A Normal Distributed Dwarf Mongoose Optimization Algorithm for Global Optimization and Data Clustering Applications
Abstract
:1. Introduction
- A novel hybrid method is proposed to tackle the weaknesses of the original search methods, and is applied to solve various complicated optimization problems.
- The proposed method is called GNDDMOA, which is based on using the original Generalized Normal Distribution Optimization (GND) and Dwarf Mongoose Optimization Algorithm (DMOA), followed by the Opposition-based Learning Mechanism (OBL).
- The proposed GNDDMOA method was tested to solve twenty-three benchmark mathematical problems. Moreover, a set of eight data clustering problems was used to validate the performance of the GNDDMOA.
2. Background and Algorithms
2.1. Generalized Normal Distribution Optimization (GND)
2.1.1. Inspiration
2.1.2. Local Search (Exploitation)
2.1.3. Global Search (Exploration)
2.1.4. The Updating Mechanism of GND
| Algorithm 1: Pseudo-code of the GND. |
|
2.2. Dwarf Mongoose Optimization Algorithm (DMOA)
2.2.1. Alpha Group
2.2.2. Scout Group
| Algorithm 2: Pseudo-code of the DMOA. |
|
2.3. Opposition-Based Learning (OBL) Mechanism
3. The Proposed Method (GNDDMOA)
Complexity of the Proposed GGNDDMOA
4. Experiments and Results
4.1. Experiments 1: Benchmark Functions Problems
4.1.1. Details of the Tested Benchmark Function Problems
4.1.2. Test Function Problems
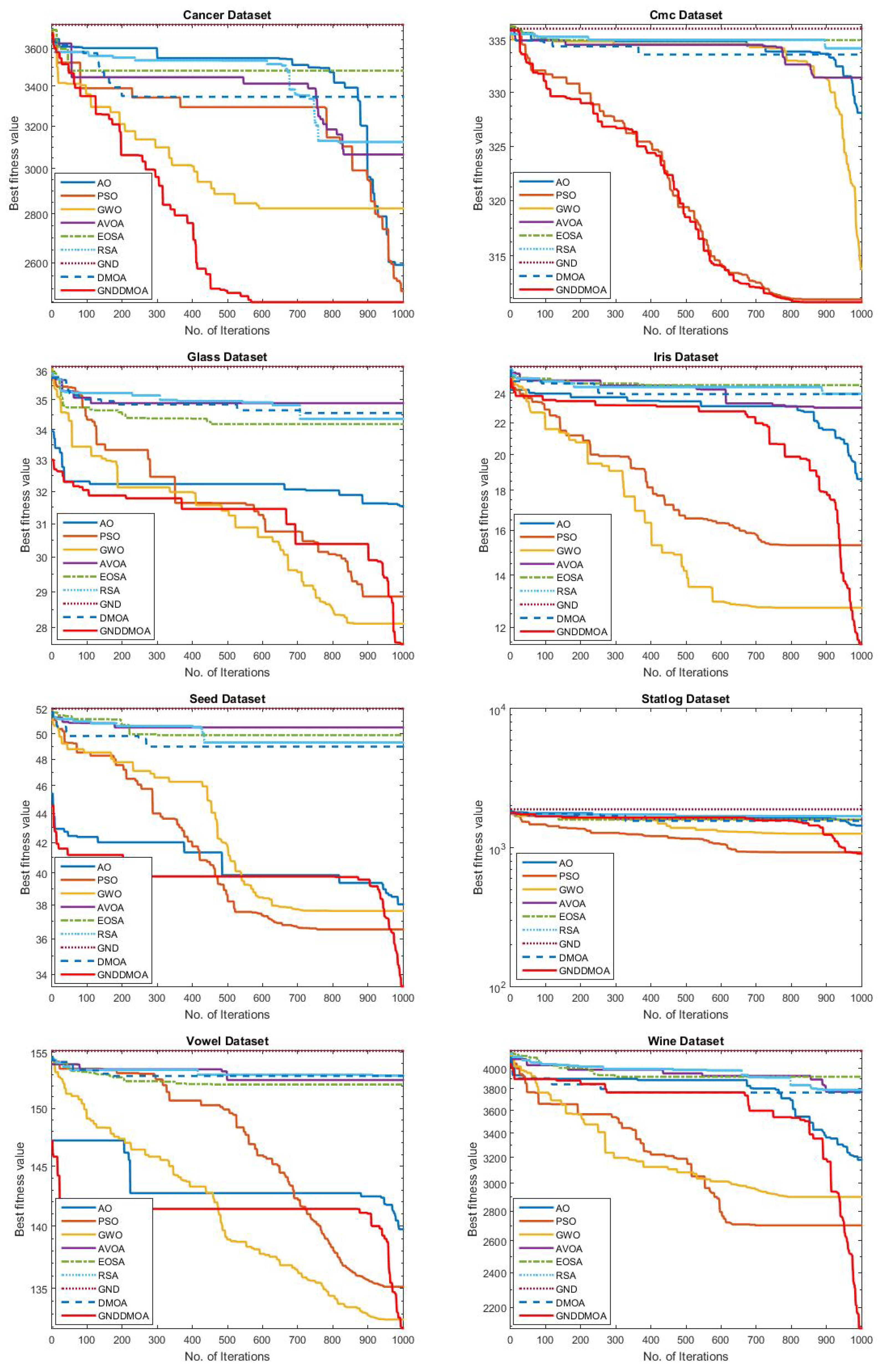
4.2. Experiments 2: Data Clustering Problems
Results and Discussion
5. Conclusions and Potential Future Work
Author Contributions
Funding
Institutional Review Board Statement
Informed Consent Statement
Data Availability Statement
Conflicts of Interest
References
- Fakhouri, H.N.; Hudaib, A.; Sleit, A. Multivector particle swarm optimization algorithm. Soft Comput. 2020, 24, 11695–11713. [Google Scholar] [CrossRef]
- Jouhari, H.; Lei, D.; Al-qaness, M.A.; Elaziz, M.A.; Damaševičius, R.; Korytkowski, M.; Ewees, A.A. Modified Harris Hawks optimizer for solving machine scheduling problems. Symmetry 2020, 12, 1460. [Google Scholar] [CrossRef]
- Abualigah, L.M.Q. Feature Selection and Enhanced Krill Herd Algorithm for Text Document Clustering; Springer: Berlin/Heidelberg, Germany, 2019. [Google Scholar]
- Abualigah, L.; Diabat, A.; Elaziz, M.A. Improved slime mould algorithm by opposition-based learning and Levy flight distribution for global optimization and advances in real-world engineering problems. J. Ambient. Intell. Humaniz. Comput. 2021, 1–40. [Google Scholar] [CrossRef]
- Abu Khurma, R.; Aljarah, I.; Sharieh, A.; Abd Elaziz, M.; Damaševičius, R.; Krilavičius, T. A review of the modification strategies of the nature inspired algorithms for feature selection problem. Mathematics 2022, 10, 464. [Google Scholar] [CrossRef]
- Hassan, M.H.; Kamel, S.; Abualigah, L.; Eid, A. Development and application of slime mould algorithm for optimal economic emission dispatch. Expert Syst. Appl. 2021, 182, 115205. [Google Scholar] [CrossRef]
- Wang, S.; Liu, Q.; Liu, Y.; Jia, H.; Abualigah, L.; Zheng, R.; Wu, D. A Hybrid SSA and SMA with Mutation Opposition-Based Learning for Constrained Engineering Problems. Comput. Intell. Neurosci. 2021, 2021, 6379469. [Google Scholar] [CrossRef]
- Attiya, I.; Abd Elaziz, M.; Abualigah, L.; Nguyen, T.N.; Abd El-Latif, A.A. An Improved Hybrid Swarm Intelligence for Scheduling IoT Application Tasks in the Cloud. IEEE Trans. Ind. Inform. 2022. [Google Scholar] [CrossRef]
- Wu, D.; Jia, H.; Abualigah, L.; Xing, Z.; Zheng, R.; Wang, H.; Altalhi, M. Enhance Teaching-Learning-Based Optimization for Tsallis-Entropy-Based Feature Selection Classification Approach. Processes 2022, 10, 360. [Google Scholar] [CrossRef]
- Damaševičius, R.; Maskeliūnas, R. Agent State Flipping Based Hybridization of Heuristic Optimization Algorithms: A Case of Bat Algorithm and Krill Herd Hybrid Algorithm. Algorithms 2021, 14, 358. [Google Scholar] [CrossRef]
- Kharrich, M.; Abualigah, L.; Kamel, S.; AbdEl-Sattar, H.; Tostado-Véliz, M. An Improved Arithmetic Optimization Algorithm for design of a microgrid with energy storage system: Case study of El Kharga Oasis, Egypt. J. Energy Storage 2022, 51, 104343. [Google Scholar] [CrossRef]
- Abualigah, L.; Almotairi, K.H.; Abd Elaziz, M.; Shehab, M.; Altalhi, M. Enhanced Flow Direction Arithmetic Optimization Algorithm for mathematical optimization problems with applications of data clustering. Eng. Anal. Bound. Elem. 2022, 138, 13–29. [Google Scholar] [CrossRef]
- Ezugwu, A.E.; Ikotun, A.M.; Oyelade, O.O.; Abualigah, L.; Agushaka, J.O.; Eke, C.I.; Akinyelu, A.A. A comprehensive survey of clustering algorithms: State-of-the-art machine learning applications, taxonomy, challenges, and future research prospects. Eng. Appl. Artif. Intell. 2022, 110, 104743. [Google Scholar] [CrossRef]
- Al-qaness, M.A.; Ewees, A.A.; Fan, H.; Abualigah, L.; Abd Elaziz, M. Boosted ANFIS model using augmented marine predator algorithm with mutation operators for wind power forecasting. Appl. Energy 2022, 314, 118851. [Google Scholar] [CrossRef]
- Mahajan, S.; Abualigah, L.; Pandit, A.K.; Altalhi, M. Hybrid Aquila optimizer with arithmetic optimization algorithm for global optimization tasks. Soft Comput. 2022, 26, 4863–4881. [Google Scholar] [CrossRef]
- Hussein, A.M.; Rashid, N.A.; Abdulah, R. Parallelisation of maximal patterns finding algorithm in biological sequences. In Proceedings of the 2016 3rd International Conference on Computer and Information Sciences (ICCOINS), Kuala Lumpur, Malaysia, 15–17 August 2016; pp. 227–232. [Google Scholar]
- Abbassi, A.; Ben Mehrez, R.; Bensalem, Y.; Abbassi, R.; Kchaou, M.; Jemli, M.; Abualigah, L.; Altalhi, M. Improved Arithmetic Optimization Algorithm for Parameters Extraction of Photovoltaic Solar Cell Single-Diode Model. Arab. J. Sci. Eng. 2022, 1–17. [Google Scholar] [CrossRef]
- De la Torre, R.; Corlu, C.G.; Faulin, J.; Onggo, B.S.; Juan, A.A. Simulation, optimization, and machine learning in sustainable transportation systems: Models and applications. Sustainability 2021, 13, 1551. [Google Scholar] [CrossRef]
- Hussein, A.M.; Abdullah, R.; AbdulRashid, N.; Ali, A.N.B. Protein multiple sequence alignment by basic flower pollination algorithm. In Proceedings of the 2017 8th International Conference on Information Technology (ICIT), Amman, Jordan, 17–18 May 2017; pp. 833–838. [Google Scholar]
- Nadimi-Shahraki, M.H.; Taghian, S.; Mirjalili, S.; Ewees, A.A.; Abualigah, L.; Abd Elaziz, M. MTV-MFO: Multi-Trial Vector-Based Moth-Flame Optimization Algorithm. Symmetry 2021, 13, 2388. [Google Scholar] [CrossRef]
- Fan, C.L. Evaluation of Classification for Project Features with Machine Learning Algorithms. Symmetry 2022, 14, 372. [Google Scholar] [CrossRef]
- Agushaka, J.O.; Ezugwu, A.E.; Abualigah, L. Dwarf mongoose optimization algorithm. Comput. Methods Appl. Mech. Eng. 2022, 391, 114570. [Google Scholar] [CrossRef]
- Zhang, Y.; Jin, Z.; Mirjalili, S. Generalized normal distribution optimization and its applications in parameter extraction of photovoltaic models. Energy Convers. Manag. 2020, 224, 113301. [Google Scholar] [CrossRef]
- Abualigah, L.; Diabat, A.; Mirjalili, S.; Abd Elaziz, M.; Gandomi, A.H. The arithmetic optimization algorithm. Comput. Methods Appl. Mech. Eng. 2021, 376, 113609. [Google Scholar] [CrossRef]
- Abualigah, L.; Yousri, D.; Abd Elaziz, M.; Ewees, A.A.; Al-qaness, M.A.; Gandomi, A.H. Aquila Optimizer: A novel meta-heuristic optimization Algorithm. Comput. Ind. Eng. 2021, 157, 107250. [Google Scholar] [CrossRef]
- He, S.; Wu, Q.H.; Saunders, J. Group search optimizer: An optimization algorithm inspired by animal searching behavior. IEEE Trans. Evol. Comput. 2009, 13, 973–990. [Google Scholar] [CrossRef]
- Abualigah, L.; Abd Elaziz, M.; Sumari, P.; Geem, Z.W.; Gandomi, A.H. Reptile Search Algorithm (RSA): A nature-inspired meta-heuristic optimizer. Expert Syst. Appl. 2022, 191, 116158. [Google Scholar] [CrossRef]
- Ahmadianfar, I.; Bozorg-Haddad, O.; Chu, X. Gradient-based optimizer: A new metaheuristic optimization algorithm. Inf. Sci. 2020, 540, 131–159. [Google Scholar] [CrossRef]
- Oyelade, O.N.; Ezugwu, A.E.S.; Mohamed, T.I.; Abualigah, L. Ebola Optimization Search Algorithm: A New Nature-Inspired Metaheuristic Optimization Algorithm. IEEE Access 2022, 10, 16150–16177. [Google Scholar] [CrossRef]
- Askarzadeh, A. Bird mating optimizer: An optimization algorithm inspired by bird mating strategies. Commun. Nonlinear Sci. Numer. Simul. 2014, 19, 1213–1228. [Google Scholar] [CrossRef]
- Hussein, A.M.; Abdullah, R.; AbdulRashid, N. Flower Pollination Algorithm With Profile Technique For Multiple Sequence Alignment. In Proceedings of the 2019 IEEE Jordan International Joint Conference on Electrical Engineering and Information Technology (JEEIT), Amman, Jordan, 9–11 April 2019; pp. 571–576. [Google Scholar]
- Wang, B.; Jin, X.; Cheng, B. Lion pride optimizer: An optimization algorithm inspired by lion pride behavior. Sci. China Inf. Sci. 2012, 55, 2369–2389. [Google Scholar] [CrossRef]
- Dehghani, M.; Montazeri, Z.; Givi, H.; Guerrero, J.M.; Dhiman, G. Darts game optimizer: A new optimization technique based on darts game. Int. J. Intell. Eng. Syst 2020, 13, 286–294. [Google Scholar] [CrossRef]
- MiarNaeimi, F.; Azizyan, G.; Rashki, M. Multi-level cross entropy optimizer (MCEO): An evolutionary optimization algorithm for engineering problems. Eng. Comput. 2018, 34, 719–739. [Google Scholar] [CrossRef]
- Khodadadi, N.; Azizi, M.; Talatahari, S.; Sareh, P. Multi-Objective Crystal Structure Algorithm (MOCryStAl): Introduction and Performance Evaluation. IEEE Access 2021, 9, 117795–117812. [Google Scholar] [CrossRef]
- Kaveh, A.; Talatahari, S.; Khodadadi, N. Stochastic paint optimizer: Theory and application in civil engineering. Eng. Comput. 2020, 1–32. [Google Scholar] [CrossRef]
- Pan, J.S.; Lv, J.X.; Yan, L.J.; Weng, S.W.; Chu, S.C.; Xue, J.K. Golden eagle optimizer with double learning strategies for 3D path planning of UAV in power inspection. Math. Comput. Simul. 2022, 193, 509–532. [Google Scholar] [CrossRef]
- Zamani, H.; Nadimi-Shahraki, M.H.; Gandomi, A.H. QANA: Quantum-based avian navigation optimizer algorithm. Eng. Appl. Artif. Intell. 2021, 104, 104314. [Google Scholar] [CrossRef]
- Zamani, H.; Nadimi-Shahraki, M.H.; Gandomi, A.H. CCSA: Conscious neighborhood-based crow search algorithm for solving global optimization problems. Appl. Soft Comput. 2019, 85, 105583. [Google Scholar] [CrossRef]
- Nadimi-Shahraki, M.H.; Taghian, S.; Mirjalili, S. An improved grey wolf optimizer for solving engineering problems. Expert Syst. Appl. 2021, 166, 113917. [Google Scholar] [CrossRef]
- Abdullah, J.M.; Ahmed, T. Fitness dependent optimizer: Inspired by the bee swarming reproductive process. IEEE Access 2019, 7, 43473–43486. [Google Scholar] [CrossRef]
- Zhao, W.; Wang, L.; Mirjalili, S. Artificial hummingbird algorithm: A new bio-inspired optimizer with its engineering applications. Comput. Methods Appl. Mech. Eng. 2022, 388, 114194. [Google Scholar] [CrossRef]
- Dehghani, M.; Montazeri, Z.; Malik, O.P. DGO: Dice game optimizer. Gazi Univ. J. Sci. 2019, 32, 871–882. [Google Scholar] [CrossRef] [Green Version]
- Askari, Q.; Younas, I.; Saeed, M. Political Optimizer: A novel socio-inspired meta-heuristic for global optimization. Knowl.-Based Syst. 2020, 195, 105709. [Google Scholar] [CrossRef]
- Azizyan, G.; Miarnaeimi, F.; Rashki, M.; Shabakhty, N. Flying Squirrel Optimizer (FSO): A novel SI-based optimization algorithm for engineering problems. Iran. J. Optim. 2019, 11, 177–205. [Google Scholar]
- Dehghani, M.; Hubálovskỳ, Š.; Trojovskỳ, P. Cat and Mouse Based Optimizer: A New Nature-Inspired Optimization Algorithm. Sensors 2021, 21, 5214. [Google Scholar] [CrossRef] [PubMed]
- Zamani, H.; Nadimi-Shahraki, M.H.; Gandomi, A.H. Starling murmuration optimizer: A novel bio-inspired algorithm for global and engineering optimization. Comput. Methods Appl. Mech. Eng. 2022, 392, 114616. [Google Scholar] [CrossRef]
- Jiang, Y.; Wu, Q.; Zhu, S.; Zhang, L. Orca predation algorithm: A novel bio-inspired algorithm for global optimization problems. Expert Syst. Appl. 2021, 188, 116026. [Google Scholar] [CrossRef]
- Sharma, B.; Hashmi, A.; Gupta, C.; Khalaf, O.I.; Abdulsahib, G.M.; Itani, M.M. Hybrid Sparrow Clustered (HSC) Algorithm for Top-N Recommendation System. Symmetry 2022, 14, 793. [Google Scholar] [CrossRef]
- Alotaibi, Y. A New Meta-Heuristics Data Clustering Algorithm Based on Tabu Search and Adaptive Search Memory. Symmetry 2022, 14, 623. [Google Scholar] [CrossRef]
- Ahmadi, R.; Ekbatanifard, G.; Bayat, P. A Modified Grey Wolf Optimizer Based Data Clustering Algorithm. Appl. Artif. Intell. 2021, 35, 63–79. [Google Scholar] [CrossRef]
- Esmin, A.A.; Coelho, R.A.; Matwin, S. A review on particle swarm optimization algorithm and its variants to clustering high-dimensional data. Artif. Intell. Rev. 2015, 44, 23–45. [Google Scholar] [CrossRef]
- Vats, S.; Sagar, B.B.; Singh, K.; Ahmadian, A.; Pansera, B.A. Performance evaluation of an independent time optimized infrastructure for big data analytics that maintains symmetry. Symmetry 2020, 12, 1274. [Google Scholar] [CrossRef]
- Abualigah, L. Group search optimizer: A nature-inspired meta-heuristic optimization algorithm with its results, variants, and applications. Neural Comput. Appl. 2021, 33, 2949–2972. [Google Scholar] [CrossRef]
- Abualigah, L.; Gandomi, A.H.; Elaziz, M.A.; Hussien, A.G.; Khasawneh, A.M.; Alshinwan, M.; Houssein, E.H. Nature-inspired optimization algorithms for text document clustering—A comprehensive analysis. Algorithms 2020, 13, 345. [Google Scholar] [CrossRef]
- Jung, Y.; Park, H.; Du, D.Z.; Drake, B.L. A decision criterion for the optimal number of clusters in hierarchical clustering. J. Glob. Optim. 2003, 25, 91–111. [Google Scholar] [CrossRef]
- Huang, D.; Wang, C.D.; Lai, J.H.; Kwoh, C.K. Toward multidiversified ensemble clustering of high-dimensional data: From subspaces to metrics and beyond. IEEE Trans. Cybern. 2021, 1–14. [Google Scholar] [CrossRef] [PubMed]
- Huang, D.; Wang, C.D.; Peng, H.; Lai, J.; Kwoh, C.K. Enhanced ensemble clustering via fast propagation of cluster-wise similarities. IEEE Trans. Syst. Man, Cybern. Syst. 2018, 51, 508–520. [Google Scholar] [CrossRef]
- Steinbach, M.; Ertöz, L.; Kumar, V. The challenges of clustering high dimensional data. In New Directions in Statistical Physics; Springer: Berlin/Heidelberg, Germany, 2004; pp. 273–309. [Google Scholar]
- Steinley, D. K-means clustering: A half-century synthesis. Br. J. Math. Stat. Psychol. 2006, 59, 1–34. [Google Scholar] [CrossRef] [Green Version]
- Guo, W.; Xu, P.; Dai, F.; Hou, Z. Harris hawks optimization algorithm based on elite fractional mutation for data clustering. Appl. Intell. 2022, 1–27. [Google Scholar] [CrossRef]
- Almotairi, K.H.; Abualigah, L. Hybrid Reptile Search Algorithm and Remora Optimization Algorithm for Optimization Tasks and Data Clustering. Symmetry 2022, 14, 458. [Google Scholar] [CrossRef]
- Abualigah, L.; Gandomi, A.H.; Elaziz, M.A.; Hamad, H.A.; Omari, M.; Alshinwan, M.; Khasawneh, A.M. Advances in meta-heuristic optimization algorithms in big data text clustering. Electronics 2021, 10, 101. [Google Scholar] [CrossRef]
- Singh, T.; Saxena, N.; Khurana, M.; Singh, D.; Abdalla, M.; Alshazly, H. Data clustering using moth-flame optimization algorithm. Sensors 2021, 21, 4086. [Google Scholar] [CrossRef]
- Wang, B.; Wang, Y.; Hou, J.; Li, Y.; Guo, Y. Open-Set source camera identification based on envelope of data clustering optimization (EDCO). Comput. Secur. 2022, 113, 102571. [Google Scholar] [CrossRef]
- Singh, T. A novel data clustering approach based on whale optimization algorithm. Expert Syst. 2021, 38, e12657. [Google Scholar] [CrossRef]
- Babu, S.S.; Jayasudha, K. A Simplex Method-Based Bacterial Colony Optimization for Data Clustering. In Innovative Data Communication Technologies and Application; Springer: Berlin/Heidelberg, Germany, 2022; pp. 987–995. [Google Scholar]
- Huang, S.; Kang, Z.; Xu, Z.; Liu, Q. Robust deep k-means: An effective and simple method for data clustering. Pattern Recognit. 2021, 117, 107996. [Google Scholar] [CrossRef]
- Deeb, H.; Sarangi, A.; Mishra, D.; Sarangi, S.K. Improved Black Hole optimization algorithm for data clustering. J. King Saud. Univ. Comput. Inf. Sci. 2020; in press. [Google Scholar] [CrossRef]
- Tizhoosh, H.R. Opposition-based learning: A new scheme for machine intelligence. In Proceedings of the International Conference on Computational Intelligence for Modelling, Control and Automation and International Conference on Intelligent Agents, Web Technologies and Internet Commerce (CIMCA-IAWTIC’06), Vienna, Austria, 28–30 November 2005; Volume 1, pp. 695–701. [Google Scholar]
- Mirjalili, S. SCA: A sine cosine algorithm for solving optimization problems. Knowl.-Based Syst. 2016, 96, 120–133. [Google Scholar] [CrossRef]
- Shi, Y.; Eberhart, R. A modified particle swarm optimizer. In Proceedings of the 1998 IEEE International Conference on Evolutionary Computation Proceedings, IEEE World Congress on Computational Intelligence (Cat. No. 98TH8360), Anchorage, AK, USA, 4–9 May 1998; pp. 69–73. [Google Scholar]
- Mirjalili, S. Dragonfly algorithm: A new meta-heuristic optimization technique for solving single-objective, discrete, and multi-objective problems. Neural Comput. Appl. 2016, 27, 1053–1073. [Google Scholar] [CrossRef]
- Mirjalili, S.; Lewis, A. The whale optimization algorithm. Adv. Eng. Softw. 2016, 95, 51–67. [Google Scholar] [CrossRef]
- Mirjalili, S.; Mirjalili, S.M.; Lewis, A. Grey wolf optimizer. Adv. Eng. Softw. 2014, 69, 46–61. [Google Scholar] [CrossRef] [Green Version]
- Jäntschi, L. A test detecting the outliers for continuous distributions based on the cumulative distribution function of the data being tested. Symmetry 2019, 11, 835. [Google Scholar] [CrossRef] [Green Version]
- Abdollahzadeh, B.; Soleimanian Gharehchopogh, F.; Mirjalili, S. Artificial gorilla troops optimizer: A new nature-inspired metaheuristic algorithm for global optimization problems. Int. J. Intell. Syst. 2021, 36, 5887–5958. [Google Scholar] [CrossRef]










| No. | Algorithm | Parameter | Value |
|---|---|---|---|
| 1 | AO | 0.1 | |
| 0.1 | |||
| 2 | SCA | 0.05 | |
| 3 | PSO | Topology | Fully connected |
| Cognitive and social constant | (C1, C2) 2, 2 | ||
| Inertia weight | Linear reduction from 0.9 to 0.1 | ||
| Velocity limit | 10% of dimension range | ||
| 4 | GND | 5 | |
| 5 | ESOA | ≥0.5 | |
| 6 | DA | w | 0.2–0.9 |
| s, a, and c | 0.1 | ||
| f and e | 1 | ||
| 7 | RSA | 0.1 | |
| 0.1 | |||
| 8 | DMOA | ||
| 9 | WOA | Decreased from 2 to 0 | |
| b | 2 | ||
| 10 | GWO | Convergence parameter (a) | Linear reduction from 2 to 0 |
| 11 | AOA | 5 | |
| 0.5 |
| Function | Description | Dimensions | Range | |
|---|---|---|---|---|
| F1 | 30 | [−100,100] | 0 | |
| F2 | 30 | [−10,10] | 0 | |
| F3 | 30 | [−100,100] | 0 | |
| F4 | 30 | [−100,100] | 0 | |
| F5 | 30 | [−30,30] | 0 | |
| F6 | 30 | [−100,100] | 0 | |
| F7 | 30 | [−128,128] | 0 | |
| F8 | 30 | [−500,500] | −418.9829 × n | |
| F9 | 30 | [−5.12,5.12] | 0 | |
| F10 | 10, 50, 100, 500 | [−32,32] | 0 | |
| F11 | 10, 50, 100, 500 | [−600,600] | 0 | |
| F12 | , where | 10, 50, 100, 500 | [−50,50] | 0 |
| F13 | 10, 50, 100, 500 | [−50,50] | 0 | |
| F14 | 2 | [−65,65] | 1 | |
| F15 | 4 | [−5,5] | 0.00030 | |
| F16 | 2 | [−5,5] | −1.0316 | |
| F17 | f(x) = | 2 | [−5,5] | 0.398 |
| F18 | 2 | [−2,2] | 3 | |
| F19 | 3 | [−1,2] | −3.86 | |
| F20 | 6 | [0,1] | −0.32 | |
| F21 | 4 | [0,1] | −10.1532 | |
| F22 | 4 | [0,1] | −10.4028 | |
| F23 | 4 | [0,1] | −10.5363 |
| Fun | Measure | Number of Solutions | |||||||||
|---|---|---|---|---|---|---|---|---|---|---|---|
| 5 | 10 | 15 | 20 | 25 | 30 | 35 | 40 | 45 | 50 | ||
| F1 | Best | 1.96642E-139 | 6.80122E-179 | 1.58485E-187 | 1.90720E-193 | 5.14130E-206 | 1.55611E-245 | 1.26695E-234 | 8.45631E-249 | 1.76900E-251 | 1.42708E-260 |
| Average | 7.49146E-166 | 5.34097E-199 | 4.43195E-218 | 8.93255E-219 | 1.18897E-240 | 6.62152E-253 | 2.43931E-269 | 1.15685E-278 | 4.27095E-269 | 1.25948E-269 | |
| Worst | 3.93284E-139 | 0.00000E+00 | 0.00000E+00 | 0.00000E+00 | 0.00000E+00 | 0.00000E+00 | 0.00000E+00 | 0.00000E+00 | 0.00000E+00 | 0.00000E+00 | |
| STD | 3.55918E-01 | 0.00000E+00 | 0.00000E+00 | 0.00000E+00 | 0.00000E+00 | 0.00000E+00 | 0.00000E+00 | 0.00000E+00 | 0.00000E+00 | 0.00000E+00 | |
| p-value | 0.00000E+00 | 1.00000E+00 | 1.00000E+00 | 1.00000E+00 | 1.00000E+00 | 1.00000E+00 | 1.00000E+00 | 1.00000E+00 | 1.00000E+00 | NaN | |
| h | 0.00000E+00 | 0.00000E+00 | 0.00000E+00 | 1.00000E+00 | 1.00000E+00 | 1.00000E+00 | 1.00000E+00 | 1.00000E+00 | 1.00000E+00 | NaN | |
| Rank | 10 | 9 | 8 | 7 | 6 | 5 | 3 | 1 | 4 | 2 | |
| F2 | Best | 9.93668E-67 | 1.58269E-82 | 9.01601E-101 | 1.01774E-95 | 4.35346E-115 | 3.54669E-126 | 2.19322E-116 | 1.16292E-119 | 1.05639E-131 | 7.56831E-138 |
| Average | 1.56582E-84 | 1.70797E-104 | 8.69897E-109 | 2.03074E-126 | 6.10419E-126 | 8.29742E-135 | 5.51146E-130 | 3.51406E-140 | 7.39072E-140 | 1.42257E-151 | |
| Worst | 1.98734E-66 | 3.16538E-82 | 1.80320E-100 | 2.03547E-95 | 8.70557E-115 | 6.02213E-126 | 4.38642E-116 | 2.32272E-119 | 1.86924E-131 | 8.70103E-138 | |
| STD | 3.55918E-01 | 3.55918E-01 | 3.55918E-01 | 3.55918E-01 | 3.55849E-01 | 2.83440E-01 | 3.55915E-01 | 3.55316E-01 | 3.01505E-01 | 1.00000E+00 | |
| p-value | 0.00000E+00 | 0.00000E+00 | 0.00000E+00 | 0.00000E+00 | 0.00000E+00 | 0.00000E+00 | 0.00000E+00 | 0.00000E+00 | 0.00000E+00 | NaN | |
| h | 0.00000E+00 | 0.00000E+00 | 0.00000E+00 | 0.00000E+00 | 0.00000E+00 | 0.00000E+00 | 0.00000E+00 | 0.00000E+00 | 0.00000E+00 | NaN | |
| Rank | 10 | 9 | 8 | 6 | 7 | 4 | 5 | 2 | 3 | 1 | |
| F3 | Best | 4.58629E-143 | 4.55285E-175 | 4.94937E-200 | 2.94241E-196 | 1.79116E-221 | 1.05763E-215 | 3.41754E-208 | 1.27704E-227 | 7.93135E-226 | 6.09709E-249 |
| Average | 1.14659E-143 | 1.13822E-175 | 1.37181E-200 | 7.36393E-197 | 4.47790E-222 | 2.64407E-216 | 8.54386E-209 | 3.19261E-228 | 1.98284E-226 | 1.52427E-249 | |
| Worst | 3.86318E-164 | 2.04703E-191 | 7.23484E-203 | 5.80950E-228 | 1.48708E-249 | 1.76410E-256 | 9.27567E-268 | 1.38798E-284 | 4.57557E-284 | 1.40038E-276 | |
| STD | 2.29314E-143 | 0.00000E+00 | 0.00000E+00 | 0.00000E+00 | 0.00000E+00 | 0.00000E+00 | 0.00000E+00 | 0.00000E+00 | 0.00000E+00 | 0.00000E+00 | |
| p-value | 3.55910E-01 | 0.00000E+00 | 0.00000E+00 | 0.00000E+00 | 0.00000E+00 | 0.00000E+00 | 0.00000E+00 | 0.00000E+00 | 0.00000E+00 | NaN | |
| h | 0.00000E+00 | 1.00000E+00 | 1.00000E+00 | 1.00000E+00 | 1.00000E+00 | 1.00000E+00 | 1.00000E+00 | 1.00000E+00 | 1.00000E+00 | NaN | |
| Rank | 10 | 9 | 7 | 8 | 4 | 5 | 6 | 2 | 3 | 1 | |
| F4 | Best | 9.20923E-75 | 3.81391E-88 | 5.41710E-104 | 7.53771E-100 | 2.64420E-113 | 4.07453E-111 | 6.07146E-109 | 3.55423E-118 | 2.13585E-115 | 2.02201E-129 |
| Average | 9.23796E-82 | 2.19343E-96 | 1.12306E-104 | 1.69127E-114 | 1.45026E-126 | 2.33274E-131 | 5.79408E-137 | 3.91305E-142 | 9.24209E-147 | 1.97404E-142 | |
| Worst | 1.06539E-74 | 7.62782E-88 | 5.76720E-104 | 1.50754E-99 | 5.28838E-113 | 8.14905E-111 | 1.21429E-108 | 7.10846E-118 | 4.27169E-115 | 4.04402E-129 | |
| STD | 1.34578E-01 | 3.55917E-01 | 1.09369E-01 | 3.55917E-01 | 3.55917E-01 | 3.55918E-01 | 3.55918E-01 | 3.55918E-01 | 3.55918E-01 | 1.00000E+00 | |
| p-value | 0.00000E+00 | 0.00000E+00 | 0.00000E+00 | 0.00000E+00 | 0.00000E+00 | 0.00000E+00 | 0.00000E+00 | 0.00000E+00 | 0.00000E+00 | NaN | |
| h | 0.00000E+00 | 0.00000E+00 | 0.00000E+00 | 0.00000E+00 | 0.00000E+00 | 0.00000E+00 | 0.00000E+00 | 0.00000E+00 | 0.00000E+00 | NaN | |
| Rank | 10 | 9 | 8 | 7 | 6 | 5 | 4 | 3 | 1 | 2 | |
| F5 | Best | 4.02979E-01 | 1.16681E+00 | 2.29192E-01 | 2.40147E-02 | 1.27552E-01 | 1.61407E-02 | 1.27744E-03 | 3.46947E-03 | 1.11423E-02 | 6.53477E-03 |
| Average | 2.21845E-02 | 8.11654E-04 | 3.70412E-03 | 1.05013E-03 | 1.27427E-04 | 1.09878E-04 | 3.37243E-05 | 9.16706E-04 | 1.57951E-03 | 8.41616E-04 | |
| Worst | 3.50681E-01 | 9.83219E-01 | 3.12304E-01 | 4.00235E-02 | 1.76549E-01 | 2.09571E-02 | 2.39817E-03 | 2.07350E-03 | 1.33852E-02 | 5.10838E-03 | |
| STD | 6.44811E-02 | 5.62746E-02 | 2.03838E-01 | 4.19535E-01 | 2.19636E-01 | 4.07410E-01 | 1.11725E-01 | 3.08701E-01 | 5.43875E-01 | 1.00000E+00 | |
| p-value | 0.00000E+00 | 0.00000E+00 | 0.00000E+00 | 0.00000E+00 | 0.00000E+00 | 0.00000E+00 | 0.00000E+00 | 0.00000E+00 | 0.00000E+00 | NaN | |
| h | 0.00000E+00 | 1.00000E+00 | 0.00000E+00 | 0.00000E+00 | 0.00000E+00 | 0.00000E+00 | 0.00000E+00 | 0.00000E+00 | 0.00000E+00 | NaN | |
| Rank | 10 | 4 | 9 | 7 | 3 | 2 | 1 | 6 | 8 | 5 | |
| F6 | Best | 9.34392E-03 | 3.04139E-03 | 8.42925E-05 | 6.85189E-05 | 2.70471E-03 | 1.91189E-04 | 1.48673E-04 | 3.10145E-04 | 5.28543E-06 | 8.18907E-05 |
| Average | 9.33127E-04 | 9.08173E-05 | 1.85031E-05 | 2.94020E-06 | 1.85377E-05 | 6.76566E-05 | 4.06236E-05 | 5.34303E-06 | 1.11750E-07 | 3.89272E-06 | |
| Worst | 1.52772E-02 | 2.26981E-03 | 9.33315E-05 | 5.82931E-05 | 4.91653E-03 | 1.38281E-04 | 1.71999E-04 | 4.43030E-04 | 6.40626E-06 | 1.05383E-04 | |
| STD | 2.70891E-01 | 4.03955E-02 | 9.73885E-01 | 8.31629E-01 | 3.27138E-01 | 2.55365E-01 | 5.32473E-01 | 3.54824E-01 | 1.96931E-01 | 1.00000E+00 | |
| p-value | 0.00000E+00 | 1.00000E+00 | 0.00000E+00 | 0.00000E+00 | 0.00000E+00 | 0.00000E+00 | 0.00000E+00 | 0.00000E+00 | 0.00000E+00 | NaN | |
| h | 0.00000E+00 | 0.00000E+00 | 0.00000E+00 | 0.00000E+00 | 0.00000E+00 | 0.00000E+00 | 0.00000E+00 | 0.00000E+00 | 0.00000E+00 | NaN | |
| Rank | 10 | 9 | 5 | 2 | 6 | 8 | 7 | 4 | 1 | 3 | |
| F7 | Best | 3.47280E-04 | 9.90233E-04 | 4.35350E-04 | 5.48256E-04 | 2.82678E-04 | 1.83194E-04 | 1.25068E-04 | 6.99226E-05 | 5.04918E-04 | 2.72650E-04 |
| Average | 4.99788E-05 | 3.70056E-04 | 1.40243E-04 | 2.33139E-04 | 1.84139E-05 | 9.93907E-06 | 3.66172E-06 | 1.83871E-05 | 3.68446E-05 | 2.03631E-05 | |
| Worst | 2.83772E-04 | 5.32924E-04 | 2.76696E-04 | 3.65341E-04 | 3.98101E-04 | 2.90931E-04 | 1.88798E-04 | 5.08652E-05 | 5.03998E-04 | 3.01183E-04 | |
| STD | 7.30683E-01 | 5.74895E-02 | 4.56564E-01 | 2.88549E-01 | 9.69256E-01 | 6.84102E-01 | 4.38122E-01 | 2.32644E-01 | 4.58955E-01 | 1.00000E+00 | |
| p-value | 0.00000E+00 | 0.00000E+00 | 0.00000E+00 | 0.00000E+00 | 0.00000E+00 | 0.00000E+00 | 0.00000E+00 | 0.00000E+00 | 0.00000E+00 | NaN | |
| h | 1.00000E+00 | 0.00000E+00 | 0.00000E+00 | 0.00000E+00 | 0.00000E+00 | 0.00000E+00 | 0.00000E+00 | 0.00000E+00 | 0.00000E+00 | NaN | |
| Rank | 7 | 10 | 8 | 9 | 4 | 2 | 1 | 3 | 6 | 5 | |
| F8 | Best | −3.33753E+03 | −4.17765E+03 | −4.17624E+03 | −4.18778E+03 | −4.18330E+03 | −4.18900E+03 | −4.18932E+03 | −4.18933E+03 | −4.18627E+03 | −4.18574E+03 |
| Average | −4.18572E+03 | −4.18977E+03 | −4.18571E+03 | −4.18937E+03 | −4.18957E+03 | −4.18975E+03 | −4.18975E+03 | −4.18981E+03 | −4.18946E+03 | −4.18959E+03 | |
| Worst | 1.04094E+03 | 1.41633E+01 | 9.37572E+00 | 1.98355E+00 | 6.22921E+00 | 5.57735E-01 | 3.06828E-01 | 4.90764E-01 | 3.70456E+00 | 6.78176E+00 | |
| STD | 1.54297E-01 | 3.42727E-01 | 1.51816E-01 | 5.84733E-01 | 6.15420E-01 | 3.74269E-01 | 3.32571E-01 | 3.31794E-01 | 8.94952E-01 | 1.00000E+00 | |
| p-value | 0.00000E+00 | 0.00000E+00 | 0.00000E+00 | 0.00000E+00 | 0.00000E+00 | 0.00000E+00 | 0.00000E+00 | 0.00000E+00 | 0.00000E+00 | NaN | |
| h | 0.00000E+00 | 0.00000E+00 | 0.00000E+00 | 0.00000E+00 | 0.00000E+00 | 0.00000E+00 | 0.00000E+00 | 0.00000E+00 | 0.00000E+00 | NaN | |
| Rank | 9 | 2 | 10 | 8 | 6 | 4 | 3 | 1 | 7 | 5 | |
| F9 | Best | 0.00000E+00 | 0.00000E+00 | 0.00000E+00 | 0.00000E+00 | 0.00000E+00 | 0.00000E+00 | 0.00000E+00 | 0.00000E+00 | 0.00000E+00 | 0.00000E+00 |
| Average | 0.00000E+00 | 0.00000E+00 | 0.00000E+00 | 0.00000E+00 | 0.00000E+00 | 0.00000E+00 | 0.00000E+00 | 0.00000E+00 | 0.00000E+00 | 0.00000E+00 | |
| Worst | 0.00000E+00 | 0.00000E+00 | 0.00000E+00 | 0.00000E+00 | 0.00000E+00 | 0.00000E+00 | 0.00000E+00 | 0.00000E+00 | 0.00000E+00 | 0.00000E+00 | |
| STD | 0.00000E+00 | 0.00000E+00 | 0.00000E+00 | 0.00000E+00 | 0.00000E+00 | 0.00000E+00 | 0.00000E+00 | 0.00000E+00 | 0.00000E+00 | 0.00000E+00 | |
| p-value | NaN | NaN | NaN | NaN | NaN | NaN | NaN | NaN | NaN | NaN | |
| h | NaN | NaN | NaN | NaN | NaN | NaN | NaN | NaN | NaN | NaN | |
| Rank | 1 | 1 | 1 | 1 | 1 | 1 | 1 | 1 | 1 | 1 | |
| F10 | Best | 8.88178E-16 | 8.88178E-16 | 8.88178E-16 | 8.88178E-16 | 8.88178E-16 | 8.88178E-16 | 8.88178E-16 | 8.88178E-16 | 8.88178E-16 | 8.88178E-16 |
| Average | 8.88178E-16 | 8.88178E-16 | 8.88178E-16 | 8.88178E-16 | 8.88178E-16 | 8.88178E-16 | 8.88178E-16 | 8.88178E-16 | 8.88178E-16 | 8.88178E-16 | |
| Worst | 8.88178E-16 | 8.88178E-16 | 8.88178E-16 | 8.88178E-16 | 8.88178E-16 | 8.88178E-16 | 8.88178E-16 | 8.88178E-16 | 8.88178E-16 | 8.88178E-16 | |
| STD | 0.00000E+00 | 0.00000E+00 | 0.00000E+00 | 0.00000E+00 | 0.00000E+00 | 0.00000E+00 | 0.00000E+00 | 0.00000E+00 | 0.00000E+00 | 0.00000E+00 | |
| p-value | NaN | NaN | NaN | NaN | NaN | NaN | NaN | NaN | NaN | NaN | |
| h | NaN | NaN | NaN | NaN | NaN | NaN | NaN | NaN | NaN | NaN | |
| Rank | 1 | 1 | 1 | 1 | 1 | 1 | 1 | 1 | 1 | 1 | |
| F11 | Best | 0.00000E+00 | 0.00000E+00 | 0.00000E+00 | 0.00000E+00 | 0.00000E+00 | 0.00000E+00 | 0.00000E+00 | 0.00000E+00 | 0.00000E+00 | 0.00000E+00 |
| Average | 0.00000E+00 | 0.00000E+00 | 0.00000E+00 | 0.00000E+00 | 0.00000E+00 | 0.00000E+00 | 0.00000E+00 | 0.00000E+00 | 0.00000E+00 | 0.00000E+00 | |
| Worst | 0.00000E+00 | 0.00000E+00 | 0.00000E+00 | 0.00000E+00 | 0.00000E+00 | 0.00000E+00 | 0.00000E+00 | 0.00000E+00 | 0.00000E+00 | 0.00000E+00 | |
| STD | 0.00000E+00 | 0.00000E+00 | 0.00000E+00 | 0.00000E+00 | 0.00000E+00 | 0.00000E+00 | 0.00000E+00 | 0.00000E+00 | 0.00000E+00 | 0.00000E+00 | |
| p-value | NaN | NaN | NaN | NaN | NaN | NaN | NaN | NaN | NaN | NaN | |
| h | NaN | NaN | NaN | NaN | NaN | NaN | NaN | NaN | NaN | NaN | |
| Rank | 1 | 1 | 1 | 1 | 1 | 1 | 1 | 1 | 1 | 1 | |
| F12 | Best | 1.45873E-03 | 5.91449E-04 | 3.29651E-04 | 2.27011E-04 | 5.48360E-05 | 3.51156E-05 | 3.17201E-04 | 2.77007E-05 | 6.51837E-05 | 6.89155E-05 |
| Average | 1.76914E-04 | 2.73523E-05 | 2.15711E-06 | 8.30106E-07 | 3.27842E-07 | 5.16702E-06 | 9.32996E-07 | 9.69316E-06 | 1.65680E-07 | 3.71279E-08 | |
| Worst | 1.70138E-03 | 1.07266E-03 | 3.69180E-04 | 3.06580E-04 | 1.03963E-04 | 2.84110E-05 | 4.39644E-04 | 3.16003E-05 | 7.06677E-05 | 1.26209E-04 | |
| STD | 1.54378E-01 | 3.70612E-01 | 2.29813E-01 | 3.77061E-01 | 8.68934E-01 | 6.20017E-01 | 3.19321E-01 | 5.49738E-01 | 9.60524E-01 | 1.00000E+00 | |
| p-value | 0.00000E+00 | 0.00000E+00 | 0.00000E+00 | 0.00000E+00 | 0.00000E+00 | 0.00000E+00 | 0.00000E+00 | 0.00000E+00 | 0.00000E+00 | NaN | |
| h | 0.00000E+00 | 0.00000E+00 | 1.00000E+00 | 0.00000E+00 | 0.00000E+00 | 0.00000E+00 | 0.00000E+00 | 1.00000E+00 | 0.00000E+00 | NaN | |
| Rank | 10 | 9 | 6 | 4 | 3 | 7 | 5 | 8 | 2 | 1 | |
| F13 | Best | 5.53361E-03 | 2.39400E-03 | 2.11151E-04 | 3.13435E-04 | 6.90242E-04 | 2.63506E-04 | 4.24278E-04 | 1.77736E-04 | 1.50778E-04 | 1.82857E-05 |
| Average | 3.27058E-05 | 6.49613E-08 | 7.24448E-05 | 3.18926E-05 | 8.11466E-05 | 1.57960E-05 | 2.06124E-05 | 4.22721E-06 | 1.28001E-05 | 1.58942E-06 | |
| Worst | 9.29554E-03 | 2.92219E-03 | 1.76388E-04 | 5.15306E-04 | 5.26253E-04 | 3.32359E-04 | 7.35246E-04 | 2.55784E-04 | 1.97214E-04 | 1.99712E-05 | |
| STD | 2.80214E-01 | 1.55087E-01 | 7.27651E-02 | 2.95945E-01 | 4.33793E-02 | 1.91184E-01 | 3.11904E-01 | 2.60246E-01 | 2.29740E-01 | 1.00000E+00 | |
| p-value | 0.00000E+00 | 0.00000E+00 | 0.00000E+00 | 0.00000E+00 | 1.00000E+00 | 0.00000E+00 | 0.00000E+00 | 0.00000E+00 | 0.00000E+00 | NaN | |
| h | 0.00000E+00 | 0.00000E+00 | 0.00000E+00 | 0.00000E+00 | 0.00000E+00 | 0.00000E+00 | 0.00000E+00 | 0.00000E+00 | 0.00000E+00 | NaN | |
| Rank | 8 | 1 | 9 | 7 | 10 | 5 | 6 | 3 | 4 | 2 | |
| Mean ranking | 7.4615 | 5.6923 | 6.2308 | 5.2308 | 4.4615 | 3.8462 | 3.3846 | 2.7692 | 3.2308 | 2.3077 | |
| Final ranking | 10 | 8 | 9 | 7 | 6 | 5 | 4 | 2 | 3 | 1 | |
| Fun | Measure | Comparative Algorithms | |||||||||||
|---|---|---|---|---|---|---|---|---|---|---|---|---|---|
| AO | AOSA | WOA | SCA | DA | GWO | PSO | RSA | AOA | GND | DMOA | GNDDMOA | ||
| F1 | Best | 3.66474E-87 | 6.28801E-05 | 3.21225E-28 | 3.76938E-05 | 5.84033E+02 | 7.12737E-19 | 5.02886E-04 | 1.83136E-04 | 1.76129E-23 | 2.30248E-02 | 9.15299E-92 | 7.65646E-100 |
| Average | 1.06604E-101 | 4.30307E-07 | 1.29228E-35 | 1.00926E-07 | 1.88201E+02 | 1.76120E-20 | 1.04061E-05 | 5.48359E-05 | 1.70961E-28 | 6.81896E-03 | 5.21550E-150 | 3.74215E-113 | |
| Worst | 7.30950E-87 | 1.10433E-04 | 6.00539E-28 | 7.20066E-05 | 4.54283E+02 | 1.23466E-18 | 6.57368E-04 | 1.86657E-04 | 3.44694E-23 | 2.80925E-02 | 1.83060E-91 | 1.53129E-99 | |
| STD | 3.54699E-01 | 2.98206E-01 | 3.25850E-01 | 3.35452E-01 | 4.22649E-02 | 2.92178E-01 | 1.76890E-01 | 9.73873E-02 | 3.46231E-01 | 1.52280E-01 | 3.55918E-01 | 1.00000E+00 | |
| p-value | 0.00000E+00 | 0.00000E+00 | 0.00000E+00 | 0.00000E+00 | 1.00000E+00 | 0.00000E+00 | 0.00000E+00 | 0.00000E+00 | 0.00000E+00 | 0.00000E+00 | 0.00000E+00 | NaN | |
| h | 0.00000E+00 | 1.00000E+00 | 0.00000E+00 | 0.00000E+00 | 1.00000E+00 | 0.00000E+00 | 0.00000E+00 | 1.00000E+00 | 0.00000E+00 | 0.00000E+00 | 0.00000E+00 | NaN | |
| Rank | 3 | 8 | 4 | 7 | 12 | 6 | 9 | 10 | 5 | 11 | 1 | 2 | |
| F2 | Best | 4.89724E-43 | 4.77454E+00 | 3.96956E-27 | 3.09663E-05 | 1.06677E+01 | 2.72535E-11 | 4.39431E-02 | 2.80992E+01 | 7.08887E-16 | 6.67952E-03 | 0.00000E+00 | 7.89116E-51 |
| Average | 1.39561E-52 | 5.75179E-03 | 4.97945E-32 | 3.70599E-07 | 6.68627E+00 | 9.15704E-12 | 2.28442E-04 | 1.23367E+01 | 2.41130E-16 | 3.46259E-03 | 0.00000E+00 | 5.71912E-57 | |
| Worst | 8.05814E-43 | 6.37930E+00 | 7.93793E-27 | 5.36970E-05 | 4.47352E+00 | 2.40149E-11 | 4.47065E-02 | 1.14572E+01 | 6.61691E-16 | 3.79248E-03 | 0.00000E+00 | 1.57553E-50 | |
| STD | 2.69836E-01 | 1.85064E-01 | 3.55851E-01 | 2.92625E-01 | 3.09675E-03 | 6.36925E-02 | 9.69065E-02 | 2.69704E-03 | 7.58720E-02 | 1.24805E-02 | 3.55153E-01 | 1.00000E+00 | |
| p-value | 0.00000E+00 | 0.00000E+00 | 0.00000E+00 | 0.00000E+00 | 1.00000E+00 | 0.00000E+00 | 0.00000E+00 | 1.00000E+00 | 0.00000E+00 | 1.00000E+00 | 0.00000E+00 | NaN | |
| h | 0.00000E+00 | 0.00000E+00 | 0.00000E+00 | 0.00000E+00 | 1.00000E+00 | 1.00000E+00 | 0.00000E+00 | 0.00000E+00 | 0.00000E+00 | 0.00000E+00 | 0.00000E+00 | NaN | |
| Rank | 3 | 10 | 4 | 7 | 11 | 6 | 8 | 12 | 5 | 9 | 1 | 2 | |
| F3 | Best | 4.79212E-92 | 3.32533E+02 | 5.42403E+03 | 3.57621E+00 | 2.46313E+03 | 3.81558E-07 | 1.68031E+00 | 3.18836E+03 | 1.14540E-10 | 2.93259E+02 | 3.04393E-62 | 3.00510E-95 |
| Average | 1.83369E-105 | 2.98617E+01 | 7.01273E+02 | 3.44413E-04 | 1.13059E+02 | 2.13525E-11 | 2.05461E-01 | 2.35602E+02 | 2.67403E-13 | 3.88981E+01 | 1.50114E-116 | 7.28663E-111 | |
| Worst | 9.57369E-92 | 2.42220E+02 | 3.83278E+03 | 7.06544E+00 | 3.64272E+03 | 6.67044E-07 | 2.41695E+00 | 1.99860E+03 | 1.73836E-10 | 2.61200E+02 | 6.08786E-62 | 5.98440E-95 | |
| STD | 3.55706E-01 | 3.34816E-02 | 2.99445E-02 | 3.50457E-01 | 2.25005E-01 | 2.96192E-01 | 2.13779E-01 | 1.88221E-02 | 2.35652E-01 | 6.58496E-02 | 3.55918E-01 | 1.00000E+00 | |
| p-value | 0.00000E+00 | 1.00000E+00 | 1.00000E+00 | 0.00000E+00 | 0.00000E+00 | 0.00000E+00 | 0.00000E+00 | 1.00000E+00 | 0.00000E+00 | 0.00000E+00 | 0.00000E+00 | NaN | |
| h | 0.00000E+00 | 0.00000E+00 | 0.00000E+00 | 0.00000E+00 | 0.00000E+00 | 0.00000E+00 | 0.00000E+00 | 0.00000E+00 | 0.00000E+00 | 0.00000E+00 | 0.00000E+00 | NaN | |
| Rank | 3 | 8 | 12 | 6 | 10 | 5 | 7 | 11 | 4 | 9 | 1 | 2 | |
| F4 | Best | 1.82520E-45 | 8.56992E+00 | 2.10169E+01 | 4.76903E+00 | 9.85809E+00 | 5.86652E-06 | 2.46460E-01 | 1.52753E+01 | 1.62613E-08 | 2.77337E+01 | 1.44724E-34 | 2.32896E-48 |
| Average | 7.02897E-63 | 1.71863E+00 | 4.88983E+00 | 1.30915E-03 | 6.65989E+00 | 7.75667E-07 | 1.46708E-01 | 6.37704E+00 | 5.71368E-10 | 2.33351E+01 | 1.00590E-55 | 7.30468E-58 | |
| Worst | 2.23750E-45 | 5.43767E+00 | 1.09404E+01 | 9.43397E+00 | 2.76842E+00 | 5.06159E-06 | 1.02946E-01 | 6.03220E+00 | 2.41392E-08 | 4.42340E+00 | 1.88990E-34 | 4.61544E-48 | |
| STD | 1.54356E-01 | 1.97631E-02 | 8.53843E-03 | 3.51021E-01 | 3.85582E-04 | 5.96078E-02 | 3.03736E-03 | 2.30027E-03 | 2.26535E-01 | 1.57363E-05 | 1.76515E-01 | 1.00000E+00 | |
| p-value | 0.00000E+00 | 1.00000E+00 | 1.00000E+00 | 0.00000E+00 | 1.00000E+00 | 0.00000E+00 | 1.00000E+00 | 1.00000E+00 | 0.00000E+00 | 1.00000E+00 | 0.00000E+00 | NaN | |
| h | 0.00000E+00 | 1.00000E+00 | 0.00000E+00 | 0.00000E+00 | 1.00000E+00 | 0.00000E+00 | 0.00000E+00 | 0.00000E+00 | 0.00000E+00 | 1.00000E+00 | 0.00000E+00 | NaN | |
| Rank | 1 | 8 | 9 | 6 | 11 | 5 | 7 | 10 | 4 | 12 | 3 | 2 | |
| F5 | Best | 7.63059E-02 | 1.41462E+02 | 8.67832E+00 | 8.42224E+00 | 5.76067E+04 | 8.17573E+00 | 9.82022E+00 | 5.01206E+02 | 7.69462E+00 | 2.00100E+01 | 8.07769E+00 | 1.11950E+00 |
| Average | 1.11823E-04 | 8.50166E+00 | 8.19771E+00 | 7.49378E+00 | 1.33381E+03 | 7.18559E+00 | 2.42007E+00 | 9.14896E+00 | 7.14788E+00 | 8.64746E+00 | 7.96299E+00 | 1.97408E-02 | |
| Worst | 1.36045E-01 | 2.60882E+02 | 3.31564E-01 | 7.05617E-01 | 7.00093E+04 | 7.27739E-01 | 7.41683E+00 | 7.74006E+02 | 4.06853E-01 | 1.49972E+01 | 1.41420E-01 | 1.87549E+00 | |
| STD | 3.09681E-01 | 3.23327E-01 | 2.12504E-04 | 3.39807E-04 | 1.50937E-01 | 4.18569E-04 | 6.32655E-02 | 2.43822E-01 | 4.75339E-04 | 4.65449E-02 | 3.12976E-04 | 1.00000E+00 | |
| p-value | 0.00000E+00 | 0.00000E+00 | 1.00000E+00 | 1.00000E+00 | 0.00000E+00 | 1.00000E+00 | 0.00000E+00 | 0.00000E+00 | 1.00000E+00 | 1.00000E+00 | 1.00000E+00 | NaN | |
| h | 0.00000E+00 | 1.00000E+00 | 1.00000E+00 | 1.00000E+00 | 0.00000E+00 | 1.00000E+00 | 1.00000E+00 | 0.00000E+00 | 1.00000E+00 | 0.00000E+00 | 1.00000E+00 | NaN | |
| Rank | 1 | 9 | 8 | 6 | 12 | 5 | 3 | 11 | 4 | 10 | 7 | 2 | |
| F6 | Best | 7.16101E-04 | 6.35924E-05 | 8.53927E-01 | 7.62565E-01 | 9.86681E+02 | 6.28776E-01 | 6.81072E-04 | 1.25731E-04 | 5.04294E-04 | 1.40801E-02 | 2.92328E-01 | 4.68337E-02 |
| Average | 3.68695E-06 | 1.84166E-08 | 3.54606E-01 | 3.81830E-01 | 2.11887E+02 | 2.50486E-01 | 1.50804E-06 | 2.29902E-05 | 8.51116E-05 | 5.92111E-03 | 1.71011E-01 | 1.65676E-04 | |
| Worst | 6.71783E-04 | 8.85427E-05 | 3.63647E-01 | 2.71609E-01 | 1.39224E+03 | 3.24074E-01 | 1.32683E-03 | 7.51142E-05 | 8.09430E-04 | 1.15208E-02 | 1.30737E-01 | 3.69398E-02 | |
| STD | 4.67495E-02 | 4.45456E-02 | 4.48949E-03 | 1.97194E-03 | 2.06160E-01 | 1.18082E-02 | 4.67053E-02 | 4.47482E-02 | 4.60417E-02 | 1.41414E-01 | 1.11768E-02 | 1.00000E+00 | |
| p-value | 1.00000E+00 | 1.00000E+00 | 1.00000E+00 | 1.00000E+00 | 0.00000E+00 | 1.00000E+00 | 1.00000E+00 | 1.00000E+00 | 1.00000E+00 | 0.00000E+00 | 1.00000E+00 | NaN | |
| h | 0.00000E+00 | 0.00000E+00 | 0.00000E+00 | 1.00000E+00 | 0.00000E+00 | 0.00000E+00 | 0.00000E+00 | 0.00000E+00 | 0.00000E+00 | 0.00000E+00 | 1.00000E+00 | NaN | |
| Rank | 3 | 1 | 10 | 11 | 12 | 9 | 2 | 4 | 5 | 7 | 8 | 6 | |
| F7 | Best | 9.51783E-04 | 4.78235E-02 | 1.61513E-02 | 2.22028E-02 | 3.14808E-01 | 2.74473E-03 | 7.40612E-02 | 5.23991E-01 | 1.77363E-03 | 1.16011E-01 | 2.94161E-04 | 2.42579E-03 |
| Average | 3.33690E-04 | 2.05149E-02 | 2.60530E-03 | 4.94647E-03 | 6.80748E-02 | 8.92277E-04 | 2.46482E-02 | 1.93049E-01 | 2.55539E-04 | 1.45704E-02 | 2.18225E-04 | 2.12379E-05 | |
| Worst | 7.86901E-04 | 2.37821E-02 | 2.54077E-02 | 2.30969E-02 | 4.08434E-01 | 2.13145E-03 | 5.89461E-02 | 3.78711E-01 | 1.06952E-03 | 9.68720E-02 | 6.23943E-05 | 3.09651E-03 | |
| STD | 3.91750E-01 | 9.11752E-03 | 3.24732E-01 | 1.40555E-01 | 1.76983E-01 | 8.70836E-01 | 5.13582E-02 | 3.31013E-02 | 7.04304E-01 | 5.75394E-02 | 2.17823E-01 | 1.00000E+00 | |
| p-value | 0.00000E+00 | 1.00000E+00 | 0.00000E+00 | 0.00000E+00 | 0.00000E+00 | 0.00000E+00 | 0.00000E+00 | 1.00000E+00 | 0.00000E+00 | 0.00000E+00 | 0.00000E+00 | NaN | |
| h | 0.00000E+00 | 0.00000E+00 | 0.00000E+00 | 0.00000E+00 | 0.00000E+00 | 0.00000E+00 | 0.00000E+00 | 1.00000E+00 | 0.00000E+00 | 1.00000E+00 | 0.00000E+00 | NaN | |
| Rank | 4 | 9 | 6 | 7 | 11 | 5 | 10 | 12 | 3 | 8 | 2 | 1 | |
| F8 | Best | −2.08000E+03 | −2.62154E+03 | −2.62206E+03 | −2.05789E+03 | −2.07965E+03 | −2.21242E+03 | −1.43345E+03 | −1.83189E+03 | −2.83761E+03 | −2.59767E+03 | −2.16265E+03 | −2.72281E+03 |
| Average | −2.71395E+03 | −2.92588E+03 | −3.42047E+03 | −2.56213E+03 | −2.57480E+03 | −2.86014E+03 | −1.67210E+03 | −1.90989E+03 | −3.17102E+03 | −3.06245E+03 | −2.47148E+03 | −4.18837E+03 | |
| Worst | 4.51721E+02 | 3.55991E+02 | 6.33178E+02 | 3.63563E+02 | 5.50683E+02 | 4.99574E+02 | 2.71453E+02 | 5.19997E+01 | 3.52471E+02 | 4.91686E+02 | 3.14692E+02 | 1.11926E+03 | |
| STD | 3.27785E-01 | 8.68764E-01 | 8.80624E-01 | 3.01609E-01 | 3.42211E-01 | 4.36837E-01 | 6.64359E-02 | 1.62880E-01 | 8.51325E-01 | 8.44559E-01 | 3.72473E-01 | 1.00000E+00 | |
| p-value | 0.00000E+00 | 0.00000E+00 | 0.00000E+00 | 0.00000E+00 | 0.00000E+00 | 0.00000E+00 | 0.00000E+00 | 0.00000E+00 | 0.00000E+00 | 0.00000E+00 | 0.00000E+00 | NaN | |
| h | 0.00000E+00 | 0.00000E+00 | 0.00000E+00 | 0.00000E+00 | 0.00000E+00 | 0.00000E+00 | 0.00000E+00 | 0.00000E+00 | 0.00000E+00 | 0.00000E+00 | 0.00000E+00 | NaN | |
| Rank | 7 | 5 | 2 | 9 | 8 | 6 | 12 | 11 | 3 | 4 | 10 | 1 | |
| F9 | Best | 0.00000E+00 | 4.15395E+01 | 1.52453E+01 | 1.53654E+00 | 7.54795E+01 | 1.57739E+00 | 2.01489E+01 | 3.63158E+01 | 3.50552E+00 | 3.12363E+01 | 0.00000E+00 | 0.00000E+00 |
| Average | 0.00000E+00 | 1.49244E+01 | 0.00000E+00 | 1.76607E-03 | 5.37763E+01 | 3.53708E-10 | 1.73102E+01 | 2.88537E+01 | 0.00000E+00 | 2.15035E+01 | 0.00000E+00 | 0.00000E+00 | |
| Worst | 0.00000E+00 | 2.43899E+01 | 1.81732E+01 | 1.70572E+00 | 1.65598E+01 | 1.07558E+00 | 2.76307E+00 | 8.30448E+00 | 5.19150E+00 | 1.44516E+01 | 0.00000E+00 | 0.00000E+00 | |
| STD | 0.00000E+00 | 1.43842E-02 | 1.44400E-01 | 1.21677E-01 | 9.79329E-05 | 2.61809E-02 | 6.51992E-06 | 1.23667E-04 | 2.25570E-01 | 4.96698E-03 | 0.00000E+00 | 0.00000E+00 | |
| p-value | NaN | 1.00000E+00 | 0.00000E+00 | 0.00000E+00 | 1.00000E+00 | 1.00000E+00 | 1.00000E+00 | 1.00000E+00 | NaN | 1.00000E+00 | NaN | NaN | |
| h | NaN | 1.00000E+00 | 0.00000E+00 | 0.00000E+00 | 1.00000E+00 | 0.00000E+00 | 1.00000E+00 | 1.00000E+00 | NaN | 1.00000E+00 | NaN | NaN | |
| Rank | 1 | 8 | 1 | 7 | 12 | 6 | 9 | 11 | 1 | 10 | 1 | 1 | |
| F10 | Best | 3.33702E-10 | 7.17754E+00 | 7.10543E-15 | 3.13535E+00 | 1.35367E+01 | 3.57782E-10 | 3.33791E-01 | 1.36900E+01 | 2.26485E-13 | 7.53102E+00 | 8.88178E-16 | 8.88178E-16 |
| Average | 8.88178E-16 | 2.01332E+00 | 4.44089E-15 | 1.13285E-06 | 4.19367E+00 | 9.52278E-11 | 1.62729E-02 | 1.16611E+01 | 1.86517E-14 | 4.88657E+00 | 8.88178E-16 | 8.88178E-16 | |
| Worst | 6.67402E-10 | 8.56325E+00 | 1.77636E-15 | 6.26793E+00 | 6.39114E+00 | 2.69934E-10 | 5.50823E-01 | 1.69705E+00 | 2.09269E-13 | 1.93049E+00 | 0.00000E+00 | 0.00000E+00 | |
| STD | 3.55918E-01 | 1.44683E-01 | 4.23483E-04 | 3.55721E-01 | 5.46334E-03 | 3.79837E-02 | 2.71080E-01 | 3.60470E-06 | 7.44812E-02 | 2.33727E-04 | |||
| p-value | NaN | 0.00000E+00 | 1.00000E+00 | 0.00000E+00 | 1.00000E+00 | 1.00000E+00 | 0.00000E+00 | 1.00000E+00 | 0.00000E+00 | 1.00000E+00 | NaN | NaN | |
| h | NaN | 0.00000E+00 | 1.00000E+00 | 0.00000E+00 | 1.00000E+00 | 1.00000E+00 | 1.00000E+00 | 0.00000E+00 | 1.00000E+00 | 0.00000E+00 | NaN | NaN | |
| Rank | 1 | 9 | 4 | 7 | 10 | 6 | 8 | 12 | 5 | 11 | 1 | 1 | |
| F11 | Best | 0.00000E+00 | 3.40834E-01 | 0.00000E+00 | 1.09996E-01 | 6.62537E+00 | 1.43005E-02 | 8.46895E+00 | 2.48031E-01 | 5.17670E-02 | 3.84902E+00 | 1.34036E-07 | 0.00000E+00 |
| Average | 0.00000E+00 | 1.78351E-01 | 0.00000E+00 | 3.87472E-06 | 2.21392E+00 | 3.33067E-16 | 9.88754E-01 | 1.67731E-01 | 0.00000E+00 | 1.22778E+00 | 0.00000E+00 | 0.00000E+00 | |
| Worst | 0.00000E+00 | 1.87764E-01 | 0.00000E+00 | 1.17901E-01 | 7.17102E+00 | 1.69114E-02 | 9.56379E+00 | 6.69205E-02 | 9.71072E-02 | 2.29793E+00 | 2.67325E-07 | 0.00000E+00 | |
| STD | 1.09591E-02 | 1.11310E-01 | 1.14135E-01 | 1.41747E-01 | 1.26940E-01 | 3.09843E-04 | 3.27352E-01 | 1.54197E-02 | 3.54673E-01 | 0.00000E+00 | |||
| p-value | NaN | 1.00000E+00 | NaN | 0.00000E+00 | 0.00000E+00 | 0.00000E+00 | 0.00000E+00 | 1.00000E+00 | 0.00000E+00 | 1.00000E+00 | 0.00000E+00 | NaN | |
| h | NaN | 1.00000E+00 | NaN | 0.00000E+00 | 1.00000E+00 | 0.00000E+00 | 1.00000E+00 | 1.00000E+00 | 0.00000E+00 | 1.00000E+00 | 0.00000E+00 | NaN | |
| Rank | 1 | 9 | 1 | 7 | 12 | 6 | 10 | 8 | 1 | 11 | 1 | 1 | |
| F12 | Best | 9.41720E-05 | 2.81765E+00 | 4.84000E-02 | 6.85336E-01 | 1.20032E+03 | 9.38656E-02 | 2.60954E-05 | 2.30800E+01 | 8.87834E-03 | 2.70998E+00 | 2.34046E-01 | 3.12292E-03 |
| Average | 6.62188E-06 | 3.45206E-01 | 3.08534E-02 | 1.63366E-01 | 3.93375E+00 | 4.15713E-02 | 1.71903E-07 | 6.24429E+00 | 3.10498E-05 | 4.75743E-01 | 2.14231E-01 | 1.30755E-04 | |
| Worst | 1.42258E-04 | 1.80917E+00 | 1.47653E-02 | 8.06978E-01 | 2.38552E+03 | 5.10740E-02 | 3.02491E-05 | 1.73728E+01 | 1.70865E-02 | 2.72191E+00 | 2.76060E-02 | 2.72873E-03 | |
| STD | 6.84908E-02 | 2.08119E-02 | 9.38965E-04 | 1.41834E-01 | 3.53098E-01 | 1.20966E-02 | 6.36979E-02 | 3.76918E-02 | 5.30617E-01 | 9.38540E-02 | 2.99628E-06 | 1.00000E+00 | |
| p-value | 0.00000E+00 | 1.00000E+00 | 1.00000E+00 | 0.00000E+00 | 0.00000E+00 | 1.00000E+00 | 0.00000E+00 | 1.00000E+00 | 0.00000E+00 | 0.00000E+00 | 1.00000E+00 | NaN | |
| h | 0.00000E+00 | 0.00000E+00 | 0.00000E+00 | 1.00000E+00 | 1.00000E+00 | 0.00000E+00 | 0.00000E+00 | 0.00000E+00 | 0.00000E+00 | 0.00000E+00 | 1.00000E+00 | NaN | |
| Rank | 2 | 9 | 5 | 7 | 11 | 6 | 1 | 12 | 3 | 10 | 8 | 4 | |
| F13 | Best | 7.35740E-04 | 4.82548E+00 | 5.01857E-01 | 7.17458E-01 | 4.13579E+02 | 3.23160E-01 | 2.76664E-03 | 1.30596E+01 | 1.05096E-01 | 5.09412E-01 | 8.78013E-01 | 7.30682E-03 |
| Average | 1.15998E-04 | 2.40508E-02 | 4.41271E-01 | 5.02719E-01 | 5.63352E+00 | 2.00039E-01 | 3.34724E-06 | 2.83289E-01 | 7.32404E-02 | 1.33868E-01 | 6.94561E-01 | 1.66131E-03 | |
| Worst | 6.28719E-04 | 9.51159E+00 | 8.36796E-02 | 3.06934E-01 | 6.64956E+02 | 1.32406E-01 | 5.51633E-03 | 1.08041E+01 | 3.64024E-02 | 4.34549E-01 | 1.30520E-01 | 6.14166E-03 | |
| STD | 7.73469E-02 | 3.50103E-01 | 2.25094E-05 | 3.59097E-03 | 2.59926E-01 | 3.10761E-03 | 3.13519E-01 | 5.21330E-02 | 1.83371E-03 | 6.02113E-02 | 1.10396E-05 | 1.00000E+00 | |
| p-value | 0.00000E+00 | 0.00000E+00 | 1.00000E+00 | 1.00000E+00 | 0.00000E+00 | 1.00000E+00 | 0.00000E+00 | 0.00000E+00 | 1.00000E+00 | 0.00000E+00 | 1.00000E+00 | NaN | |
| h | 0.00000E+00 | 0.00000E+00 | 1.00000E+00 | 1.00000E+00 | 1.00000E+00 | 0.00000E+00 | 0.00000E+00 | 0.00000E+00 | 1.00000E+00 | 0.00000E+00 | 1.00000E+00 | NaN | |
| Rank | 2 | 4 | 9 | 10 | 12 | 7 | 1 | 8 | 5 | 6 | 11 | 3 | |
| Mean ranking | 2.4615 | 7.4615 | 5.7692 | 7.4615 | 11.0769 | 6.0000 | 6.6923 | 10.1538 | 3.6923 | 9.0769 | 4.2308 | 2.1538 | |
| Final ranking | 2 | 8 | 5 | 8 | 12 | 6 | 7 | 11 | 3 | 10 | 4 | 1 | |
| Fun | Measure | Comparative Algorithms | |||||||||||
|---|---|---|---|---|---|---|---|---|---|---|---|---|---|
| AO | AOSA | WOA | SCA | DA | GWO | PSO | RSA | AOA | GND | DMOA | GNDDMOA | ||
| F14 | Best | 5.89337E+00 | 4.41598E+00 | 4.67799E+00 | 1.99025E+00 | 4.92345E+00 | 7.57879E+00 | 8.31929E+00 | 7.09673E+00 | 1.74254E+00 | 7.83864E+00 | 1.26705E+01 | 2.72869E+00 |
| Average | 1.99203E+00 | 9.98019E-01 | 9.98247E-01 | 9.98005E-01 | 9.98004E-01 | 1.99203E+00 | 1.99203E+00 | 2.98211E+00 | 9.98004E-01 | 1.99204E+00 | 1.26705E+01 | 9.98004E-01 | |
| Worst | 4.81756E+00 | 5.58314E+00 | 4.24065E+00 | 1.14529E+00 | 4.21431E+00 | 5.89329E+00 | 5.03635E+00 | 5.68102E+00 | 9.49989E-01 | 4.82113E+00 | 4.26698E-11 | 2.03826E+00 | |
| STD | 7.02530E-01 | 1.00000E+00 | 9.42851E-01 | 4.27305E-01 | 8.89391E-01 | 4.65472E-01 | 3.39176E-01 | 5.25941E-01 | 3.81557E-01 | 3.89227E-01 | 2.53832E-02 | 5.90786E-01 | |
| p-value | 0.00000E+00 | 0.00000E+00 | 0.00000E+00 | 0.00000E+00 | 0.00000E+00 | 0.00000E+00 | 0.00000E+00 | 0.00000E+00 | 0.00000E+00 | 0.00000E+00 | 1.00000E+00 | NaN | |
| h | 0.00000E+00 | 1.00000E+00 | 0.00000E+00 | 0.00000E+00 | 1.00000E+00 | 0.00000E+00 | 0.00000E+00 | 0.00000E+00 | 1.00000E+00 | 1.00000E+00 | 0.00000E+00 | NaN | |
| Rank | 9 | 5 | 6 | 4 | 3 | 8 | 7 | 11 | 2 | 10 | 12 | 1 | |
| F15 | Best | 7.58525E-04 | 1.09175E-02 | 1.27939E-03 | 1.63972E-03 | 1.88988E-02 | 9.54879E-04 | 1.18218E-03 | 2.50819E-03 | 1.17326E-03 | 5.93291E-03 | 7.27857E-04 | 1.03588E-02 |
| Average | 4.53794E-04 | 7.46758E-04 | 7.11094E-04 | 7.07216E-04 | 1.45206E-02 | 4.86480E-04 | 9.31592E-04 | 1.11374E-03 | 5.72401E-04 | 7.50631E-04 | 5.13638E-04 | 3.10950E-04 | |
| Worst | 2.80338E-04 | 1.16861E-02 | 8.58094E-04 | 6.44638E-04 | 2.92380E-03 | 5.89001E-04 | 2.27794E-04 | 2.20428E-03 | 6.39236E-04 | 8.67370E-03 | 3.88492E-04 | 1.15603E-02 | |
| STD | 2.79600E-01 | 1.46932E-01 | 8.49304E-01 | 3.43761E-01 | 2.18920E-05 | 6.33241E-01 | 9.79867E-01 | 2.88880E-01 | 1.00000E+00 | 3.15707E-01 | 2.78679E-01 | 1.63668E-01 | |
| p-value | 0.00000E+00 | 0.00000E+00 | 0.00000E+00 | 0.00000E+00 | 1.00000E+00 | 0.00000E+00 | 0.00000E+00 | 0.00000E+00 | 0.00000E+00 | 0.00000E+00 | 0.00000E+00 | NaN | |
| h | 1.00000E+00 | 0.00000E+00 | 1.00000E+00 | 0.00000E+00 | 0.00000E+00 | 0.00000E+00 | 0.00000E+00 | 0.00000E+00 | 1.00000E+00 | 1.00000E+00 | 0.00000E+00 | NaN | |
| Rank | 2 | 8 | 7 | 6 | 12 | 3 | 10 | 11 | 5 | 9 | 4 | 1 | |
| F16 | Best | −1.02869E+00 | −1.03163E+00 | −1.02301E+00 | −1.03152E+00 | −1.03141E+00 | −1.03163E+00 | −1.03163E+00 | −1.03163E+00 | −1.02633E+00 | −8.27557E-01 | −1.03163E+00 | −1.03163E+00 |
| Average | −1.03126E+00 | −1.03163E+00 | −1.03163E+00 | −1.03162E+00 | −1.03163E+00 | −1.03163E+00 | −1.03163E+00 | −1.03163E+00 | −1.02901E+00 | −1.03163E+00 | −1.03163E+00 | −1.03163E+00 | |
| Worst | 2.58129E-03 | 9.87371E-15 | 1.72263E-02 | 1.27032E-04 | 4.36497E-04 | 7.60008E-08 | 1.81299E-16 | 5.38791E-13 | 2.68892E-03 | 4.08062E-01 | 4.99984E-07 | 0.00000E+00 | |
| STD | 2.52010E-01 | 7.61031E-03 | 7.16879E-01 | 8.39819E-03 | 9.77015E-03 | 7.61129E-03 | 7.61031E-03 | 7.61031E-03 | 1.00000E+00 | 3.67578E-01 | 7.61257E-03 | 7.61031E-03 | |
| p-value | 0.00000E+00 | 1.00000E+00 | 0.00000E+00 | 1.00000E+00 | 1.00000E+00 | 1.00000E+00 | 1.00000E+00 | 1.00000E+00 | 1.00000E+00 | 0.00000E+00 | 1.00000E+00 | NaN | |
| h | 0.00000E+00 | 0.00000E+00 | 0.00000E+00 | 0.00000E+00 | 0.00000E+00 | 0.00000E+00 | 0.00000E+00 | 0.00000E+00 | 0.00000E+00 | 0.00000E+00 | 0.00000E+00 | NaN | |
| Rank | 11 | 3 | 5 | 10 | 8 | 7 | 1 | 4 | 12 | 9 | 6 | 2 | |
| F17 | Best | 3.99415E-01 | 3.97887E-01 | 4.05365E-01 | 4.05378E-01 | 3.98127E-01 | 3.97903E-01 | 3.97887E-01 | 3.97887E-01 | 4.13041E-01 | 3.97896E-01 | 5.29235E-01 | 3.97887E-01 |
| Average | 3.98035E-01 | 3.97887E-01 | 3.99112E-01 | 3.98206E-01 | 3.97888E-01 | 3.97896E-01 | 3.97887E-01 | 3.97887E-01 | 3.98193E-01 | 3.97888E-01 | 4.12552E-01 | 3.97887E-01 | |
| Worst | 1.44640E-03 | 4.14318E-13 | 1.04595E-02 | 7.85258E-03 | 4.22528E-04 | 9.59064E-06 | 0.00000E+00 | 1.25929E-12 | 1.47913E-02 | 6.52238E-06 | 1.45004E-01 | 4.01007E-12 | |
| STD | 1.16385E-01 | 8.63612E-02 | 4.29229E-01 | 3.95404E-01 | 9.04356E-02 | 8.66080E-02 | 8.63612E-02 | 8.63612E-02 | 1.00000E+00 | 8.65045E-02 | 1.61967E-01 | 8.63612E-02 | |
| p-value | 0.00000E+00 | 0.00000E+00 | 0.00000E+00 | 0.00000E+00 | 0.00000E+00 | 0.00000E+00 | 0.00000E+00 | 0.00000E+00 | 0.00000E+00 | 0.00000E+00 | 0.00000E+00 | NaN | |
| h | 0.00000E+00 | 0.00000E+00 | 0.00000E+00 | 0.00000E+00 | 0.00000E+00 | 0.00000E+00 | 0.00000E+00 | 0.00000E+00 | 0.00000E+00 | 0.00000E+00 | 0.00000E+00 | NaN | |
| Rank | 8 | 3 | 11 | 10 | 5 | 7 | 1 | 4 | 9 | 6 | 12 | 1 | |
| F18 | Best | 3.44851E+00 | 3.00000E+00 | 9.87565E+00 | 3.00141E+00 | 3.00065E+00 | 3.00029E+00 | 3.00000E+00 | 3.00000E+00 | 3.00000E+00 | 3.26884E+00 | 7.74330E+00 | 3.00001E+00 |
| Average | 3.00407E+00 | 3.00000E+00 | 3.00000E+00 | 3.00008E+00 | 3.00000E+00 | 3.00000E+00 | 3.00000E+00 | 3.00000E+00 | 3.00000E+00 | 3.00737E+00 | 3.00000E+00 | 3.00000E+00 | |
| Worst | 7.76055E-01 | 1.41966E-12 | 1.36240E+01 | 1.70135E-03 | 9.35550E-04 | 2.85816E-04 | 4.39626E-15 | 1.33214E-11 | 1.43374E-07 | 3.85323E-01 | 9.41076E+00 | 1.54716E-05 | |
| STD | 6.92757E-01 | 2.12354E-01 | 3.69743E-01 | 2.14456E-01 | 2.13328E-01 | 2.12790E-01 | 2.12354E-01 | 2.12354E-01 | 2.12354E-01 | 1.00000E+00 | 3.78733E-01 | 2.12373E-01 | |
| p-value | 0.00000E+00 | 0.00000E+00 | 0.00000E+00 | 0.00000E+00 | 0.00000E+00 | 0.00000E+00 | 0.00000E+00 | 0.00000E+00 | 0.00000E+00 | 0.00000E+00 | 0.00000E+00 | NaN | |
| h | 0.00000E+00 | 0.00000E+00 | 0.00000E+00 | 0.00000E+00 | 0.00000E+00 | 0.00000E+00 | 0.00000E+00 | 0.00000E+00 | 0.00000E+00 | 0.00000E+00 | 0.00000E+00 | NaN | |
| Rank | 11 | 4 | 7 | 10 | 9 | 8 | 1 | 5 | 2 | 12 | 6 | 3 | |
| F19 | Best | −3.84133E+00 | −3.86275E+00 | −3.64827E+00 | −3.84578E+00 | −3.83618E+00 | −3.86155E+00 | −3.86278E+00 | −3.70471E+00 | −3.86278E+00 | −3.86269E+00 | −3.63291E+00 | −3.86278E+00 |
| Average | −3.85218E+00 | −3.86278E+00 | −3.85240E+00 | −3.85263E+00 | −3.85932E+00 | −3.86267E+00 | −3.86278E+00 | −3.85473E+00 | −3.86278E+00 | −3.86278E+00 | −3.84963E+00 | −3.86278E+00 | |
| Worst | 1.69068E-02 | 3.22054E-05 | 3.72940E-01 | 5.31633E-03 | 1.81742E-02 | 9.35423E-04 | 2.56395E-16 | 1.03596E-01 | 2.61450E-07 | 1.46155E-04 | 4.01587E-01 | 2.83846E-06 | |
| STD | 4.04851E-02 | 2.24773E-02 | 7.80405E-01 | 3.46468E-02 | 4.65339E-02 | 2.31623E-02 | 2.24614E-02 | 1.00000E+00 | 2.24616E-02 | 2.25150E-02 | 7.40971E-01 | 2.24627E-02 | |
| p-value | 1.00000E+00 | 1.00000E+00 | 0.00000E+00 | 1.00000E+00 | 1.00000E+00 | 1.00000E+00 | 1.00000E+00 | 1.00000E+00 | 1.00000E+00 | 1.00000E+00 | 0.00000E+00 | NaN | |
| h | 0.00000E+00 | 0.00000E+00 | 0.00000E+00 | 0.00000E+00 | 0.00000E+00 | 0.00000E+00 | 0.00000E+00 | 0.00000E+00 | 0.00000E+00 | 0.00000E+00 | 0.00000E+00 | NaN | |
| Rank | 11 | 5 | 10 | 9 | 7 | 6 | 1 | 8 | 3 | 4 | 12 | 2 | |
| F20 | Best | −2.97869E+00 | −3.14205E+00 | −2.58288E+00 | −1.98700E+00 | −2.87412E+00 | −3.19269E+00 | −3.26255E+00 | −3.32200E+00 | −2.68840E+00 | −3.19684E+00 | −3.00536E+00 | −3.28445E+00 |
| Average | −3.13489E+00 | −3.17332E+00 | −3.06553E+00 | −2.96751E+00 | −3.23843E+00 | −3.32197E+00 | −3.32200E+00 | −3.32200E+00 | −2.96404E+00 | −3.23734E+00 | −3.09826E+00 | −3.32194E+00 | |
| Worst | 1.82769E-01 | 4.09992E-02 | 4.67708E-01 | 1.11711E+00 | 5.72002E-01 | 9.27180E-02 | 6.86430E-02 | 2.72436E-10 | 2.80164E-01 | 3.66425E-02 | 8.16237E-02 | 7.48147E-02 | |
| STD | 1.33310E-01 | 1.84986E-02 | 7.12059E-01 | 2.68939E-01 | 5.81004E-01 | 1.41845E-02 | 7.27554E-03 | 4.00462E-03 | 1.00000E+00 | 1.13806E-02 | 7.28254E-02 | 6.27961E-03 | |
| p-value | 0.00000E+00 | 1.00000E+00 | 0.00000E+00 | 0.00000E+00 | 0.00000E+00 | 1.00000E+00 | 1.00000E+00 | 1.00000E+00 | 1.00000E+00 | 1.00000E+00 | 0.00000E+00 | NaN | |
| h | 1.00000E+00 | 1.00000E+00 | 0.00000E+00 | 0.00000E+00 | 1.00000E+00 | 1.00000E+00 | 1.00000E+00 | 1.00000E+00 | 1.00000E+00 | 1.00000E+00 | 0.00000E+00 | NaN | |
| Rank | 8 | 7 | 10 | 11 | 5 | 3 | 2 | 1 | 12 | 6 | 9 | 4 | |
| F21 | Best | −9.62511E+00 | −7.02251E+00 | −4.89861E+00 | −4.60773E-01 | −6.47855E+00 | −5.72322E+00 | −7.28270E+00 | −5.13043E+00 | −5.73656E+00 | −5.12949E+00 | −3.15941E+00 | −4.53735E+00 |
| Average | −1.01371E+01 | −1.01532E+01 | −9.72110E+00 | −4.97294E-01 | −9.46101E+00 | −1.01529E+01 | −9.61493E+00 | −1.01532E+01 | −1.01532E+01 | −1.01532E+01 | −4.54377E+00 | −1.01532E+01 | |
| Worst | 6.58852E-01 | 3.74736E+00 | 3.63166E+00 | 7.29407E-02 | 3.46228E+00 | 3.16672E+00 | 2.62111E+00 | 3.53432E+00 | 3.14963E+00 | 3.53518E+00 | 1.45724E+00 | 3.74398E+00 | |
| STD | 1.33721E-01 | 9.13113E-01 | 3.28002E-01 | 2.00827E-03 | 7.23835E-01 | 4.76751E-01 | 1.00000E+00 | 3.65724E-01 | 4.79018E-01 | 3.65597E-01 | 3.32996E-02 | 2.74866E-01 | |
| p-value | 0.00000E+00 | 0.00000E+00 | 0.00000E+00 | 1.00000E+00 | 0.00000E+00 | 0.00000E+00 | 0.00000E+00 | 0.00000E+00 | 0.00000E+00 | 0.00000E+00 | 1.00000E+00 | NaN | |
| h | 0.00000E+00 | 0.00000E+00 | 0.00000E+00 | 1.00000E+00 | 0.00000E+00 | 0.00000E+00 | 0.00000E+00 | 0.00000E+00 | 0.00000E+00 | 0.00000E+00 | 1.00000E+00 | NaN | |
| Rank | 7 | 2 | 8 | 12 | 10 | 6 | 9 | 3 | 4 | 5 | 11 | 1 | |
| F22 | Best | −1.03070E+01 | −6.12946E+00 | −6.16600E+00 | −2.35260E+00 | −4.42101E+00 | −1.03762E+01 | −6.82053E+00 | −5.15436E+00 | −4.91111E+00 | −4.67134E+00 | −1.75685E+00 | −8.49019E+00 |
| Average | −1.03779E+01 | −9.28930E+00 | −1.03753E+01 | −4.54666E+00 | −8.11003E+00 | −1.04000E+01 | −1.04029E+01 | −1.04029E+01 | −1.04027E+01 | −1.04029E+01 | −2.51081E+00 | −1.04029E+01 | |
| Worst | 1.06205E-01 | 2.10659E+00 | 2.81174E+00 | 1.73039E+00 | 2.81545E+00 | 3.63122E-02 | 4.15562E+00 | 3.52810E+00 | 3.68926E+00 | 3.82108E+00 | 5.22559E-01 | 3.82550E+00 | |
| STD | 7.44184E-03 | 1.00000E+00 | 9.84079E-01 | 3.23873E-02 | 3.68715E-01 | 6.87013E-03 | 7.76729E-01 | 6.51855E-01 | 5.87104E-01 | 5.28764E-01 | 6.88621E-03 | 3.21168E-01 | |
| p-value | 1.00000E+00 | 0.00000E+00 | 0.00000E+00 | 1.00000E+00 | 0.00000E+00 | 1.00000E+00 | 0.00000E+00 | 0.00000E+00 | 0.00000E+00 | 0.00000E+00 | 1.00000E+00 | NaN | |
| h | 1.00000E+00 | 0.00000E+00 | 0.00000E+00 | 0.00000E+00 | 0.00000E+00 | 0.00000E+00 | 1.00000E+00 | 0.00000E+00 | 0.00000E+00 | 1.00000E+00 | 1.00000E+00 | NaN | |
| Rank | 7 | 9 | 8 | 11 | 10 | 6 | 1 | 3 | 5 | 4 | 12 | 2 | |
| F23 | Best | −1.05001E+01 | −2.77796E+00 | −7.31803E+00 | −2.31496E+00 | −3.00200E+00 | −6.47273E+00 | −5.25031E+00 | −4.80523E+00 | −5.48013E+00 | −7.34055E+00 | −3.60167E+00 | −4.72881E+00 |
| Average | −1.05362E+01 | −3.83543E+00 | −9.85627E+00 | −3.90787E+00 | −3.69664E+00 | −1.05279E+01 | −1.05238E+01 | −1.05364E+01 | −1.05353E+01 | −9.99912E+00 | −5.26814E+00 | −1.05363E+01 | |
| Worst | 2.72183E-02 | 7.04984E-01 | 2.74611E+00 | 1.81341E+00 | 4.65029E-01 | 4.67868E+00 | 3.54893E+00 | 3.87825E+00 | 3.54674E+00 | 2.63311E+00 | 1.65106E+00 | 3.97103E+00 | |
| STD | 5.33147E-02 | 1.54645E-02 | 9.90938E-01 | 1.99713E-02 | 1.75727E-02 | 7.57449E-01 | 3.80667E-01 | 3.20932E-01 | 4.31891E-01 | 1.00000E+00 | 5.28599E-02 | 3.14994E-01 | |
| p-value | 0.00000E+00 | 1.00000E+00 | 0.00000E+00 | 1.00000E+00 | 1.00000E+00 | 0.00000E+00 | 0.00000E+00 | 0.00000E+00 | 0.00000E+00 | 0.00000E+00 | 0.00000E+00 | NaN | |
| h | 0.00000E+00 | 0.00000E+00 | 1.00000E+00 | 1.00000E+00 | 1.00000E+00 | 0.00000E+00 | 0.00000E+00 | 1.00000E+00 | 0.00000E+00 | 0.00000E+00 | 1.00000E+00 | NaN | |
| Rank | 3 | 11 | 8 | 10 | 12 | 5 | 6 | 1 | 4 | 7 | 9 | 2 | |
| Mean ranking | 7.7000 | 5.7000 | 8.0000 | 9.3000 | 8.1000 | 5.9000 | 3.9000 | 5.1000 | 5.8000 | 7.2000 | 9.3000 | 1.9000 | |
| Final ranking | 8 | 4 | 9 | 11 | 10 | 6 | 2 | 3 | 5 | 7 | 11 | 1 | |
| Number | Dataset | Features No. | Instances No. | Classes No. |
|---|---|---|---|---|
| 1 | Cancer | 9 | 683 | 2 |
| 2 | CMC | 10 | 1473 | 3 |
| 3 | Glass | 9 | 214 | 7 |
| 4 | Iris | 4 | 150 | 3 |
| 5 | Seeds | 7 | 210 | 3 |
| 6 | Heart | 13 | 270 | 2 |
| 7 | Vowels | 6 | 871 | 3 |
| 8 | Water | 13 | 178 | 3 |
| Dataset | Metric | Comparative Algorithms | ||||||||
|---|---|---|---|---|---|---|---|---|---|---|
| AO | PSO | GWO | AVOA | ESOA | RSA | GND | DMOA | GNDDMOA | ||
| Cancer | Worst | 3.1592E+03 | 1.2729E+03 | 2.9779E+03 | 3.4385E+03 | 3.6180E+03 | 3.5209E+03 | 3.5209E+03 | 3.5209E+03 | 8.4984E+02 |
| Average | 2.8610E+03 | 8.6892E+02 | 2.7501E+03 | 3.0790E+03 | 3.3785E+03 | 3.1189E+03 | 3.1189E+03 | 3.1189E+03 | 4.9033E+02 | |
| Best | 2.5863E+03 | 5.9737E+02 | 2.4492E+03 | 2.7293E+03 | 3.2551E+03 | 2.8825E+03 | 2.8825E+03 | 2.8825E+03 | 2.9166E+02 | |
| STD | 2.2974E+02 | 2.5014E+02 | 2.6545E+02 | 3.4016E+02 | 1.3956E+02 | 2.7208E+02 | 2.7208E+02 | 2.7208E+02 | 2.3947E+02 | |
| p-value | 1.4395E-01 | 8.1589E-07 | 6.1859E-02 | 8.4297E-01 | 9.4260E-02 | 1.0000E+00 | 2.1026E-07 | 1.0000E+00 | NaN | |
| h | 0 | 1 | 0 | 0 | 0 | 0 | 1 | 0 | NaN | |
| Rank | 4 | 2 | 3 | 5 | 9 | 6 | 6 | 6 | 1 | |
| CMC | Worst | 3.3117E+02 | 9.4691E+01 | 3.1026E+02 | 3.3478E+02 | 3.3533E+02 | 3.3468E+02 | 3.3468E+02 | 3.3468E+02 | 8.8935E+01 |
| Average | 3.3004E+02 | 7.9613E+01 | 3.0519E+02 | 3.3406E+02 | 3.3477E+02 | 3.3372E+02 | 3.3372E+02 | 3.3372E+02 | 7.0075E+01 | |
| Best | 3.2885E+02 | 5.7831E+01 | 3.0154E+02 | 3.3311E+02 | 3.3442E+02 | 3.3258E+02 | 3.3258E+02 | 3.3258E+02 | 5.3553E+01 | |
| STD | 9.0149E-01 | 1.5182E+01 | 4.0251E+00 | 6.8252E-01 | 4.2332E-01 | 1.0085E+00 | 1.0085E+00 | 1.0085E+00 | 1.5177E+01 | |
| p-value | 2.9606E-04 | 2.9013E-10 | 3.1825E-07 | 5.5507E-01 | 6.3321E-02 | 1.0000E+00 | 2.1574E-10 | 1.0000E+00 | NaN | |
| h | 1 | 1 | 1 | 0 | 0 | 0 | 1 | 0 | NaN | |
| Rank | 4 | 2 | 3 | 8 | 9 | 5 | 5 | 5 | 1 | |
| Glass | Worst | 3.1476E+01 | 3.4991E+01 | 3.0785E+01 | 3.5166E+01 | 3.4278E+01 | 3.4991E+01 | 3.4714E+00 | 3.4991E+01 | 1.3134E+01 |
| Average | 3.0739E+01 | 3.4729E+01 | 2.9574E+01 | 3.4582E+01 | 3.3934E+01 | 3.4729E+01 | 1.8534E+00 | 3.4729E+01 | 6.7350E+00 | |
| Best | 3.0234E+01 | 3.4187E+01 | 2.7230E+01 | 3.3382E+01 | 3.3376E+01 | 3.4187E+01 | 0.0000E+00 | 3.4187E+01 | 0.0000E+00 | |
| STD | 4.7670E-01 | 3.1958E-01 | 1.5139E+00 | 6.9570E-01 | 3.4400E-01 | 3.1958E-01 | 1.6312E+00 | 3.1958E-01 | 5.8029E+00 | |
| p-value | 2.9230E-07 | 4.8640E-06 | 7.2749E-05 | 6.8049E-01 | 5.3690E-03 | 1.0000E+00 | 7.5434E-11 | 1.0000E+00 | NaN | |
| h | 1 | 1 | 1 | 0 | 1 | 0 | 1 | 0 | NaN | |
| Rank | 4 | 7 | 3 | 6 | 5 | 7 | 1 | 7 | 2 | |
| Iris | Worst | 2.1066E+01 | 8.1073E+00 | 2.1623E+01 | 2.4819E+01 | 2.4426E+01 | 2.4516E+01 | 2.4516E+01 | 2.4516E+01 | 4.6062E+00 |
| Average | 1.9627E+01 | 5.9202E+00 | 1.6355E+01 | 2.4311E+01 | 2.3540E+01 | 2.4028E+01 | 2.4028E+01 | 2.4028E+01 | 3.5079E+00 | |
| Best | 1.8000E+01 | 3.9083E+00 | 1.3000E+01 | 2.3598E+01 | 2.1822E+01 | 2.3571E+01 | 2.3571E+01 | 2.3571E+01 | 1.9558E+00 | |
| STD | 1.3276E+00 | 1.6153E+00 | 3.5090E+00 | 4.5074E-01 | 1.1007E+00 | 4.6837E-01 | 4.6837E-01 | 4.6837E-01 | 9.7623E-01 | |
| p-value | 1.1362E-04 | 9.4435E-09 | 1.2775E-03 | 3.5987E-01 | 3.8755E-01 | 1.0000E+00 | 1.0597E-10 | 1.0000E+00 | NaN | |
| h | 1 | 1 | 1 | 0 | 0 | 0 | 1 | 0 | NaN | |
| Rank | 4 | 2 | 3 | 9 | 5 | 6 | 6 | 6 | 1 | |
| Seeds | Worst | 4.0056E+01 | 1.9804E+01 | 3.7522E+01 | 5.0098E+01 | 5.0353E+01 | 5.0100E+01 | 1.2279E+01 | 5.0100E+01 | 5.0100E+01 |
| Average | 3.8947E+01 | 1.5515E+01 | 3.6491E+01 | 4.9271E+01 | 4.9714E+01 | 4.9480E+01 | 8.2223E+00 | 4.9480E+01 | 4.9480E+01 | |
| Best | 3.7281E+01 | 1.1480E+01 | 3.5300E+01 | 4.7756E+01 | 4.8833E+01 | 4.7975E+01 | 3.5244E+00 | 4.7975E+01 | 4.7975E+01 | |
| STD | 1.2860E+00 | 3.2178E+00 | 7.9416E-01 | 8.9025E-01 | 7.5150E-01 | 8.5910E-01 | 3.3228E+00 | 8.5910E-01 | 8.5910E-01 | |
| p-value | 3.4263E-07 | 1.4497E-08 | 7.4106E-09 | 7.1572E-01 | 6.5872E-01 | 1.0000E+00 | 3.9494E-09 | 1.0000E+00 | NaN | |
| h | 1 | 1 | 1 | 0 | 0 | 0 | 1 | 0 | NaN | |
| Rank | 4 | 2 | 3 | 5 | 9 | 6 | 1 | 6 | 6 | |
| Statlog | Worst | 1.3896E+03 | 4.8655E+02 | 1.0333E+03 | 1.6978E+03 | 1.6419E+03 | 1.6260E+03 | 1.6260E+03 | 1.6260E+03 | 1.8679E+02 |
| (Heart) | Average | 1.3459E+03 | 3.0815E+02 | 8.8430E+02 | 1.5825E+03 | 1.5420E+03 | 1.5799E+03 | 1.5799E+03 | 1.5799E+03 | 6.6915E+01 |
| Best | 1.2824E+03 | 0.0000E+00 | 7.6551E+02 | 1.3121E+03 | 1.3846E+03 | 1.5203E+03 | 1.5203E+03 | 1.5203E+03 | 0.0000E+00 | |
| STD | 4.3464E+01 | 1.8412E+02 | 1.1016E+02 | 1.6301E+02 | 1.0442E+02 | 3.7995E+01 | 3.7995E+01 | 3.7995E+01 | 7.2880E+01 | |
| p-value | 1.7572E-05 | 3.6100E-07 | 9.4855E-07 | 9.7338E-01 | 4.6736E-01 | 1.0000E+00 | 1.3358E-10 | 1.0000E+00 | NaN | |
| h | 1 | 1 | 1 | 0 | 0 | 0 | 1 | 0 | NaN | |
| Rank | 4 | 2 | 3 | 9 | 5 | 6 | 6 | 6 | 1 | |
| Vowels | Worst | 1.4185E+02 | 1.5349E+02 | 1.3929E+02 | 1.5329E+02 | 1.5277E+02 | 1.5349E+02 | 1.7669E+01 | 1.5349E+02 | 1.4131E+01 |
| Average | 1.3992E+02 | 1.5320E+02 | 1.3404E+02 | 1.5290E+02 | 1.5202E+02 | 1.5320E+02 | 1.3030E+01 | 1.5320E+02 | 8.6215E+00 | |
| Best | 1.3910E+02 | 1.5294E+02 | 1.2862E+02 | 1.5199E+02 | 1.5092E+02 | 1.5294E+02 | 9.6267E+00 | 1.5294E+02 | 0.0000E+00 | |
| STD | 1.1351E+00 | 2.1804E-01 | 5.0427E+00 | 5.6209E-01 | 9.4799E-01 | 2.1804E-01 | 3.1373E+00 | 2.1804E-01 | 5.2679E+00 | |
| p-value | 5.6372E-09 | 5.5617E-12 | 2.8378E-05 | 3.0031E-01 | 2.6088E-02 | 1.0000E+00 | 1.1470E-13 | 1.0000E+00 | NaN | |
| h | 1 | 1 | 1 | 0 | 1 | 0 | 1 | 0 | NaN | |
| Rank | 4 | 7 | 3 | 6 | 5 | 7 | 2 | 7 | 1 | |
| Wine | Worst | 3.4409E+03 | 1.5310E+03 | 3.0087E+03 | 3.9512E+03 | 3.9760E+03 | 3.9109E+03 | 3.9109E+03 | 3.9109E+03 | 7.9668E+02 |
| Average | 3.2933E+03 | 1.1993E+03 | 2.7732E+03 | 3.7821E+03 | 3.8685E+03 | 3.8368E+03 | 3.8368E+03 | 3.8368E+03 | 4.8149E+02 | |
| Best | 3.0865E+03 | 9.4545E+02 | 2.5519E+03 | 3.5494E+03 | 3.7232E+03 | 3.6569E+03 | 3.6569E+03 | 3.6569E+03 | 2.4170E+02 | |
| STD | 1.4475E+02 | 2.4770E+02 | 1.9708E+02 | 1.6486E+02 | 1.0963E+02 | 1.0308E+02 | 1.0308E+02 | 1.0308E+02 | 2.1264E+02 | |
| p-value | 1.3237E-04 | 1.9363E-08 | 5.1348E-06 | 5.4670E-01 | 6.4986E-01 | 1.0000E+00 | 1.0540E-09 | 1.0000E+00 | NaN | |
| h | 1 | 1 | 1 | 0 | 0 | 0 | 1 | 0 | NaN | |
| Rank | 4 | 2 | 3 | 5 | 9 | 6 | 6 | 6 | 1 | |
| Mean | ranking | 4 | 3.25 | 3 | 6.625 | 7 | 6.125 | 4.125 | 6.125 | 1.75 |
| Final | ranking | 4 | 3 | 2 | 8 | 9 | 6 | 5 | 6 | 1 |
| Centroids | Computed Centroids | ||||||||
|---|---|---|---|---|---|---|---|---|---|
| Att.1 | Att.2 | Att.3 | Att.4 | Att.5 | Att.6 | Att.7 | Att.8 | Att.9 | |
| Centroid1 | 0.085426 | 0.044615 | 0.149162 | 0.014198 | 0.003553 | 0.037851 | 0.014524 | 0.023029 | 0.980817 |
| Centroid2 | 0.230961 | 0.105383 | 0.372021 | 0.031241 | 0.007654 | 0.096151 | 0.047016 | 0.038886 | 0.869978 |
| Centroids | Computed Centroids | ||||||||
|---|---|---|---|---|---|---|---|---|---|
| Att.1 | Att.2 | Att.3 | Att.4 | Att.5 | Att.6 | Att.7 | Att.8 | Att.9 | |
| Centroid1 | 0.978987 | 0.088763 | 0.098835 | 0.07187 | 0.020524 | 0.01994 | 0.05078 | 0.091246 | 0.001044 |
| Centroid2 | 0.971464 | 0.067776 | 0.083852 | 0.15808 | 0.025304 | 0.021937 | 0.063297 | 0.080191 | 0.002949 |
| Centroid3 | 0.957527 | 0.13305 | 0.147809 | 0.059495 | 0.035547 | 0.031265 | 0.090951 | 0.128138 | 0.000842 |
| Centroids | Computed Centroids | ||||||||
|---|---|---|---|---|---|---|---|---|---|
| Att.1 | Att.2 | Att.3 | Att.4 | Att.5 | Att.6 | Att.7 | Att.8 | Att.9 | |
| Centroid1 | 0.02061 | 0.18012 | 0.00540 | 0.03709 | 0.97118 | 0.07973 | 0.09762 | 0.00113 | 0.00588 |
| Centroid2 | 0.01999 | 0.19245 | 0.00296 | 0.02762 | 0.97056 | 0.00167 | 0.11523 | 0.01248 | 0.00063 |
| Centroid3 | 0.02082 | 0.22249 | 0.06071 | 0.03169 | 0.97711 | 0.01072 | 0.18637 | 0.02831 | 0.00620 |
| Centroid4 | 0.02077 | 0.19472 | 0.04711 | 0.03284 | 0.96811 | 0.02312 | 0.07461 | 0.01759 | 0.00514 |
| Centroid5 | 0.02054 | 0.17633 | 0.04710 | 0.01750 | 0.97625 | 0.00742 | 0.11419 | 0.00053 | 0.00095 |
| Centroid6 | 0.02060 | 0.15255 | 0.00487 | 0.02105 | 0.96373 | 0.00808 | 0.19967 | 0.00951 | 0.00413 |
| Centroid7 | 0.01983 | 0.18076 | 0.00618 | 0.01793 | 0.97014 | 0.00281 | 0.14893 | 0.00189 | 0.00092 |
| Centroids | Computed Centroids | |||
|---|---|---|---|---|
| Att.1 | Att.2 | Att.3 | Att.4 | |
| Centroid1 | 0.78841 | 0.54897 | 0.22388 | 0.03680 |
| Centroid2 | 0.80499 | 0.51071 | 0.25129 | 0.03061 |
| Centroid3 | 0.69699 | 0.32196 | 0.54347 | 0.18430 |
| Centroids | Computed Centroids | ||||||
|---|---|---|---|---|---|---|---|
| Att.1 | Att.2 | Att.3 | Att.4 | Att.5 | Att.6 | Att.7 | |
| Centroid1 | 0.69118 | 0.61585 | 0.03447 | 0.23478 | 0.14110 | 0.09708 | 0.22704 |
| Centroid2 | 0.65015 | 0.64070 | 0.03880 | 0.24694 | 0.14448 | 0.15041 | 0.23314 |
| Centroid3 | 0.58337 | 0.65283 | 0.04172 | 0.25781 | 0.13984 | 0.24282 | 0.25227 |
| Centroids | Computed Centroids | ||||||||
|---|---|---|---|---|---|---|---|---|---|
| Att.1 | Att.2 | Att.3 | Att.4 | Att.5 | Att.6 | Att.7 | Att.8 | Att.9 | |
| Centroid1 | 0.15692 | 0.07354 | 0.13146 | 0.25893 | 0.10874 | 0.01314 | 0.25914 | 0.08107 | 0.03341 |
| Centroid2 | 0.11763 | 0.06039 | 0.11620 | 0.23832 | 0.07511 | 0.01084 | 0.24164 | 0.03614 | 0.02834 |
| Centroid3 | 0.14010 | 0.06291 | 0.12439 | 0.27216 | 0.09148 | 0.01024 | 0.25197 | 0.05032 | 0.03041 |
| Centroid4 | 0.13728 | 0.07274 | 0.11291 | 0.37206 | 0.14937 | 0.04883 | 0.23642 | 0.06839 | 0.03261 |
| Att.10 | Att.11 | Att.12 | Att.13 | Att.14 | Att.15 | Att.16 | Att.17 | Att.18 | |
| Centroid1 | 0.252633 | 0.296725 | 0.561287 | 0.284696 | 0.131203 | 0.010264 | 0.015766 | 0.333708 | 0.346391 |
| Centroid2 | 0.185945 | 0.26099 | 0.759601 | 0.250116 | 0.083575 | 0.00749 | 0.011078 | 0.213546 | 0.221326 |
| Centroid3 | 0.201656 | 0.283447 | 0.679536 | 0.235795 | 0.097656 | 0.005132 | 0.021145 | 0.277728 | 0.284671 |
| Centroid4 | 0.213622 | 0.3786 | 0.509401 | 0.299177 | 0.193147 | 0.003979 | 0.023087 | 0.26779 | 0.278233 |
| Centroids | Computed Centroids | ||||||
|---|---|---|---|---|---|---|---|
| Att.1 | Att.2 | Att.3 | Att.4 | Att.5 | Att.6 | Att.7 | |
| Centroid1 | 0.05760 | 0.78271 | 0.10012 | −0.42006 | 0.06997 | −0.01682 | 0.15132 |
| Centroid2 | 0.00997 | 0.09704 | 0.02495 | −0.42639 | 0.26321 | −0.05620 | 0.07325 |
| Centroid3 | 0.07393 | 0.52595 | 0.07043 | −0.37640 | 0.05374 | −0.43633 | 0.11511 |
| Centroid4 | 0.01377 | 0.05108 | 0.11038 | −0.76299 | 0.18300 | −0.19724 | 0.33100 |
| Centroid5 | 0.01556 | 0.58891 | 0.06349 | −0.35810 | 0.27445 | −0.04310 | 0.00170 |
| Centroid6 | 0.03339 | 0.31454 | 0.03313 | −0.33500 | 0.16069 | 0.01696 | 0.10010 |
| Centroid7 | 0.07147 | 0.84126 | 0.04323 | −0.22272 | 0.16595 | −0.05670 | 0.02785 |
| Centroid8 | 0.09569 | 0.263526 | 0.030861 | −0.52748 | 0.047957 | −0.25703 | −0.11063 |
| Centroid9 | 0.101527 | 0.25605 | 0.091137 | −0.73373 | 0.320599 | −0.10329 | 0.042428 |
| Centroid10 | 0.083055 | 0.406116 | 0.087015 | −0.49877 | 0.454723 | −0.29118 | 0.267341 |
| Att.8 | Att.9 | Att.10 | Att.11 | Att.12 | Att.13 | ||
| Centroid1 | 0.03971 | 0.06178 | −0.04524 | −0.04 | −0.08181 | 0.047308 | |
| Centroid2 | −0.11329 | 0.08876 | −0.01936 | 0.0451 | 0.063302 | −0.02938 | |
| Centroid3 | −0.12579 | 0.43386 | 0.073236 | 0.192898 | −0.09094 | 0.002386 | |
| Centroid4 | −0.00738 | 0.40670 | −0.02562 | 0.143418 | −0.09196 | 0.004399 | |
| Centroid5 | −0.04679 | 0.03692 | 0.03327 | 0.053071 | −0.03467 | −0.03581 | |
| Centroid6 | −0.07281 | 0.06521 | −0.041 | 0.091246 | −0.00231 | 0.021923 | |
| Centroid7 | −0.00908 | 0.04410 | 0.009262 | 0.01729 | −0.02707 | 0.000293 | |
| Centroid8 | 0.084824 | 0.160909 | 0.105406 | 0.237928 | −0.12448 | −0.18747 | |
| Centroid9 | 0.078575 | 0.146684 | 0.048265 | 0.177586 | 0.077659 | 0.012697 | |
| Centroid10 | −0.20269 | 0.240748 | 0.044437 | 0.094915 | −0.01742 | −0.02234 | |
| Centroids | Computed Centroids | ||||||
|---|---|---|---|---|---|---|---|
| Att.1 | Att.2 | Att.3 | Att.4 | Att.5 | Att.6 | Att.7 | |
| Centroid1 | 0.02811 | 0.00537 | 0.004874 | 0.04579 | 0.211186 | 0.005178 | 0.00431 |
| Centroid2 | 0.01952 | 0.00384 | 0.003405 | 0.030266 | 0.1486 | 0.003232 | 0.00222 |
| Centroid3 | 0.01255 | 0.00160 | 0.002157 | 0.01533 | 0.092816 | 0.002458 | 0.00248 |
| Att.8 | Att.9 | Att.10 | Att.11 | Att.12 | Att.13 | ||
| Centroid1 | 0.001154 | 0.003444 | 0.008 | 0.002287 | 0.005873 | 0.975659 | |
| Centroid2 | 0.000867 | 0.002059 | 0.008028 | 0.001282 | 0.003416 | 0.988142 | |
| Centroid3 | 0.000339 | 0.001794 | 0.004894 | 0.001025 | 0.002843 | 0.99559 | |
Publisher’s Note: MDPI stays neutral with regard to jurisdictional claims in published maps and institutional affiliations. |
© 2022 by the authors. Licensee MDPI, Basel, Switzerland. This article is an open access article distributed under the terms and conditions of the Creative Commons Attribution (CC BY) license (https://creativecommons.org/licenses/by/4.0/).
Share and Cite
Aldosari, F.; Abualigah, L.; Almotairi, K.H. A Normal Distributed Dwarf Mongoose Optimization Algorithm for Global Optimization and Data Clustering Applications. Symmetry 2022, 14, 1021. https://doi.org/10.3390/sym14051021
Aldosari F, Abualigah L, Almotairi KH. A Normal Distributed Dwarf Mongoose Optimization Algorithm for Global Optimization and Data Clustering Applications. Symmetry. 2022; 14(5):1021. https://doi.org/10.3390/sym14051021
Chicago/Turabian StyleAldosari, Fahd, Laith Abualigah, and Khaled H. Almotairi. 2022. "A Normal Distributed Dwarf Mongoose Optimization Algorithm for Global Optimization and Data Clustering Applications" Symmetry 14, no. 5: 1021. https://doi.org/10.3390/sym14051021
APA StyleAldosari, F., Abualigah, L., & Almotairi, K. H. (2022). A Normal Distributed Dwarf Mongoose Optimization Algorithm for Global Optimization and Data Clustering Applications. Symmetry, 14(5), 1021. https://doi.org/10.3390/sym14051021

