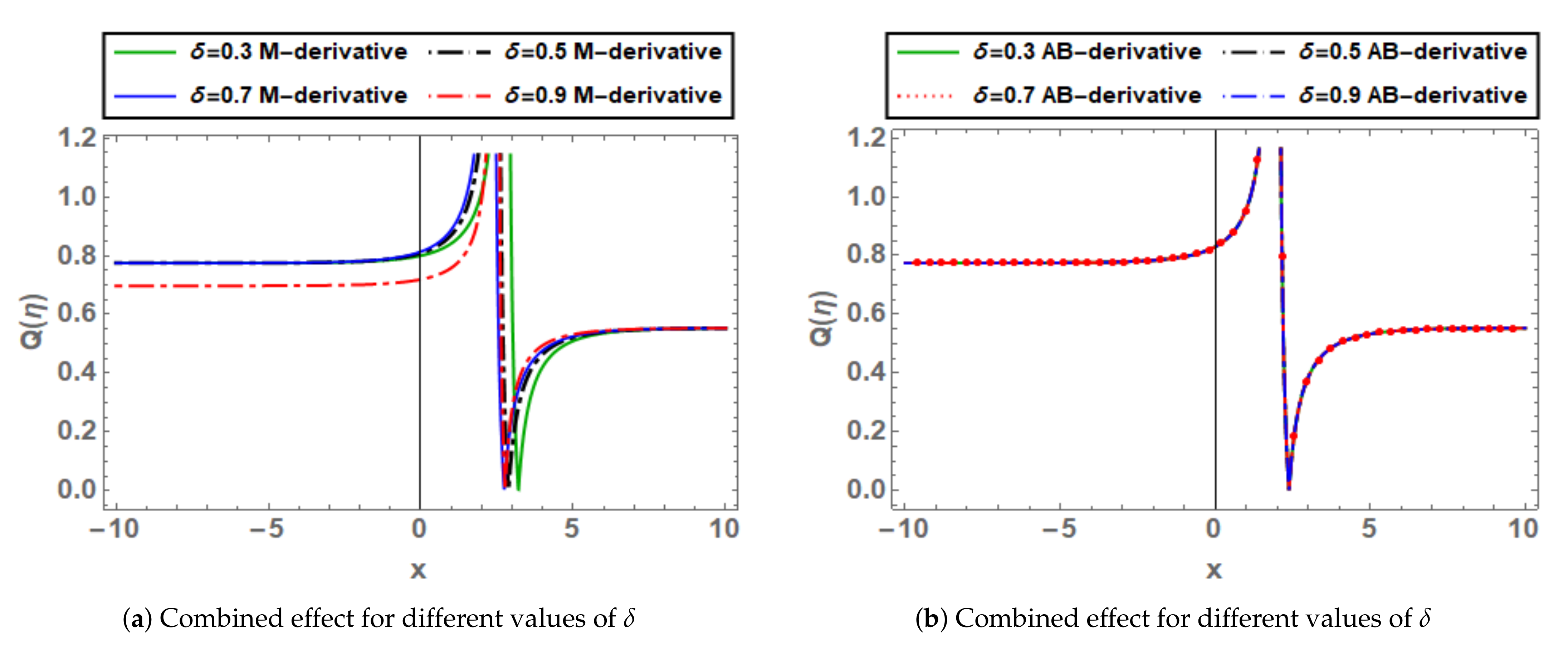
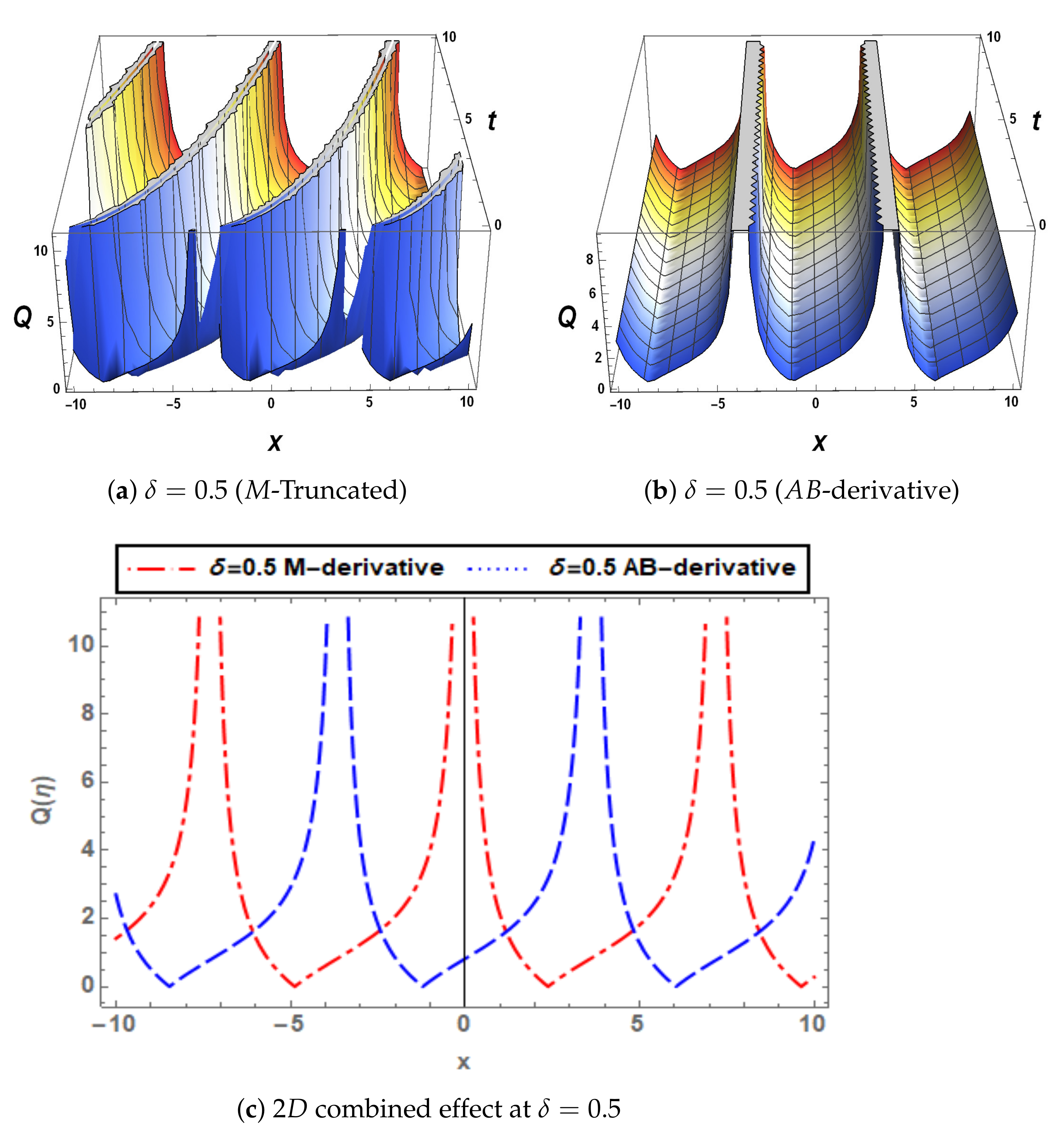
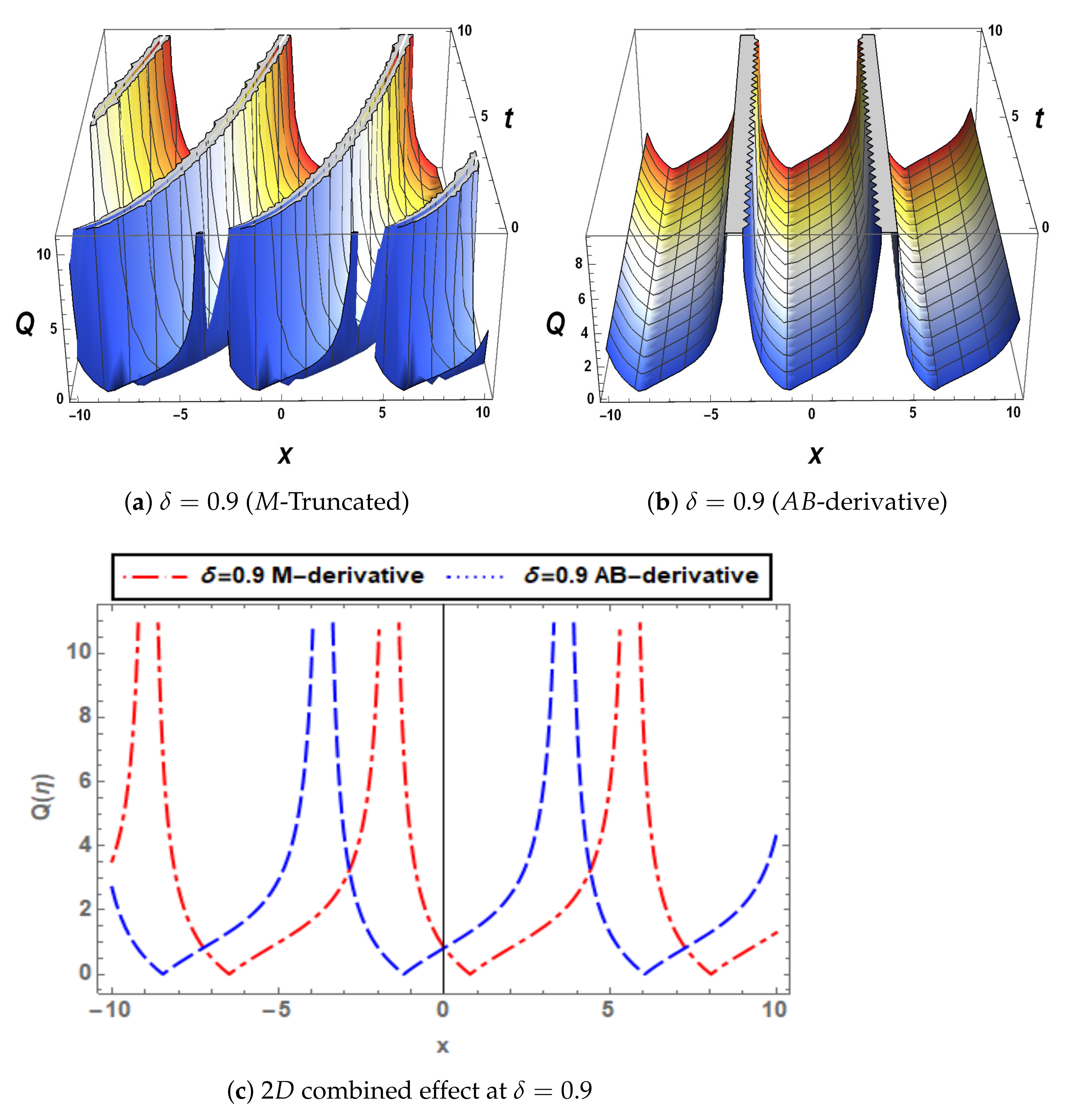
6. Solutions in Graphical Layout via Fractional Operators
7. Sensitivity Behavior of Fractional MEW Equation
8. Conclusions
Author Contributions
Funding
Institutional Review Board Statement
Informed Consent Statement
Data Availability Statement
Acknowledgments
Conflicts of Interest
References
- Baleanu, D.; Samaneh, S.S.; Amin, J.; Ozlem, D.; Jihad, H.A. The fractional dynamics of a linear triatomic molecule. Rom. Rep. Phys. 2021, 73, 105. [Google Scholar]
- Ghanbari, D.; Baleanu, D. New optical solutions of the fractional Gerdjikov-Ivanov equation with conformable derivative. Front. Phys. 2020, 8, 167. [Google Scholar] [CrossRef]
- Abouelregal, A.E.; Nofal, T.A.; Alsharari, F. A thermodynamic two-temperature model with distinct fractional derivative operators for an infinite body with a cylindrical cavity and varying properties. J. Ocean. Eng. Sci. 2022. [Google Scholar] [CrossRef]
- Zang, S.; Zong, Q.; Liu, D.; Gao, W. A generalized exp-function method for fractional Riccati differential equations. Commun. Fract. Calc. 2010, 1, 48–51. [Google Scholar]
- Chen, Q.; Baskonus, H.M.; Gao, W.; Ilhan, E. Soliton theory and modulation instability analysis: The Ivancevic option pricing model in economy. Alex. Eng. J. 2022, 61, 7843–7851. [Google Scholar] [CrossRef]
- Atangana, A.; Baleanu, D.; Alsaedi, A. Analysis of time fractional Hunter-Saxton equation: A model of neumatic liquid crystal. Open Phys. 2016, 14, 145. [Google Scholar] [CrossRef]
- Jhangeer, A.; Almusawa, H.; Rahman, R.U. Fractional derivative-based performance analysis to Caudrey-Dodd-Gibbon-Sawada-Kotera equation. Results Phys. 2022, 36, 105356. [Google Scholar] [CrossRef]
- Atangana, A.; Alqahtani, R.T. Modelling the Spread of River Blindness Disease via the Caputo Fractional Derivative and the Beta-derivative. Entropy 2016, 18, 40. [Google Scholar] [CrossRef]
- Akram, U.; Seadawy, A.R.; Rizvi, S.T.R.; Younis, M.; Althobaiti, S.; Sayed, S. Traveling wave solutions for the fractional Wazwaz-Benjamin-Bona-Mahony model in arising shallow water waves. Results Phys. 2021, 20, 103725. [Google Scholar] [CrossRef]
- Veeresha, P.; Ilhan, E.; Baskonus, H.M. Fractional approach for analysis of the model describing wind-influenced projectile motion. Phys. Scr. 2021, 96, 075209. [Google Scholar] [CrossRef]
- Ilhan, E.; Veeresha, P.; Baskonus, H.M. Fractional approach for a mathematical model of atmospheric dynamics of CO2 gas with an efficient method. Chaos Solitons Fractals 2021, 152, 111347. [Google Scholar] [CrossRef]
- Rezazadeh, H.; Osman, M.S.; Eslami, M.; Mirzazadeh, M.; Zhou, Q.; Badri, S.A.; Korkmaz, A. Hyperbolic rational solutions to a variety of conformable fractional Boussinesqlike equations. Nonlinear Eng. 2019, 8, 224–230. [Google Scholar] [CrossRef]
- Sulaiman, T.A.; Bulut, H. Boussinesq equations: M-fractional solitary wave solutions and convergence analysis. J. Ocean. Sci. 2019, 4, 1–6. [Google Scholar] [CrossRef]
- Hu, M.; Jia, Z.; Chen, Q.; Jia, S. Exact Solutions for Nonlinear Wave Equations by the Exp-Function Method. Abstr. Appl. Anal. 2014, 2014, 252168. [Google Scholar] [CrossRef]
- Abdeljabbar, A.; Roshid, H.O.; Aldurayhim, A. Bright, Dark, and Rogue Wave Soliton Solutions of the Quadratic Nonlinear Klein-Gordon Equation. Symmetry 2022, 14, 1223. [Google Scholar] [CrossRef]
- Raza, N.; Rahman, R.U.; Seadawy, A.; Jhangeer, A. Computational and bright soliton solutions and sensitivity behavior of Camassa-Holm and nonlinear Schrödinger dynamical equation. Int. J. Mod. Phys. B 2021, 35, 2150157. [Google Scholar] [CrossRef]
- Jaradat, I.; Alquran, M. A variety of physical structures to the generalized equal-width equation derived from Wazwaz-Benjamin-Bona-Mahony model. J. Ocean. Eng. Sci. 2021, 7, 244–247. [Google Scholar] [CrossRef]
- Abouelregal, A.E.; Alanazi, R. Fractional Moore-Gibson-Thompson heat transfer model with two-temperature and non-singular kernels for 3D thermoelastic solid. J. Ocean. Eng. Sci. 2022. [Google Scholar] [CrossRef]
- Nikitin, A.G.; Barannyk, T.A. Solitary wave and other solutions for nonlinear heat equations. Cent. Eur. J. Math. 2004, 2, 440–458. [Google Scholar] [CrossRef]
- Nguyen, A.T.; Nikan, O.; Avazzadeh, Z. Traveling wave solutions of the nonlinear Gilson-Pickering equation in crystal lattice theory. J. Ocean Eng. Sci. 2022. [Google Scholar] [CrossRef]
- Jhangeer, A.; Muddassar, M.; Rehman, Z.U.; Awrejcewicz, J.; Riaz, M.B. Multistability and dynamic behavior of non-linear wave solutions for analytical kink periodic and quasi-periodic wave structures in plasma physics. Results Phys. 2021, 29, 104735. [Google Scholar] [CrossRef]
- Karpov, P.; Brazovskii, S. Pattern Formation and Aggregation in Ensembles of Solitons in Quasi One-Dimensional Electronic Systems. Symmetry 2022, 14, 972. [Google Scholar] [CrossRef]
- Riaz, M.B.; Baleanu, D.; Jhangeer, A.; Abbas, N. Nonlinear self-adjointness, conserved vectors, and traveling wave structures for the kinetics of phase separation dependent on ternary alloys in iron (Fe-Cr-Y (Y = Mo,Cu)). Results Phys. 2021, 25, 104151. [Google Scholar] [CrossRef]
- Sinha, T.K.; Malla, S.; Baruah, B.; Mathew, J. Long Wave Length Soliton Solutions of Navier Stokes Equation. Int. J. Differ. Equ. 2014, 9, 1–5. [Google Scholar]
- Zayed, E.M.E. A note on the modified simple equation method applied to Sharma-Tasso-Olver equation. Appl. Math. Comput. 2011, 218, 3962–3964. [Google Scholar] [CrossRef]
- Arshed, S.; Raza, N.; Rahman, R.U.; Butt, A.R.; Huang, W.H. Sensitive behavior and optical solitons of complex fractional Ginzburg Landau equation: A comparative paradigm. Results Phys. 2021, 28, 104533. [Google Scholar] [CrossRef]
- Shallal, M.A.; Ali, K.K.; Raslan, K.R.; Rezazadeh, H.; Bekir, A. Exact solutions of the conformable fractional EW and MEW equations by a new generalized expansion method. J. Ocean. Eng. Sci. 2019, 5, 223–229. [Google Scholar] [CrossRef]
- Yildirim, Y.; Mirzazadeh, M. Optical pulses with Kundu Mukherjee-Naskar model in fiber communication systems. Chin. J. Phys. 2020, 64, 183. [Google Scholar] [CrossRef]
- Arshed, S.; Rahman, R.U.; Raza, N.; Khan, A.K.; Inc, M. A variety of fractional soliton solutions for three important coupled models arising in mathematical physics. Int. J. Mod. Phys. B 2021, 36, 2250002. [Google Scholar] [CrossRef]
- El-Shiekh, R.M.; Gaballah, M. New analytical solitary and periodic wave solutions for generalized variable-coefficients modified KdV equation with external-force term presenting atmospheric blocking in oceans. J. Ocean. Eng. Sci. 2021, 7, 372–376. [Google Scholar] [CrossRef]
- Akbar, Y.; Afsar, H.; Al-Mubaddel, F.S.; Abu-Hamdeh, N.H.; Abusorrah, A.M. On the solitary wave solution of the viscosity capillarity van der Waals p-system along with Painleve analysis. Chaos Solitons Fractals 2021, 153, 111495. [Google Scholar] [CrossRef]
- Raza, N.; Hassan, Z.; Butt, A.R.; Rahman, R.U.; Abdel-Aty, A.H.; Mahmoud, M. New and more dual mode solitary wave solutions for the Kraenkel-Manna-Merle system incorporating fractal effects. Math. Methods Appl. Sci. 2022, 45, 2964–2983. [Google Scholar] [CrossRef]
- Zafar, A.; Raheel, M.; Bekir, A. Exploring the dark and singular soliton solutions of Biswas-Arshed model with full non-linear form. Optik 2020, 204, 164133. [Google Scholar] [CrossRef]
- Wang, D.; Sun, W.; Kong, C.; Zhang, H. New extended rational expansion method and exact solutions of Boussinesq equation and Jimbo-Miwa equations. Appl. Math. Comput. 2007, 189, 878–886. [Google Scholar] [CrossRef]
- Kumar, R.; Verma, R.S. Dynamics of some new solutions to the coupled DSW equations traveling horizontally on the seabed. J. Ocean. Sci. 2022. [Google Scholar] [CrossRef]
- Ling, L.; Zhao, L.C.; Guo, B. Darboux transformation and multi-dark soliton for N-component nonlinear Schrödinger equations. Nonlinearity 2015, 28, 3243. [Google Scholar] [CrossRef]
- Li, L.; Duan, C.; Yu, F. An improved Hirota bilinear method and new application for a nonlocal integrable complex modified Korteweg-de Vries (MKdV) equation. Phys. Lett. A 2019, 383, 1578–1582. [Google Scholar] [CrossRef]
- Cheng, W.; Biao, L.; Chen, Y. Construction of Soliton-Cnoidal Wave Interaction Solution for the (2+1)-Dimensional Breaking Soliton Equation. Commun. Theor. Phys. 2015, 63, 549–553. [Google Scholar] [CrossRef]
- Wakil, S.A.E.; Abulwafa, E.M.; Elhanbaly, A.; Abdou, M.A. The extended homogeneous balance method and its applications for a class of nonlinear evolution equations. Chaos Solitons Fractals 2007, 33, 1512–1522. [Google Scholar] [CrossRef]
- Ghafoor, A.; Haq, S. An efficient numerical scheme for the study of equal width equation. Results Phys. 2018, 9, 1411–1416. [Google Scholar] [CrossRef]
- Wazwa, A.M. The tanh and the sine–cosine methods for a reliable treatment of the modified equal width equation and its variants. Commun. Nonlinear Sci. Numer. 2006, 11, 148–160. [Google Scholar] [CrossRef]
- Dogan, A. Application of Galerkin’s method to equal width wave equation. Appl. Math. Comput. 2005, 160, 65–76. [Google Scholar] [CrossRef]
- Uddin, M. RBF-PS scheme for solving the equal width equation. Appl. Math. Comput. 2013, 222, 619–631. [Google Scholar] [CrossRef]
- Gardner, L.R.; Gardner, G.A. Solitary waves of the equal width wave equation. J. Comput. Phys. 1992, 101, 218–223. [Google Scholar] [CrossRef]
- Raslan, K.R.; Ali, K.K.; Shallal, M.A. The modified extended tanh method with the Riccati equation for solving the space-time fractional EW and MEW equations. Chaos Solitons Fractals 2017, 103, 404. [Google Scholar] [CrossRef]
- Shi, D.; Zhang, Y. Diversity of exact solutions to the conformable space-time fractional MEW equation. Appl. Math. Lett. 2020, 99, 105994. [Google Scholar] [CrossRef]
- Zafar, A.; Raheel, M.; Mirzazadeh, M.; Eslami, M. Different soliton solutions to the modified equal-width wave equation with Beta-time fractional derivative via two different methods. Rev. Mex. Fis. 2022, 68, 1. [Google Scholar] [CrossRef]
- Ali, U.; Ahmad, H.; Baili, J.; Botmart, T.; Aldahlan, M.A. Exact analytical wave solutions for space-time variable-order fractional modified equal width equation. Results Phys. 2022, 33, 105216. [Google Scholar] [CrossRef]
- Akram, G.; Sadaf, M.; Zainab, I. Observations of fractional effects of Beta-derivative and M-truncated derivative for space time fractional Phi-4 equation via two analytical techniques. Chaos Solitonsd Fractals 2022, 154, 111645. [Google Scholar] [CrossRef]
- Raza, N.; Jhangeer, A.; Rahman, R.U.; Butt, A.R.; Chu, Y.M. Sensitive visualization of the fractional Wazwaz-Benjamin-Bona-Mahony equation with fractional derivatives: A comparative analysis. Results Phys. 2021, 25, 104171. [Google Scholar] [CrossRef]
- Salahshour, S.; Ahmadian, A.; Abbasbandy, S.; Baleanu, D. M-fractional derivative under interval uncertainty: Theory, properties and applications. Chaos Solitons Fractals 2018, 117, 84–93. [Google Scholar] [CrossRef]
- Zhu, X.; Cheng, J.; Chen, Z.; Wu, G. New Solitary-Wave Solutions of the Van der Waals Normal Form for Granular Materials via New Auxiliary Equation Method. Mathematics 2022, 10, 2560. [Google Scholar] [CrossRef]
- Rezazadeh, H.; Korkmaz, A.; Eslami, M.; Mirhosseini-Alizamini, S.M. A large family of optical solutions to Kundu-Eckhaus model by a new auxiliary equation method. Opt. Quantum Electron. 2019, 51, 1–2. [Google Scholar] [CrossRef]
- Sousa, J.V.C.; Oliveira, E.C.D. A new truncated M-fractional derivative type unifying some fractional derivative type with classical properties. Int. J. Anal. Appl. 2018, 16, 83–96. [Google Scholar]














Publisher’s Note: MDPI stays neutral with regard to jurisdictional claims in published maps and institutional affiliations. |
© 2022 by the authors. Licensee MDPI, Basel, Switzerland. This article is an open access article distributed under the terms and conditions of the Creative Commons Attribution (CC BY) license (https://creativecommons.org/licenses/by/4.0/).
Share and Cite
Riaz, M.B.; Wojciechowski, A.; Oros, G.I.; Rahman, R.U. Soliton Solutions and Sensitive Analysis of Modified Equal-Width Equation Using Fractional Operators. Symmetry 2022, 14, 1731. https://doi.org/10.3390/sym14081731
Riaz MB, Wojciechowski A, Oros GI, Rahman RU. Soliton Solutions and Sensitive Analysis of Modified Equal-Width Equation Using Fractional Operators. Symmetry. 2022; 14(8):1731. https://doi.org/10.3390/sym14081731
Chicago/Turabian StyleRiaz, Muhammad Bilal, Adam Wojciechowski, Georgia Irina Oros, and Riaz Ur Rahman. 2022. "Soliton Solutions and Sensitive Analysis of Modified Equal-Width Equation Using Fractional Operators" Symmetry 14, no. 8: 1731. https://doi.org/10.3390/sym14081731
APA StyleRiaz, M. B., Wojciechowski, A., Oros, G. I., & Rahman, R. U. (2022). Soliton Solutions and Sensitive Analysis of Modified Equal-Width Equation Using Fractional Operators. Symmetry, 14(8), 1731. https://doi.org/10.3390/sym14081731

