Unified Theory of Unsteady Planar Laminar Flow in the Presence of Arbitrary Pressure Gradients and Boundary Movement
Abstract
:1. Introduction
2. Mathematical Model
2.1. Fluid Flow Model
2.2. Dimensional Form of the IBVP
2.3. Nondimensional form of the IBVP
2.4. Boundary Conditions and Stability of Pulsatile Flows
3. Methods and Materials
3.1. Solution of the Steady-State BVP
3.2. Solution of the Homogeneous IBVP
3.3. Solution of the Non-Homogeneous IBVP for Symmetric Flows
3.4. Global Solution for Symmetrically Driven Flows
3.5. Numerical Method
3.6. Modeling of Pressure Gradients
3.7. Modeling of Wall Oscillations
4. Results and Discussion
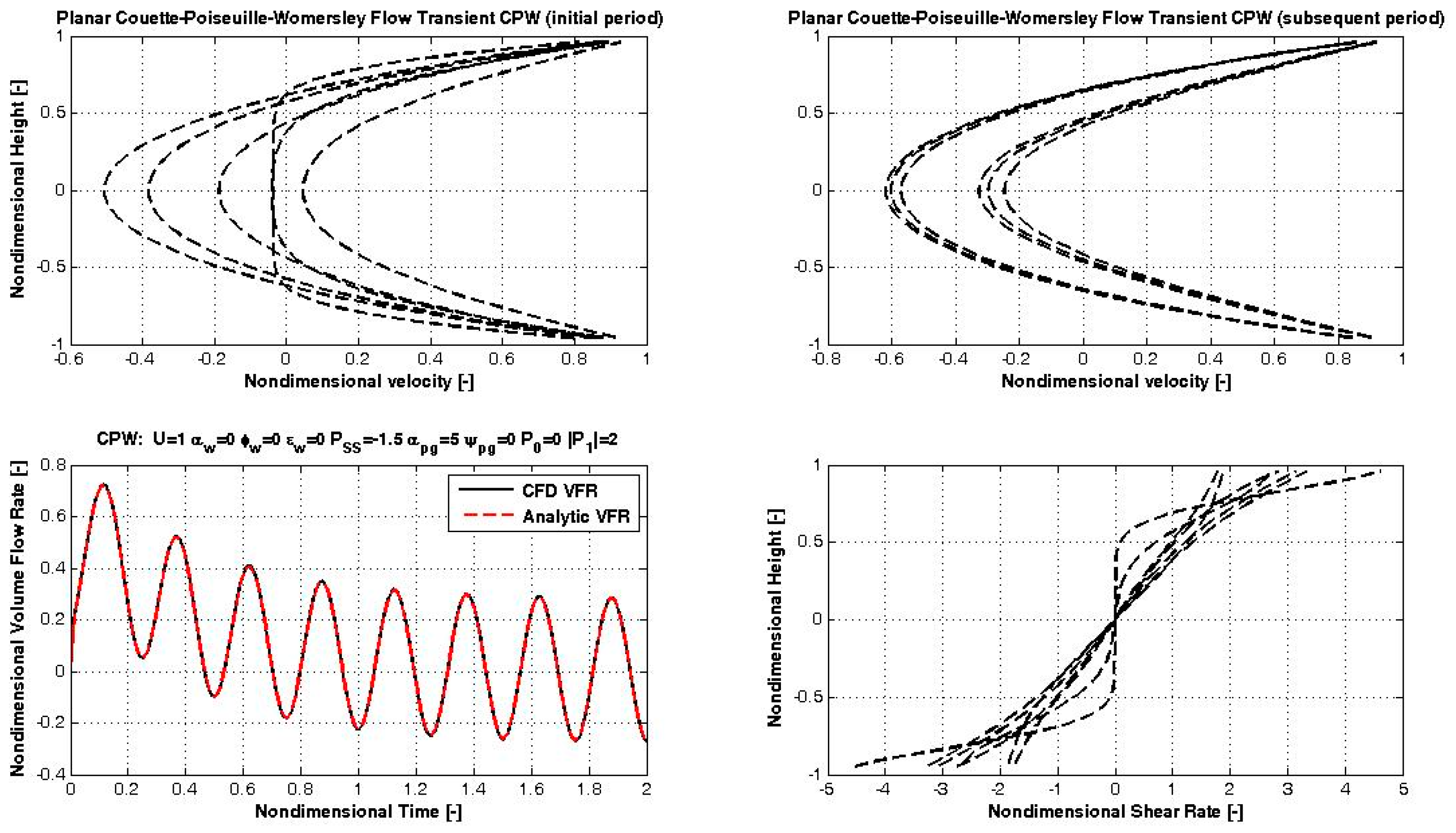
4.1. Unsteady Dynamics and Model Verification
4.2. Results for Unsteady Flows with Nonharmonic Wall Oscillation
5. Conclusions
Funding
Institutional Review Board Statement
Informed Consent Statement
Data Availability Statement
Conflicts of Interest
Nomenclature
| Symbols | |
| a | Square-waveform time weight parameter, [-] |
| b | Acceleration of the wall boundary, [m/s2] |
| cp | Specific heat capacity at constant pressure, [J/ kg K] |
| f | Natural frequency of oscillation, [Hz] |
| g | Average terrestrial acceleration at sea level, [m/s2] |
| h | Height, [m] |
| k | Thermal conductivity, [W/m K] |
| p | Normal stress—pressure, [Pa] |
| T | Period of oscillations, [s] |
| T | Temperature, [K] |
| t | Time, [s] |
| U | Velocity (maximum wall velocity), [m/s] |
| u,v,w | Velocity in axial (longitudinal) direction, [m/s] |
| Greek Symbols | |
| α | Womersley number, [-] |
| β | Coefficient of thermal expansion, [K−1] |
| δ | Thickness, Stokes’ (diffusion) penetration layer, [m] |
| δij | Kronecker delta (=1 for i = j, otherwise = 0 for i ≠ j), [-] |
| Shear rate, [s−1] | |
| Φ | Dissipation function, [kg m−1·s−3 or W/m3] |
| μ | Dynamic viscosity, [Pa s] |
| ρ | Density, [kg/m3] |
| τ | Shear stress, [Pa] |
| ω | Vorticity, [rad/s] |
| Abbreviations | |
| BC | Boundary condition |
| BVP | Boundary value problem |
| CFD | Computational fluid dynamics |
| C-N | Crank–Nicolson implicit scheme |
| CP | Couette–Poiseuille laminar flow |
| CPSW | Couette–Poiseuille–Stokes–Womersley laminar flow |
| CT | Couette (planar) flow |
| CS | Couette–Stokes flow |
| CTCS | Central Time Central Space |
| EEM | Eigenfunction expansion (method) |
| FD | Finite difference |
| FTCS | Forward Time Central Space |
| FVM | Finite-volume method |
| IC | Initial condition |
| IBVP | Initial boundary value problem |
| MD | Molecular dynamics |
| MMC | Metropolis Monte Carlo |
| N-S | Navier–Stokes hydrodynamic equation |
| ODE | Ordinary differential equation |
| PDE | Partial differential equation |
| PO | Poiseuille (planar) flow |
| PW | Poiseuille–Womersley flow |
| QSS | Quasi-steady-state |
| SOV | Separation of variables |
| ST | Stokes’ flow |
| ST1 | Stokes’ flow (1st problem) |
| ST2 | Stokes’ flow (2nd problem) |
| TDMA | Thomas’ tridiagonal matrix algorithm |
| WO | Womersley laminar flow (also Womersley number) |
References
- Lamb, H. Hydrodynamics, 6th ed.; Dover Publications: New York, NY, USA, 1945. [Google Scholar]
- Schlichting, H. Boundary-Layer Theory, 7th ed.; Mc-Graw Hill: New York, NY, USA, 1987. [Google Scholar]
- Batchelor, G.K. An Introduction to Fluid Dynamics; Cambridge University Press: Cambridge, UK, 2000. [Google Scholar]
- Landau, L.D.; Lifshitz, E.M. Fluid Mechanics, 6th ed.; Butterworth Heinemann: Oxford, UK, 1987. [Google Scholar]
- White, F.M. Viscous Fluid Flow; McGraw-Hill, Inc.: New York, NY, USA, 1991. [Google Scholar]
- Sherman, F.S. Viscous Flow; McGraw-Hill: New York, NY, USA, 1991. [Google Scholar]
- Panton, R.L. Incompressible Flow, 3rd ed.; John Wiley & Sons: Hoboken, NJ, USA, 2005. [Google Scholar]
- Kundu, P.K.; Cohen, I.M. Fluid Mechanics, 4th ed.; Elsevier: New York, NY, USA, 2007. [Google Scholar]
- Wang, C.Y. Exact solutions of the steady-state Navier-Stokes equations. Annu. Rev. Fluid Mech. 1991, 23, 159–177. [Google Scholar] [CrossRef]
- Drazin, P.G.; Reid, W.H. Hydrodynamic Stability; Cambridge University Press: Cambridge, UK, 1981. [Google Scholar]
- Sexl, T.; Über den von, E.G. Richardson entdeckten “Annulareffekt”. Zeit. Phys. 1930, 61, 349–362. [Google Scholar] [CrossRef]
- Womersley, J.R. Method for the calculation of velocity, rate of flow, and viscous drag in arteries when the pressure gradient is known. J. Physiol. 1955, 127, 553–563. [Google Scholar] [CrossRef]
- Berker, R. Intégration des équations du movement d’un fluide visqueux incompressible. In Handbuch der Physik; Flugge, S., Ed.; Springer: Berlin, Germany, 1963; Volume VIII/2, pp. 1–384. [Google Scholar]
- Wang, C.Y. Exact Solutions of the Unsteady Navier-Stokes Equations. Appl. Mech. Rev. 1989, 42, S269–S282. [Google Scholar] [CrossRef]
- Loudon, C.; Tordesillas, A. The Use of the Dimensionless Womersley Number to Characterize the Unsteady Nature of Internal Flow. J. Theor. Biol. 1998, 191, 63–78. [Google Scholar] [CrossRef]
- Nichols, W.N.; O’Rourke, M.F. McDonald’s Blood Flow in Arteries, 3rd ed.; Edward Arnold: London, UK, 1990. [Google Scholar]
- Daidzic, N.E. Application of Womersley Model to Reconstruct Pulsatile Arterial Hemodynamics based on Doppler Ultrasound Measurements. J. Fluids Eng. 2014, 136, 041102. [Google Scholar] [CrossRef]
- Daidzic, N.E.; Hossain, M.S. The Model of Micro-Fluidic Pump with Vibrating Boundaries. In Proceedings of the 14th International Conference on Applied Mechanics and Mechanical Engineering, Cairo, Egypt, 25–27 May 2010. [Google Scholar]
- Hossain, S.; Daidzic, N.E. The Shear-Driven Fluid Motion Using Oscillating Boundaries. J. Fluids Eng. 2012, 134, 051203. [Google Scholar] [CrossRef]
- Carslaw, H.S.; Jaeger, J.C. Conduction of Heat in Solids, 2nd ed.; Clarendon Press: Oxford, UK, 1959. [Google Scholar]
- He, X.; Luo, L.-S. Lattice Boltzmann Model for the Incompressible Navier-Stokes Equation. J. Stat. Phys. 1997, 88, 927–944. [Google Scholar] [CrossRef]
- Chen, S.; Doolen, G.D. Lattice Boltzmann Method for Fluid Flows. Annu. Rev. Fluid Mech. 1998, 30, 329–364. [Google Scholar] [CrossRef] [Green Version]
- Cercignani, C. Ludwig Boltzman: The Man Who Trusted Atoms; Oxford University Press, Inc.: New York, NY, USA, 1998. [Google Scholar]
- Succi, S. The Lattice Boltzmann Equation: For Fluid Dynamics and Beyond; Oxford University Press, Inc.: New York, NY, USA, 2001. [Google Scholar]
- Allen, M.P.; Tildesley, D.J. Computer Simulation of Liquids; Oxford Science Publications, Inc.: New York, NY, USA, 1987. [Google Scholar]
- Koplik, J.; Banavar, J.R.; Willemsen, J.F. Molecular dynamics of fluid flow at solid surfaces. Phys. Fluids A Fluid Dyn. 1989, 1, 781–794. [Google Scholar] [CrossRef]
- Koplik, J.; Banavar, J.R. Continuum Deductions from Molecular Hydrodynamics. Annu. Rev. Fluid Mech. 1995, 27, 257–292. [Google Scholar] [CrossRef]
- Thompson, P.A.; Troian, S.M. A general boundary condition for liquid flow at solid surfaces. Nature 1997, 389, 360–362. [Google Scholar] [CrossRef]
- Leach, A.R. Molecular Modeling: Principles and Applications, 2nd ed.; Pearson: Harlow, UK, 2001. [Google Scholar]
- Karniadakis, G.; Beskok, A.; Aluru, N. Microflows and Nanoflows: Fundamentals and Simulation; Springer: Berlin, Germany, 2005. [Google Scholar]
- Nguyen, N.-T.; Wereley, S.T. Fundamentals and Applications of Microfluidics; Artech House: Boston, MA, USA, 2006. [Google Scholar]
- McDonald, D.A. The relation of pulsatile pressure to flow in arteries. J. Physiol. 1955, 127, 533–552. [Google Scholar] [CrossRef] [PubMed]
- Hale, J.F.; McDonald, D.A.; Womersley, J.R. Velocity profiles of oscillating arterial flow, with some calculations of viscous drag and the Reynolds number. J. Physiol. 1955, 128, 629–640. [Google Scholar] [CrossRef] [PubMed]
- Womersley, J. XXIV. Oscillatory motion of a viscous liquid in a thin-walled elastic tube—I: The linear approximation for long waves. Lond. Edinb. Dublin Philos. Mag. J. Sci. 1955, 46, 199–221. [Google Scholar] [CrossRef]
- Womersley, J.R. Oscillatory Flow in Arteries: The Constrained Elastic Tube as a Model of Arterial Flow and Pulse Transmission. Phys. Med. Biol. 1957, 2, 178–187. [Google Scholar] [CrossRef]
- Ku, D.N. Blood Flow in Arteries. Annu. Rev. Fluid Mech. 1997, 29, 399–434. [Google Scholar] [CrossRef]
- Giusti, A.; Mainardi, F. A dynamic viscoelastic analogy for fluid-filled elastic tubes. Meccanica 2016, 51, 2321–2330. [Google Scholar] [CrossRef] [Green Version]
- Cinthio, M.; Ahlgren, Å.R.; Bergkvist, J.; Jansson, T.; Persson, H.W.; Lindström, K. Longitudinal movements and resulting shear strain of the arterial wall. Am. J. Physiol.-Heart Circ. Physiol. 2006, 291, H394–H402. [Google Scholar] [CrossRef] [Green Version]
- Tikhonov, A.N.; Samarskii, A.A. Equations of Mathematical Physics; Dover Publications, Inc.: New York, NY, USA, 1990. [Google Scholar]
- Strauss, W.A. Partial Differential Equations: An Introduction; John Wiley & Sons, Inc.: New York, NY, USA, 1992. [Google Scholar]
- Tolstov, G.P. Fourier Series; Dover Publications, Inc.: New York, NY, USA, 1976. [Google Scholar]
- Cooper, J. Introduction to Partial Differential Equations with MATLAB; Birkhäuser: Boston, MA, USA, 1998. [Google Scholar]
- Haberman, R. Applied Partial Differential Equations: With Fourier Series and Boundary Value Problems, 4th ed.; Pearson Prentice Hall: Upper Saddle River, NJ, USA, 2004. [Google Scholar]
- Riesz, F.; Sz-Nagy, B. Functional Analysis; Frederick Ungar Publishing Co., Inc.: New York, NY, USA, 1972. [Google Scholar]
- Kreyszig, E. Introductory Functional Analysis with Applications, 4th ed.; John Wiley & Sons: New York, NY, USA, 1978. [Google Scholar]
- Curtain, R.F.; Pritchard, A.J. Functional Analysis in Modern Applied Mathematics; Academic Press: London, UK, 1977. [Google Scholar]
- Kolmogorov, A.N.; Fomin, S.V. Introductory Real Analysis; Dover Publications, Inc.: New York, NY, USA, 1970. [Google Scholar]
- MacCluer, C.R. Boundary Value Problems and Orthogonal Expansions; IEEE Press: New York, NY, USA, 1994. [Google Scholar]
- Burk, F. Lebesgue Measure and Integration; John Wiley & Sons: New York, NY, USA, 1998. [Google Scholar]
- Shilov, G.E.; Gurevich, B.L. Integral, Measure, and Derivative: A Unified Approach; Dover Publications, Inc.: New York, NY, USA, 1977. [Google Scholar]
- Boyce, W.E.; DiPrima, R.C. Elementary Differential Equations and Boundary Value Problems, 9th ed.; John Wiley & Sons, Inc.: Hoboken, NJ, USA, 2010. [Google Scholar]
- Carslaw, H.S. An Introduction to the Theory of Fourier’s Series and Integrals, 3rd ed.; Dover Publications, Inc.: New York, NY, USA, 1950. [Google Scholar]
- Churchill, R.V.; Brown, J.W. Fourier Series and Boundary Value Problems, 3rd ed.; McGraw-Hill: New York, NY, USA, 1985. [Google Scholar]
- Kreyszig, E. Advanced Engineering Mathematics, 4th ed.; John Wiley & Sons: New York, NY, USA, 1979. [Google Scholar]
- Smith, L.P. Mathematical Methods for Scientists and Engineers; Prentice Hall, Inc.: New York, NY, USA, 1953. [Google Scholar]
- Tang, K.T. Mathematical Methods for Engineers and Scientists; Springer: Berlin, Germany, 2007. [Google Scholar]
- Patankar, S.V. Numerical Heat Transfer and Fluid Flow; Hemisphere Publishing Corporation, McGraw-Hill Book Company: Washington, DC, USA, 1980. [Google Scholar]
- Press, W.H.; Teukolsky, S.A.; Vetterling, W.T.; Flannery, B.P. Numerical Recipes in FORTRAN: The Art of Scientific Computing, 2nd ed.; Cambridge University Press: Cambridge, UK, 1992. [Google Scholar]
- Thomas, J.W. Numerical Partial Differential Equations: Finite Difference Methods; Springer Science and Business Media LLC: New York, NY, USA, 1995. [Google Scholar]
- Ferziger, J.H.; Peric, M. Computational Methods for Fluid Dynamics; Springer: Berlin, Germany, 1997. [Google Scholar]
- Rajagopal, K.; Saccomandi, G.; Vergori, L. Unsteady flows of fluids with pressure dependent viscosity. J. Math. Anal. Appl. 2013, 404, 362–372. [Google Scholar] [CrossRef]
- Fetecau, C.; Narahari, M. General Solutions for Hydromagnetic Flow of Viscous Fluids between Horizontal Parallel Plates through Porous Medium. J. Eng. Mech. 2020, 146, 04020053. [Google Scholar] [CrossRef]












Publisher’s Note: MDPI stays neutral with regard to jurisdictional claims in published maps and institutional affiliations. |
© 2022 by the author. Licensee MDPI, Basel, Switzerland. This article is an open access article distributed under the terms and conditions of the Creative Commons Attribution (CC BY) license (https://creativecommons.org/licenses/by/4.0/).
Share and Cite
Daidzic, N.E. Unified Theory of Unsteady Planar Laminar Flow in the Presence of Arbitrary Pressure Gradients and Boundary Movement. Symmetry 2022, 14, 757. https://doi.org/10.3390/sym14040757
Daidzic NE. Unified Theory of Unsteady Planar Laminar Flow in the Presence of Arbitrary Pressure Gradients and Boundary Movement. Symmetry. 2022; 14(4):757. https://doi.org/10.3390/sym14040757
Chicago/Turabian StyleDaidzic, Nihad E. 2022. "Unified Theory of Unsteady Planar Laminar Flow in the Presence of Arbitrary Pressure Gradients and Boundary Movement" Symmetry 14, no. 4: 757. https://doi.org/10.3390/sym14040757
APA StyleDaidzic, N. E. (2022). Unified Theory of Unsteady Planar Laminar Flow in the Presence of Arbitrary Pressure Gradients and Boundary Movement. Symmetry, 14(4), 757. https://doi.org/10.3390/sym14040757
