Neutron Stars with Baryon Number Violation, Probing Dark Sectors
Abstract
1. Introduction
2. Setting the Stage—The Neutron Lifetime Anomaly
Constraints from Empirical Studies of Neutron Decay within the SM
3. Neutron Stars with Baryon Number Violation
3.1. General Conditions
- The new final state particles participate in annihilation or decay channels to yield particles already present plus neutrinos and photons.
- Their production rate () is much less than their elimination rate via annihilation or decay .
3.2. Effects of Slow BNV Perturbations
3.3. Constraining BNV from Neutron Star Observations
- PSR B1913+16: This binary system (Hulse–Taylor binary) is the first binary pulsar ever discovered [139], and consists of a neutron star () and a pulsar () with a pulse period of 59 ms. We use the results from the analysis in Ref. [140] which is based on timing measurements performed over the last 35 years.
- PSR J0737−3039A/B: The only known double pulsar was discovered in 2003 [141], and is comprised of two radio pulsars (A and B) with masses , , and with pulse periods of ms and ms, respectively. We use Ref. [138] which is based on data acquired over 16 years of observation. As a result of the increased accuracy in measurements, the higher-order GR corrections (3.5PN) to , and contribution to from the spin-down of pulsar A are added [138].
- PSR J1713+0747: This binary system was discovered in 1993 [142], and it contains a ms radio pulsar with and a companion white dwarf with [143]. A sub-microsecond precision is achieved at measuring its pulse time of arrivals [143] owing to the short spin period and its narrow profile. It has a much longer orbital period ( day) compared to the other two binaries considered here. This is why the inferred limit on is one order of magnitude better than the limit from the Hulse–Taylor binary despite the higher precision in the latter.
4. Implications of Apparent BNV
5. Implications of Explicit BNV
5.1. Processes with
5.2. Processes with
- Explicit and apparent BNV are not mutually exclusive. If mirror neutrons exist and dynamics are operative, then one can consider simultaneous oscillations among all four of . It has been proposed that oscillations may operate through a “shortcut” [273] through the mirror neutron, via : these transitions may occur even if the matrix element is small. This framework can be difficult to test due to the ill-constrained Hamiltonian involving the interactions of the mirror neutron. Proposals exist to probe this scenario at the European Spallation Source [265], at Oak Ridge National Laboratory [274], and at the Paul Scherrer Institute [275].
- Equation (55) assumes that the n and are exactly degenerate in the experimental environment. There are several reasons why this would not be the case; among these are the presence of external matter and magnetic fields [276,277], which lift the degeneracy and suppress oscillations. While these suppress oscillations, they may also stimulate phenomena via other mechanisms, such as neutron-antineutron conversion via scattering, such as . This may be generated either by long-distance contributions (as in, e.g., Ref. [278]) or through short-distance contributions in SMEFT—these processes can select different subsets of operators from those that generate oscillations directly. The latter come with higher inverse powers of the new scale; this may allow for to be lowered to the TeV scale without running aground of existing constraints.
5.3. Connections to Lepton Number Violation
5.4. Effects in Neutron Stars
- Processes that destroy two nucleons. These include processes such as , etc. This is completely analogous to dinucleon decay, discussed above.
- Processes that convert nucleons to antinucleons. These include scattering processes such as .
- Those produced directly in the BNV reaction.
- Those produced by the weak reactions that restore chemical equilibrium after some BNV process has disrupted it (i.e., Urca reactions).
- Those emitted as a result of the heating of the star, via processes such as .
6. Implications of Spontaneous BNV
6.1. Laboratory Constraints on a New Gauge Boson
- This new interaction would also change energy levels, relative to QED predictions, of the antiproton-helium (-He) bound state. The constraint from Ref. [338] is shown in blue.
- New forces also change the charge radii and binding energies of nuclei. Ref. [339] studies the effects of new nuclear-range interactions on Ca, Sn, and Pb; their constraint is shown in light blue.
- This interaction would modify the long-distance potential between two protons in the Sun, thereby altering the rate of solar fusion. This could then (1) change the inferred age of the Sun to be inconsistent with the age of the solar system, and (2) modify solar neutrino production to be inconsistent with observations. Constraints have been derived in Ref. [340]. These are shown in shades of pink, corresponding to different proton energies: 10 (light), 50 (medium), and 100 (dark) keV.
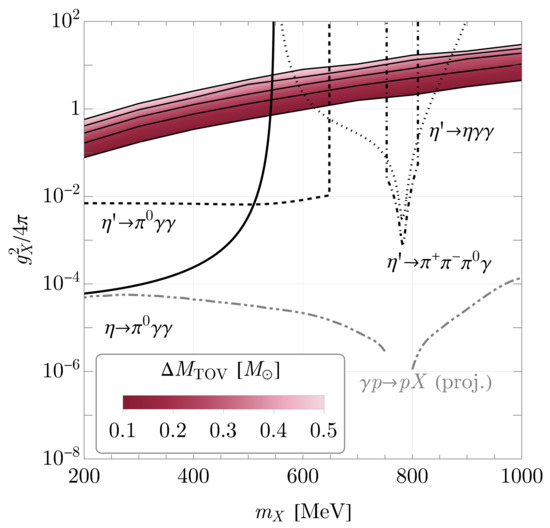
- The meson decays radiatively to and X, e.g., . The computed rate of this process is scheme dependent: rates calculated at the quark level are different than rates calculated in, e.g., the vector meson dominance (VMD) scheme; see Appendix A.1 of Ref. [330].
- The X then decays into some observable final state. At tree level, X can decay to, e.g., or . If there exists some nontrivial kinetic mixing with , then X may also decay into dilepton pairs, or , even though these are uncharged under B. Additionally, because X only couples to isoscalar currents, tree-level decays to are absent, barring either (1) nonzero kinetic mixing, or (2) more complicated gauge structures.
6.2. Effects in Neutron Stars—Heavy X
- Neutron stars can be more massive. The increase in the energy density of a given fluid element, relative to some nominal prediction, partially offsets some of the gravitational binding energy of the neutron star, resulting in a heavier star. The heaviest confirmed neutron star, PSR J0740+6620, was initially determined to have a mass [397], though this has since been refined to [398]; any candidate EoS must be stiff enough to support neutron stars at least this heavy.
- Neutron stars have larger radii. As the EoS is stiffened, the increase in pressure makes nuclear matter harder to compress. Therefore, a neutron star of a fixed gravitational mass will be physically larger with a stiffer EoS.
6.3. Effects in Neutron Stars—(Ultra-)Light X
- a flux of the new state, which one could hope to observe directly; or
7. Other Imprints of DM Physics on NSs and Their Mergers
8. Summary
- In the presence of BNV, the distribution of neutron star masses to be found through gravitational wave studies can be expected to change with lookback time. We note that over the local volume available to us with present and next-generation gravitational wave detectors, the population of stars available to form neutron stars should differ little, making shifts in the mass distribution of the ensemble sensitive to the possibility of BNV effects, albeit likely apparent ones.
- It is possible that BNV can produce unbearably light neutron stars, leading to explosions with detectable signatures in X-rays or soft gamma rays [120]. This may be difficult to realize, however, as common mechanisms of neutron star formation favor roughly stars and as BNV may become inefficient, due to its possible density dependence, in the lightest mass neutron stars.
- We can hope to detect neutron stars of sub-solar mass. This may speak to new mechanisms for neutron star formation and possibly, too, to BNV.
- The possibility of compact objects that are bright in X-ray or neutrino emission may allow the detection of these objects individually, or more probably, through their additional contributions to the diffuse supernova neutrino background, which may soon be detected at Super-K [492]. This effect has also been suggested from considerations of binary-star interactions [493].
- BNV processes with final states involving photons, mesons, and charged leptons (e.g., ) can be expected to dump all of their energy back into the NS, raising the temperature of the NS to a potentially detectable level, given upcoming observational possibilities, both in X-ray and the optical [494]. Ground-based follow-up optical studies of targets of opportunity from gravitational wave observations, given their expected sensitivity [495], may also yield new surprises. Put more pithily, old neutron stars should be cold; if they are not, then this would really be quite a coup.
Author Contributions
Funding
Institutional Review Board Statement
Informed Consent Statement
Data Availability Statement
Acknowledgments
Conflicts of Interest
References
- Baym, G.; Bethe, H.A.; Pethick, C. Neutron star matter. Nucl. Phys. A 1971, 175, 225–271. [Google Scholar] [CrossRef]
- Baym, G.; Pethick, C. Neutron Stars. Ann. Rev. Nucl. Part. Sci. 1975, 25, 27–77. [Google Scholar] [CrossRef]
- Lattimer, J.M.; Prakash, M. The physics of neutron stars. Science 2004, 304, 536–542. [Google Scholar] [CrossRef]
- Lattimer, J.M. The nuclear equation of state and neutron star masses. Ann. Rev. Nucl. Part. Sci. 2012, 62, 485–515. [Google Scholar] [CrossRef]
- Landry, P.; Essick, R.; Chatziioannou, K. Nonparametric constraints on neutron star matter with existing and upcoming gravitational wave and pulsar observations. Phys. Rev. D 2020, 101, 123007. [Google Scholar] [CrossRef]
- Legred, I.; Chatziioannou, K.; Essick, R.; Han, S.; Landry, P. Impact of the PSR J0740+6620 radius constraint on the properties of high-density matter. Phys. Rev. D 2021, 104, 063003. [Google Scholar] [CrossRef]
- Gould, A.; Draine, B.T.; Romani, R.W.; Nussinov, S. Neutron Stars: Graveyard of Charged Dark Matter. Phys. Lett. B 1990, 238, 337–343. [Google Scholar] [CrossRef]
- McDermott, S.D.; Yu, H.B.; Zurek, K.M. Constraints on Scalar Asymmetric Dark Matter from Black Hole Formation in Neutron Stars. Phys. Rev. D 2012, 85, 023519. [Google Scholar] [CrossRef]
- Iwamoto, N. Axion Emission From Neutron Stars. Phys. Rev. Lett. 1984, 53, 1198–1201. [Google Scholar] [CrossRef]
- Turner, M.S. Axions from SN 1987a. Phys. Rev. Lett. 1988, 60, 1797. [Google Scholar] [CrossRef]
- Brinkmann, R.P.; Turner, M.S. Numerical rates for nucleon-nucleon, axion bremsstrahlung. Phys. Rev. D 1988, 38, 2338–2348. [Google Scholar] [CrossRef] [PubMed]
- Burrows, A.; Turner, M.S.; Brinkmann, R.P. Axions and SN 1987A. Phys. Rev. D 1989, 39, 1020–1028. [Google Scholar] [CrossRef] [PubMed]
- Janka, H.T.; Keil, W.; Raffelt, G.; Seckel, D. Nucleon Spin Fluctuations and the Supernova Emission of Neutrinos and Axions. Phys. Rev. Lett. 1996, 76, 2621–2624. [Google Scholar] [CrossRef]
- Hanhart, C.; Phillips, D.R.; Reddy, S. Neutrino and axion emissivities of neutron stars from nucleon-nucleon scattering data. Phys. Lett. B 2001, 499, 9–15. [Google Scholar] [CrossRef]
- Sedrakian, A. Axion cooling of neutron stars. Phys. Rev. D 2016, 93, 065044. [Google Scholar] [CrossRef]
- Dent, J.B.; Ferrer, F.; Krauss, L.M. Constraints on Light Hidden Sector Gauge Bosons from Supernova Cooling. arXiv 2012, arXiv:1201.2683. [Google Scholar]
- Dreiner, H.K.; Fortin, J.F.; Hanhart, C.; Ubaldi, L. Supernova constraints on MeV dark sectors from e+e- annihilations. Phys. Rev. D 2014, 89, 105015. [Google Scholar] [CrossRef]
- Kazanas, D.; Mohapatra, R.N.; Nussinov, S.; Teplitz, V.L.; Zhang, Y. Supernova bounds on the dark photon using its electromagnetic decay. Nucl. Phys. B 2015, 890, 17–29. [Google Scholar] [CrossRef]
- Abbott, B.P.; Abbott, R.; Abbott, T.D.; Abernathy, M.R.; Acernese, F.; Ackley, K.; Adams, C.; Adams, T.; Addesso, P.; Adhikari, R.X.; et al. Observation of Gravitational Waves from a Binary Black Hole Merger. Phys. Rev. Lett. 2016, 116, 061102. [Google Scholar] [CrossRef]
- Wietfeldt, F.E.; Greene, G.L. Colloquium: The neutron lifetime. Rev. Mod. Phys. 2011, 83, 1173–1192. [Google Scholar] [CrossRef]
- Fornal, B.; Grinstein, B. Dark Matter Interpretation of the Neutron Decay Anomaly. Phys. Rev. Lett. 2018, 120, 191801. [Google Scholar] [CrossRef] [PubMed]
- McKeen, D.; Nelson, A.E.; Reddy, S.; Zhou, D. Neutron Stars Exclude Light Dark Baryons. Phys. Rev. Lett. 2018, 121, 061802. [Google Scholar] [CrossRef] [PubMed]
- Motta, T.F.; Guichon, P.A.M.; Thomas, A.W. Implications of Neutron Star Properties for the Existence of Light Dark Matter. J. Phys. G 2018, 45, 05LT01. [Google Scholar] [CrossRef]
- Baym, G.; Beck, D.H.; Geltenbort, P.; Shelton, J. Testing Dark Decays of Baryons in Neutron Stars. Phys. Rev. Lett. 2018, 121, 061801. [Google Scholar] [CrossRef] [PubMed]
- Sakharov, A.D. Violation of CP Invariance, C asymmetry, and baryon asymmetry of the universe. Sov. Phys. Uspekhi 1967, 5, 32–35. [Google Scholar] [CrossRef]
- Klinkhamer, F.R.; Manton, N.S. A Saddle Point Solution in the Weinberg-Salam Theory. Phys. Rev. D 1984, 30, 2212. [Google Scholar] [CrossRef]
- Kuzmin, V.A.; Rubakov, V.A.; Shaposhnikov, M.E. On the Anomalous Electroweak Baryon Number Nonconservation in the Early Universe. Phys. Lett. B 1985, 155, 36. [Google Scholar] [CrossRef]
- Arnold, P.B.; McLerran, L.D. Sphalerons, Small Fluctuations and Baryon Number Violation in Electroweak Theory. Phys. Rev. D 1987, 36, 581. [Google Scholar] [CrossRef]
- Arnold, P.B.; McLerran, L.D. The Sphaleron Strikes Back. Phys. Rev. D 1988, 37, 1020. [Google Scholar] [CrossRef]
- Zyla, P.A.; Barnett, R.M.; Beringer, J.; Dahl, O.; Dwyer, D.A.; Groom, D.E.; Lin, C.-J.; Lugovsky, K.S.; Pianori, E.; Robinson, D.J.; et al. Review of Particle Physics. PTEP 2020, 2020, 083C01. [Google Scholar] [CrossRef]
- Fukuda, Y.; Hayakawa, T.; Ichihara, E.; Ishitsuka, M.; Itow, Y.; Kajita, T.; Kameda, J.; Kaneyuki, K.; Kasuga, S.; Kobayahi, K.; et al. The Super-Kamiokande detector. Nucl. Instrum. Meth. A 2003, 501, 418–462. [Google Scholar] [CrossRef]
- Ellis, J.; Hütsi, G.; Kannike, K.; Marzola, L.; Raidal, M.; Vaskonen, V. Dark Matter Effects On Neutron Star Properties. Phys. Rev. D 2018, 97, 123007. [Google Scholar] [CrossRef]
- Gould, A. WIMP Distribution in and Evaporation From the Sun. Astrophys. J. 1987, 321, 560. [Google Scholar] [CrossRef]
- Özel, F.; Freire, P. Masses, Radii, and the Equation of State of Neutron Stars. Ann. Rev. Astron. Astrophys. 2016, 54, 401–440. [Google Scholar] [CrossRef]
- Czarnecki, A.; Marciano, W.J.; Sirlin, A. Neutron Lifetime and Axial Coupling Connection. Phys. Rev. Lett. 2018, 120, 202002. [Google Scholar] [CrossRef]
- Wagoner, R.V. Big bang nucleosynthesis revisited. Astrophys. J. 1973, 179, 343–360. [Google Scholar] [CrossRef]
- Schramm, D.N.; Wagoner, R.V. Element production in the early universe. Ann. Rev. Nucl. Part. Sci. 1977, 27, 37–74. [Google Scholar] [CrossRef]
- Steigman, G. Primordial Nucleosynthesis in the Precision Cosmology Era. Ann. Rev. Nucl. Part. Sci. 2007, 57, 463–491. [Google Scholar] [CrossRef]
- Byrne, J.; Dawber, P.G. A Revised Value for the Neutron Lifetime Measured Using a Penning Trap. Europhys. Lett. 1996, 33, 187. [Google Scholar] [CrossRef]
- Nico, J.S.; Dewey, M.S.; Gilliam, D.M.; Wietfeldt, F.E.; Fei, X.; Snow, W.M.; Greene, G.L.; Pauwels, J.; Eykens, R.; Lamberty, A.; et al. Measurement of the neutron lifetime by counting trapped protons in a cold neutron beam. Phys. Rev. C 2005, 71, 055502. [Google Scholar] [CrossRef]
- Yue, A.T.; Dewey, M.S.; Gilliam, D.M.; Greene, G.L.; Laptev, A.B.; Nico, J.S.; Snow, W.M.; Wietfeldt, F.E. Improved Determination of the Neutron Lifetime. Phys. Rev. Lett. 2013, 111, 222501. [Google Scholar] [CrossRef]
- Mampe, W.; Bondarenko, L.N.; Morozov, V.I.; Panin, Y.N.; Fomin, A.I. Measuring neutron lifetime by storing ultracold neutrons and detecting inelastically scattered neutrons. JETP Lett. 1993, 57, 82–87. [Google Scholar]
- Serebrov, A.; Varlamov, V.; Kharitonov, A.; Fomin, A.; Pokotilovski, Y.; Geltenbort, P.; Butterworth, J.; Krasnoschekova, I.; Lasakov, M.; Tal’daev, R.; et al. Measurement of the neutron lifetime using a gravitational trap and a low-temperature Fomblin coating. Phys. Lett. B 2005, 605, 72–78. [Google Scholar] [CrossRef]
- Serebrov, A.P.; Varlamov, V.E.; Kharitonov, A.G.; Fomin, A.K.; Pokotilovski, Y.N.; Geltenbort, P.; Krasnoschekova, I.A.; Lasakov, M.S.; Taldaev, R.R.; Vassiljev, A.V.; et al. Neutron lifetime measurements using gravitationally trapped ultracold neutrons. Phys. Rev. C 2008, 78, 035505. [Google Scholar] [CrossRef]
- Pichlmaier, A.; Varlamov, V.; Schreckenbach, K.; Geltenbort, P. Neutron lifetime measurement with the UCN trap-in-trap MAMBO II. Phys. Lett. B 2010, 693, 221–226. [Google Scholar] [CrossRef]
- Steyerl, A.; Pendlebury, J.M.; Kaufman, C.; Malik, S.S.; Desai, A.M. Quasielastic scattering in the interaction of ultracold neutrons with a liquid wall and application in a reanalysis of the Mambo I neutron-lifetime experiment. Phys. Rev. C 2012, 85, 065503. [Google Scholar] [CrossRef]
- Arzumanov, S.; Bondarenko, L.; Chernyavsky, S.; Geltenbort, P.; Morozov, V.; Nesvizhevsky, V.V.; Panin, Y.; Strepetov, A. A measurement of the neutron lifetime using the method of storage of ultracold neutrons and detection of inelastically up-scattered neutrons. Phys. Lett. B 2015, 745, 79–89. [Google Scholar] [CrossRef]
- Serebrov, A.P.; Kolomensky, E.A.; Fomin, A.K.; Krasnoshchekova, I.A.; Vassiljev, A.V.; Prudnikov, D.M.; Shoka, I.V.; Chechkin, A.V.; Chaikovskiy, M.E.; Varlamov, V.E.; et al. Neutron lifetime measurements with a large gravitational trap for ultracold neutrons. Phys. Rev. C 2018, 97, 055503. [Google Scholar] [CrossRef]
- Ezhov, V.F.; Andreev, A.Z.; Ban, G.; Bazarov, B.A.; Geltenbort, P.; Glushkov, A.G.; Knyazkov, V.A.; Kovrizhnykh, N.A.; Krygin, G.B.; Naviliat-Cuncic, O.; et al. Measurement of the Neutron Lifetime with Ultracold Neutrons Stored in a Magneto-Gravitational Trap. JETP Lett. 2018, 107, 671. [Google Scholar] [CrossRef]
- Pattie, R.W., Jr.; Callahan, N.B.; Cude-Woods, C.; Adamek, E.R.; Broussard, L.J.; Clayton, S.M.; Currie, S.A.; Dees, E.B.; Ding, X.; Engel, E.M.; et al. Measurement of the neutron lifetime using a magneto-gravitational trap and in situ detection. Science 2018, 360, 627–632. [Google Scholar] [CrossRef]
- Gonzalez, F.M.; Fries, E.M.; Cude-Woods, C.; Bailey, T.; Blatnik, M.; Broussard, L.J.; Callahan, N.B.; Choi, J.H.; Clayton, S.M.; Curries, S.A.; et al. Improved Neutron Lifetime Measurement with UCNτ. Phys. Rev. Lett. 2021, 127, 162501. [Google Scholar] [CrossRef] [PubMed]
- Berezhiani, Z. Neutron lifetime puzzle and neutron–mirror neutron oscillation. Eur. Phys. J. C 2019, 79, 484. [Google Scholar] [CrossRef]
- Tang, Z.; Blatnik, M.; Broussard, L.J.; Choi, J.H.; Clayton, S.M.; Cude-Woods, C.; Curries, S.; Fellers, D.E.; Fries, E.M.; Geltenbort, P.; et al. Search for the Neutron Decay n→ X+γ where X is a dark matter particle. Phys. Rev. Lett. 2018, 121, 022505. [Google Scholar] [CrossRef]
- Sun, X.; Adamek, E.; Allgeier, B.; Blatnik, M.; Bowles, T.J.; Broussard, L.J.; Brown, M.A.P.; Carr, R.; Clayton, S.; Cude-Woods, C.; et al. Search for dark matter decay of the free neutron from the UCNA experiment: N →χ+e+e-. Phys. Rev. C 2018, 97, 052501. [Google Scholar] [CrossRef]
- Klopf, M.; Jericha, E.; Märkisch, B.; Saul, H.; Soldner, T.; Abele, H. Constraints on the Dark Matter Interpretation n→χ+e+e- of the Neutron Decay Anomaly with the PERKEO II experiment. Phys. Rev. Lett. 2019, 122, 222503. [Google Scholar] [CrossRef] [PubMed]
- Sirlin, A. Radiative corrections to GV/Gμ in simple extensions of the SU(2)×U(1) gauge model. Nucl. Phys. B 1974, 71, 29–51. [Google Scholar] [CrossRef]
- Sirlin, A. Current Algebra Formulation of Radiative Corrections in Gauge Theories and the Universality of the Weak Interactions. Rev. Mod. Phys. 1978, 50, 573, Erratum in Rev. Mod. Phys. 1978, 50, 905. [Google Scholar] [CrossRef]
- Sirlin, A. Radiative Corrections in the SU(2)L×U(1) Theory: A Simple Renormalization Framework. Phys. Rev. D 1980, 22, 971–981. [Google Scholar] [CrossRef]
- Sirlin, A. Large m(W), m(Z) Behavior of the O(alpha) Corrections to Semileptonic Processes Mediated by W. Nucl. Phys. B 1982, 196, 83–92. [Google Scholar] [CrossRef]
- Marciano, W.J.; Sirlin, A. Radiative Corrections to beta Decay and the Possibility of a Fourth Generation. Phys. Rev. Lett. 1986, 56, 22. [Google Scholar] [CrossRef]
- Czarnecki, A.; Marciano, W.J.; Sirlin, A. Precision measurements and CKM unitarity. Phys. Rev. D 2004, 70, 093006. [Google Scholar] [CrossRef]
- Marciano, W.J.; Sirlin, A. Improved calculation of electroweak radiative corrections and the value of Vud. Phys. Rev. Lett. 2006, 96, 032002. [Google Scholar] [CrossRef]
- Seng, C.Y.; Gorchtein, M.; Ramsey-Musolf, M.J. Dispersive evaluation of the inner radiative correction in neutron and nuclear β decay. Phys. Rev. D 2019, 100, 013001. [Google Scholar] [CrossRef]
- Czarnecki, A.; Marciano, W.J.; Sirlin, A. Radiative Corrections to Neutron and Nuclear Beta Decays Revisited. Phys. Rev. D 2019, 100, 073008. [Google Scholar] [CrossRef]
- Antonelli, M.; Cirigliano, V.; Isidori, G.; Mescia, F.; Moulson, M.; Neufeld, H.; Passemar, E.; Palutan, M.; Sciascia, B.; Sozzi, M.; et al. An Evaluation of |Vus| and precise tests of the Standard Model from world data on leptonic and semileptonic kaon decays. Eur. Phys. J. C 2010, 69, 399–424. [Google Scholar] [CrossRef]
- Cirigliano, V.; Ecker, G.; Neufeld, H.; Pich, A.; Portoles, J. Kaon Decays in the Standard Model. Rev. Mod. Phys. 2012, 84, 399. [Google Scholar] [CrossRef]
- Seng, C.Y.; Galviz, D.; Meißner, U.G. A New Theory Framework for the Electroweak Radiative Corrections in Kl3 Decays. J. High Energy Phys. 2020, 2, 69. [Google Scholar] [CrossRef]
- Seng, C.Y.; Feng, X.; Gorchtein, M.; Jin, L.C.; Meißner, U.G. New method for calculating electromagnetic effects in semileptonic beta-decays of mesons. J. High Energy Phys. 2020, 10, 179. [Google Scholar] [CrossRef]
- Seng, C.Y.; Galviz, D.; Gorchtein, M.; Meißner, U.G. High-precision determination of the Ke3 radiative corrections. Phys. Lett. B 2021, 820, 136522. [Google Scholar] [CrossRef]
- Seng, C.Y.; Galviz, D.; Gorchtein, M.; Meißner, U.G. Improved Ke3 radiative corrections sharpen the Kμ2–Kl3 discrepancy. J. High Energy Phys. 2021, 11, 172. [Google Scholar] [CrossRef]
- Abele, H. The neutron. Its properties and basic interactions. Prog. Part. Nucl. Phys. 2008, 60, 1–81. [Google Scholar] [CrossRef]
- Dubbers, D.; Schmidt, M.G. The Neutron and Its Role in Cosmology and Particle Physics. Rev. Mod. Phys. 2011, 83, 1111–1171. [Google Scholar] [CrossRef]
- Cirigliano, V.; Gardner, S.; Holstein, B. Beta Decays and Non-Standard Interactions in the LHC Era. Prog. Part. Nucl. Phys. 2013, 71, 93–118. [Google Scholar] [CrossRef]
- Dubbers, D.; Märkisch, B. Precise Measurements of the Decay of Free Neutrons. Ann. Rev. Nucl. Part. Sci. 2021, 71, 139–163. [Google Scholar] [CrossRef]
- Tishchenko, V.; Battu, S.; Carey, R.M.; Chitwood, D.B.; Crnkovic, J.; Debevec, P.T.; Dhamija, S.; Earle, W.; Gafarov, A.; Giovanetti, K.; et al. Detailed Report of the MuLan Measurement of the Positive Muon Lifetime and Determination of the Fermi Constant. Phys. Rev. D 2013, 87, 052003. [Google Scholar] [CrossRef]
- Wilkinson, D.H. Analysis of Neutron Beta Decay. Nucl. Phys. A 1982, 377, 474–504. [Google Scholar] [CrossRef]
- González, D.; León, D.; Fabela, B.; Pedraza, M.I. Detecting physics beyond the Standard Model with the REDTOP experiment. J. Phys. Conf. Ser. 2017, 912, 012042. [Google Scholar] [CrossRef]
- Aoki, Y.; Blum, T.; Colangelo, G.; Collins, S.; Della Morte, M.; Dimopoulos, P.; Dürr, S.; Feng, X.; Fukaya, H.; Golterman, M.; et al. FLAG Review 2021. arXiv 2021, arXiv:2111.09849. [Google Scholar]
- Chang, C.C.; Nicholson, A.N.; Rinaldi, E.; Berkowitz, E.; Garron, N.; Brantley, D.A.; Monge-Camacho, H.; Monahan, C.J.; Bouchard, C.; Clark, M.A.; et al. A per-cent-level determination of the nucleon axial coupling from quantum chromodynamics. Nature 2018, 558, 91–94. [Google Scholar] [CrossRef]
- Märkisch, B.; Mest, H.; Saul, H.; Wang, X.; Abele, H.; Dubbers, D.; Klopf, M.; Petroukhov, A.; Roick, C.; Soldner, T.; et al. Measurement of the Weak Axial-Vector Coupling Constant in the Decay of Free Neutrons Using a Pulsed Cold Neutron Beam. Phys. Rev. Lett. 2019, 122, 242501. [Google Scholar] [CrossRef]
- Towner, I.S.; Hardy, J.C. Calculated corrections to superallowed Fermi beta decay: New evaluation of the nuclear structure dependent terms. Phys. Rev. C 2002, 66, 035501. [Google Scholar] [CrossRef]
- Holstein, B.R. Recoil Effects in Allowed beta Decay: The Elementary Particle Approach. Rev. Mod. Phys. 1974, 46, 789, Erratum in Rev. Mod. Phys. 1976, 48, 673. [Google Scholar] [CrossRef]
- Gardner, S.; Zhang, C. Sharpening low-energy, standard model tests via correlation coefficients in neutron beta decay. Phys. Rev. Lett. 2001, 86, 5666–5669. [Google Scholar] [CrossRef] [PubMed]
- Weinberg, S. Charge symmetry of weak interactions. Phys. Rev. 1958, 112, 1375–1379. [Google Scholar] [CrossRef]
- Mund, D.; Maerkisch, B.; Deissenroth, M.; Krempel, J.; Schumann, M.; Abele, H.; Petoukhov, A.; Soldner, T. Determination of the Weak Axial Vector Coupling from a Measurement of the Beta-Asymmetry Parameter A in Neutron Beta Decay. Phys. Rev. Lett. 2013, 110, 172502. [Google Scholar] [CrossRef] [PubMed]
- Brown, M.A.-P.; Dees, E.B.; Adamek, E.; Allgeier, B.; Blatnik, M.; Bowles, T.J.; Broussard, L.J.; Carr, R.; Clayton, S.; Cude-Woods, C.; et al. New result for the neutron β-asymmetry parameter A0 from UCNA. Phys. Rev. C 2018, 97, 035505. [Google Scholar] [CrossRef]
- Gorchtein, M.; Seng, C.Y. Dispersion relation analysis of the radiative corrections to gA in the neutron β-decay. J. High Energy Phys. 2021, 10, 53. [Google Scholar] [CrossRef]
- Gardner, S.; Plaster, B. Framework for maximum likelihood analysis of neutron β decay observables to resolve the limits of the V–A law. Phys. Rev. C 2013, 87, 065504. [Google Scholar] [CrossRef]
- Ivanov, A.N.; Höllwieser, R.; Troitskaya, N.I.; Wellenzohn, M.; Berdnikov, Y.A. Neutron dark matter decays and correlation coefficients of neutron β--decays. Nucl. Phys. B 2019, 938, 114–130. [Google Scholar] [CrossRef]
- Tanabashi, M.; Hagiwara, K.; Hikasa, K.; Nakamura, K.; Sumino, Y.; Takahashi, F.; Tanaka, J.; Agashe, K.; Aielli, G.; Amsler, C.; et al. Review of Particle Physics. Phys. Rev. D 2018, 98, 030001. [Google Scholar] [CrossRef]
- Hardy, J.; Towner, I.S. |Vud| from nuclear β decays. Proc. Sci. 2016, CKM2016, 028. [Google Scholar] [CrossRef][Green Version]
- Hardy, J.C.; Towner, I.S. Superallowed 0+→0+ nuclear β decays: 2020 critical survey, with implications for Vud and CKM unitarity. Phys. Rev. C 2020, 102, 045501. [Google Scholar] [CrossRef]
- Shiomi, H. Second class current in QCD sum rules. Nucl. Phys. A 1996, 603, 281–302. [Google Scholar] [CrossRef]
- Bender, I.; Linke, V.; Rothe, H.J. Leptonic decays of baryons. Z. Phys. 1968, 212, 190–212. [Google Scholar] [CrossRef]
- Falkowski, A.; González-Alonso, M.; Palavrić, A.; Rodríguez-Sánchez, A. Constraints on subleading interactions in beta decay Lagrangian. arXiv 2021, arXiv:2112.07688. [Google Scholar]
- Dubbers, D.; Saul, H.; Märkisch, B.; Soldner, T.; Abele, H. Exotic decay channels are not the cause of the neutron lifetime anomaly. Phys. Lett. B 2019, 791, 6–10. [Google Scholar] [CrossRef]
- Tolman, R. Relativity, Thermodynamics, and Cosmology; Dover Books on Physics; Dover Publications: New York, NY, USA, 1987. [Google Scholar]
- Einstein, A. The Foundation of the General Theory of Relativity. Ann. Phys. 1916, 49, 769–822. [Google Scholar] [CrossRef]
- Tolman, R.C. Static solutions of Einstein’s field equations for spheres of fluid. Phys. Rev. 1939, 55, 364–373. [Google Scholar] [CrossRef]
- Oppenheimer, J.R.; Volkoff, G.M. On massive neutron cores. Phys. Rev. 1939, 55, 374–381. [Google Scholar] [CrossRef]
- Glendenning, N.K. Compact Stars: Nuclear Physics, Particle Physics, and General Relativity; Springer: New York, NY, USA, 1997. [Google Scholar]
- Hartle, J.B. Slowly rotating relativistic stars. 1. Equations of structure. Astrophys. J. 1967, 150, 1005–1029. [Google Scholar] [CrossRef]
- Sandin, F.; Ciarcelluti, P. Effects of mirror dark matter on neutron stars. Astropart. Phys. 2009, 32, 278–284. [Google Scholar] [CrossRef]
- Ciarcelluti, P.; Sandin, F. Have neutron stars a dark matter core? Phys. Lett. B 2011, 695, 19–21. [Google Scholar] [CrossRef]
- Misner, C.W.; Thorne, K.S.; Wheeler, J.A. Gravitation; W. H. Freeman: San Francisco, CA, USA, 1973. [Google Scholar]
- Gamow, G.; Ulam, S. My World Line: An Informal Autobiography; Viking Press: New York, NY, USA, 1970. [Google Scholar]
- Pethick, C.J. Cooling of neutron stars. Rev. Mod. Phys. 1992, 64, 1133–1140. [Google Scholar] [CrossRef]
- Yakovlev, D.G.; Levenfish, K.P.; Shibanov, Y.A. Cooling neutron stars and superfluidity in their interiors. Phys. Usp. 1999, 42, 737–778. [Google Scholar] [CrossRef]
- Anzuini, F.; Melatos, A.; Dehman, C.; Viganò, D.; Pons, J.A. Fast cooling and internal heating in hyperon stars. Mon. Not. R. Astron. Soc. 2022, 509, 2609–2623. [Google Scholar] [CrossRef]
- Boguta, J. Remarks on the beta stability in neutron stars. Phys. Lett. B 1981, 106, 255–258. [Google Scholar] [CrossRef]
- Lattimer, J.M.; Pethick, C.J.; Prakash, M.; Haensel, P. Direct URCA process in neutron stars. Phys. Rev. Lett. 1991, 66, 2701–2704. [Google Scholar] [CrossRef]
- Prakash, M.; Prakash, M.; Lattimer, J.M.; Pethick, C.J. Rapid Cooling of Neutron Stars by Hyperons and Delta Isobars. Astrophys. J. Lett. 1992, 390, L77. [Google Scholar] [CrossRef]
- Chiu, H.Y.; Salpeter, E.E. Surface X-ray Emission from Neutron Stars. Phys. Rev. Lett. 1964, 12, 413–415. [Google Scholar] [CrossRef]
- Bahcall, J.N.; Wolf, R.A. Neutron Stars. II. Neutrino-Cooling and Observability. Phys. Rev. 1965, 140, B1452–B1466. [Google Scholar] [CrossRef]
- Haensel, P. Non-equilibrium neutrino emissivities and opacities of neutron star matter. Astron. Astrophys. 1992, 262, 131–137. [Google Scholar]
- Haensel, P.; Levenfish, K.P.; Yakovlev, D.G. Adiabatic index of dense matter and damping of neutron star pulsations. Astron. Astrophys. 2002, 394, 213–218. [Google Scholar] [CrossRef]
- Lackey, B.D.; Nayyar, M.; Owen, B.J. Observational constraints on hyperons in neutron stars. Phys. Rev. D 2006, 73, 024021. [Google Scholar] [CrossRef]
- Baym, G.; Pethick, C.; Sutherland, P. The Ground state of matter at high densities: Equation of state and stellar models. Astrophys. J. 1971, 170, 299–317. [Google Scholar] [CrossRef]
- Misner, C.W.; Zapolsky, H.S. High-Density Behavior and Dynamical Stability of Neutron Star Models. Phys. Rev. Lett. 1964, 12, 635–637. [Google Scholar] [CrossRef]
- Blinnikov, S.I.; Imshennik, V.S.; Nadezhin, D.K.; Novikov, I.D.; Perevodchikova, T.V.; Polnarev, A.G. Explosion of a Low-Mass Neutron Star. Sov. Astron. 1990, 34, 595. [Google Scholar]
- Martinez, J.G.; Stovall, K.; Freire, P.C.C.; Deneva, J.S.; Jenet, F.A.; McLaughlin, M.A.; Bagchi, M.; Bates, S.D.; Ridolfi, A. Pulsar J0453+1559: A Double Neutron Star System with a Large Mass Asymmetry. Astrophys. J. 2015, 812, 143. [Google Scholar] [CrossRef]
- Potekhin, A.Y. The physics of neutron stars. Phys.-Uspekhi 2010, 53, 1235–1256. [Google Scholar] [CrossRef]
- Burrows, A.; Vartanyan, D. Core-Collapse Supernova Explosion Theory. Nature 2021, 589, 29–39. [Google Scholar] [CrossRef]
- Nomoto, K.; Kondo, Y. Conditions for Accretion-induced Collapse of White Dwarfs. Astrophys. J. Lett. 1991, 367, L19. [Google Scholar] [CrossRef]
- Haensel, P.; Zdunik, J.L.; Douchin, F. Equation of state of dense matter and the minimum mass of cold neutron stars. Astron. Astrophys. 2002, 385, 301. [Google Scholar] [CrossRef]
- Strobel, K.; Schaab, C.; Weigel, M.K. Properties of non-rotating and rapidly rotating protoneutron stars. Astron. Astrophys. 1999, 350, 497–512. [Google Scholar]
- Suwa, Y.; Yoshida, T.; Shibata, M.; Umeda, H.; Takahashi, K. On the minimum mass of neutron stars. Mon. Not. R. Astron. Soc. 2018, 481, 3305–3312. [Google Scholar] [CrossRef]
- Leung, S.C.; Zha, S.; Chu, M.C.; Lin, L.M.; Nomoto, K. Accretion-Induced Collapse of Dark Matter Admixed White Dwarfs—I: Formation of Low-mass Neutron Stars. Astrophys. J. 2019, 884, 9. [Google Scholar] [CrossRef]
- Caiazzo, I.; Burdge, K.B.; Fuller, J.; Heyl, J.; Kulkarni, S.R.; Prince, T.A.; Richer, H.B.; Schwab, J.; Andreoni, I.; Bellm, E.C.; et al. A highly magnetised and rapidly rotating white dwarf as small as the Moon. Nature 2021, 595, 39–42, Erratum in Nature 2021, 596, E15. [Google Scholar] [CrossRef] [PubMed]
- Schwab, J.; Bildsten, L.; Quataert, E. The Importance of Urca-process Cooling in Accreting ONe White Dwarfs. Mon. Not. R. Astron. Soc. 2017, 472, 3390–3406. [Google Scholar] [CrossRef]
- Blinnikov, S.I.; Novikov, I.D.; Perevodchikova, T.V.; Polnarev, A.G. Exploding neutron stars in close binaries. Sov. Astron. Lett. 1984, 10, 177–179. [Google Scholar]
- Sumiyoshi, K.; Yamada, S.; Suzuki, H.; Hillebrandt, W. The Fate of a neutron star just below the minimum mass: Does it explode? Astron. Astrophys. 1998, 334, 159. [Google Scholar]
- Goldreich, P.; Julian, W.H. Pulsar electrodynamics. Astrophys. J. 1969, 157, 869. [Google Scholar] [CrossRef]
- Goldman, I.; Nussinov, S. Limit on Continuous Neutrino Emission from Neutron Stars. J. High Energy Phys. 2010, 08, 91. [Google Scholar] [CrossRef]
- Damour, T.; Taylor, J.H. On the Orbital Period Change of the Binary Pulsar PSR 1913+16. Astrophys. J. 1991, 366, 501. [Google Scholar] [CrossRef]
- Peters, P.C. Gravitational Radiation and the Motion of Two Point Masses. Phys. Rev. 1964, 136, B1224–B1232. [Google Scholar] [CrossRef]
- Blanchet, L.; SchÀfer, G. Higher order gravitational radiation losses in binary systems. Mon. Not. R. Astron. Soc. 1989, 239, 845–867. [Google Scholar] [CrossRef]
- Kramer, M.; Stairs, I.H.; Manchester, R.N.; Wex, N.; Deller, A.T.; Coles, W.A.; Ali, M.; Burgay, M.; Camilo, F.; Cognard, I.; et al. Strong-Field Gravity Tests with the Double Pulsar. Phys. Rev. X 2021, 11, 041050. [Google Scholar] [CrossRef]
- Hulse, R.A.; Taylor, J.H. Discovery of a pulsar in a binary system. Astrophys. J. Lett. 1975, 195, L51–L53. [Google Scholar] [CrossRef]
- Weisberg, J.M.; Huang, Y. Relativistic Measurements from Timing the Binary Pulsar PSR B1913+16. Astrophys. J. 2016, 829, 55. [Google Scholar] [CrossRef]
- Burgay, M.; D’Amico, N.; Possenti, A.; Manchester, R.N.; Lyne, A.G.; Joshi, B.C.; McLaughlin, M.A.; Kramer, M.; Sarkissian, J.M.; Camilo, F.; et al. An Increased estimate of the merger rate of double neutron stars from observations of a highly relativistic system. Nature 2003, 426, 531–533. [Google Scholar] [CrossRef]
- Foster, R.S.; Wolszczan, A.; Camilo, F. A New Binary Millisecond Pulsar. Astrophys. J. Lett. 1993, 410, L91. [Google Scholar] [CrossRef]
- Zhu, W.W.; Desvignes, G.; Wex, N.; Caballero, R.N.; Champion, D.J.; Demorest, P.B.; Ellis, J.A.; Janssen, G.H.; Kramer, M.; Krieger, A.; et al. Tests of Gravitational Symmetries with Pulsar Binary J1713+0747. Mon. Not. R. Astron. Soc. 2019, 482, 3249–3260. [Google Scholar] [CrossRef]
- Huang, S.S. Modes of Mass Ejection by Binary Stars and the Effect on Their Orbital Periods. Astrophys. J. 1963, 138, 471. [Google Scholar] [CrossRef]
- Jeans, J.H. Cosmogonic Problems associated with a Secular Decrease of Mass. Mon. Not. R. Astron. Soc. 1924, 85, 2–11. [Google Scholar] [CrossRef]
- Jeans, J.H. The Effect of Varying Mass on a Binary System. Mon. Not. R. Astron. Soc. 1925, 85, 912–914. [Google Scholar] [CrossRef]
- Hu, H.; Kramer, M.; Wex, N.; Champion, D.J.; Kehl, M.S. Constraining the dense matter equation-of-state with radio pulsars. Mon. Not. R. Astron. Soc. 2020, 497, 3118–3130. [Google Scholar] [CrossRef]
- Lattimer, J.M.; Schutz, B.F. Constraining the Equation of State with Moment of Inertia Measurements. Astrophys. J. 2005, 629, 979–984. [Google Scholar] [CrossRef]
- Hut, P.; Olive, K.A. A cosmological upper limit on the mass of heavy neutrinos. Phys. Lett. B 1979, 87, 144–146. [Google Scholar] [CrossRef]
- Nussinov, S. Technocosmology: Could a technibaryon excess provide a ‘natural’ missing mass candidate? Phys. Lett. B 1985, 165, 55–58. [Google Scholar] [CrossRef]
- Barr, S.M.; Chivukula, R.S.; Farhi, E. Electroweak Fermion Number Violation and the Production of Stable Particles in the Early Universe. Phys. Lett. B 1990, 241, 387–391. [Google Scholar] [CrossRef]
- Davoudiasl, H.; Mohapatra, R.N. On Relating the Genesis of Cosmic Baryons and Dark Matter. New J. Phys. 2012, 14, 095011. [Google Scholar] [CrossRef]
- Fornal, B.; Grinstein, B. Neutron’s dark secret. Mod. Phys. Lett. A 2020, 35, 2030019. [Google Scholar] [CrossRef]
- Berezhiani, Z.; Bento, L. Neutron - mirror neutron oscillations: How fast might they be? Phys. Rev. Lett. 2006, 96, 081801. [Google Scholar] [CrossRef]
- Davoudiasl, H.; Morrissey, D.E.; Sigurdson, K.; Tulin, S. Baryon Destruction by Asymmetric Dark Matter. Phys. Rev. D 2011, 84, 096008. [Google Scholar] [CrossRef]
- Coleman, S.R. Q-balls. Nucl. Phys. B 1985, 262, 263, Addendum Nucl. Phys. B 1986, 269, 744.. [Google Scholar] [CrossRef]
- Frieman, J.A.; Gelmini, G.B.; Gleiser, M.; Kolb, E.W. Solitogenesis: Primordial Origin of Nontopological Solitons. Phys. Rev. Lett. 1988, 60, 2101. [Google Scholar] [CrossRef] [PubMed]
- Kusenko, A.; Shaposhnikov, M.E. Supersymmetric Q balls as dark matter. Phys. Lett. B 1998, 418, 46–54. [Google Scholar] [CrossRef]
- Kusenko, A.; Loveridge, L.C.; Shaposhnikov, M. Astrophysical bounds on supersymmetric dark-matter Q-balls. J. Cosmol. Astropart. Phys. 2005, 2005, 11. [Google Scholar] [CrossRef]
- Davoudiasl, H.; Morrissey, D.E.; Sigurdson, K.; Tulin, S. Hylogenesis: A Unified Origin for Baryonic Visible Matter and Antibaryonic Dark Matter. Phys. Rev. Lett. 2010, 105, 211304. [Google Scholar] [CrossRef]
- Heeck, J. Light particles with baryon and lepton numbers. Phys. Lett. B 2021, 813, 136043. [Google Scholar] [CrossRef]
- Davoudiasl, H. Nucleon Decay into a Dark Sector. Phys. Rev. Lett. 2015, 114, 051802. [Google Scholar] [CrossRef]
- Pfützner, M.; Riisager, K. Examining the possibility to observe neutron dark decay in nuclei. Phys. Rev. C 2018, 97, 042501. [Google Scholar] [CrossRef]
- Strumia, A. Dark Matter interpretation of the neutron decay anomaly. arXiv 2021, arXiv:2112.09111. [Google Scholar] [CrossRef]
- Fajfer, S.; Susič, D. Colored scalar mediated nucleon decays to an invisible fermion. Phys. Rev. D 2021, 103, 055012. [Google Scholar] [CrossRef]
- Agostini, M.; Appel, S.; Bellini, G.; Benzinger, J.; Bick, D.; Bonfini, G.; Bravo, D.; Caccianiga, B.; Calaprice, F.; Caminata, A.; et al. A test of electric charge conservation with Borexino. Phys. Rev. Lett. 2015, 115, 231802. [Google Scholar] [CrossRef] [PubMed]
- McKeen, D.; Pospelov, M. How long does the hydrogen atom live? arXiv 2020, arXiv:2003.02270. [Google Scholar]
- Berezhiani, Z. Neutron lifetime and dark decay of the neutron and hydrogen. Lab. High Energy Phys. 2019, 2, 118. [Google Scholar] [CrossRef]
- McKeen, D.; Pospelov, M.; Raj, N. Hydrogen Portal to Exotic Radioactivity. Phys. Rev. Lett. 2020, 125, 231803. [Google Scholar] [CrossRef] [PubMed]
- Raaijmakers, G.; Greif, S.K.; Hebeler, K.; Hinderer, T.; Nissanke, S.; Schwenk, A.; Riley, T.E.; Watts, A.L.; Lattimer, J.M.; Ho, W.C.G. Constraints on the Dense Matter Equation of State and Neutron Star Properties from NICER’s Mass–Radius Estimate of PSR J0740+6620 and Multimessenger Observations. Astrophys. J. Lett. 2021, 918, L29. [Google Scholar] [CrossRef]
- Cline, J.M.; Cornell, J.M. Dark decay of the neutron. J. High Energy Phys. 2018, 2018, 81. [Google Scholar] [CrossRef]
- Elahi, F.; Mohammadi Najafabadi, M. Neutron Decay to a Non-Abelian Dark Sector. Phys. Rev. D 2020, 102, 035011. [Google Scholar] [CrossRef]
- Ejiri, H.; Vergados, J.D. Neutron disappearance inside the nucleus. J. Phys. G 2019, 46, 025104. [Google Scholar] [CrossRef]
- Riisager, K.; Forstner, O.; Borge, M.J.G.; Briz, J.A.; Carmona-Gallardo, M.; Fraile, L.M.; Fynbo, H.O.U.; Giles, T.; Gottberg, A.; Heinz, A.; et al. 11Be(βp), a quasi-free neutron decay? Phys. Lett. B 2014, 732, 305–308. [Google Scholar] [CrossRef]
- Ayyad, Y.; Olazola, B.; Mittig, W.; Potel, G.; Zelevinsky, V.; Horoi, M.; Beceiro-Novo, S.; Alcorta, M.; Andreoiu, C.; Ahn, T.; et al. Direct observation of proton emission in 11Be. Phys. Rev. Lett. 2019, 123, 082501, Erratum in Phys. Rev. Lett. 2020, 124, 129902. [Google Scholar] [CrossRef]
- Riisager, K.; Borge, M.J.G.; Briz, J.A.; Carmona-Gallardo, M.; Forstner, O.; Fraile, L.M.; Fynbo, H.O.U.; Garzon Camacho, A.; Johansen, J.G.; Jonson, B.; et al. Search for beta-delayed proton emission from 11Be. Eur. Phys. J. A 2020, 56, 100. [Google Scholar] [CrossRef]
- Okołowicz, J.; Płoszajczak, M.; Nazarewicz, W. Convenient Location of a Near-Threshold Proton-Emitting Resonance in 11B. Phys. Rev. Lett. 2020, 124, 042502. [Google Scholar] [CrossRef] [PubMed]
- Elkamhawy, W.; Yang, Z.; Hammer, H.W.; Platter, L. β-delayed proton emission from 11Be in effective field theory. Phys. Lett. B 2021, 821, 136610. [Google Scholar] [CrossRef]
- Volya, A. Assessment of the beta-delayed proton decay rate of 11Be. Europhys. Lett. 2020, 130, 12001. [Google Scholar] [CrossRef]
- Okołowicz, J.; Płoszajczak, M.; Nazarewicz, W. β-p and β-α decay of the 11Be neutron halo ground state. arXiv 2021, arXiv:2112.05622. [Google Scholar]
- Rajendran, S.; Ramani, H. Composite solution to the neutron lifetime anomaly. Phys. Rev. D 2021, 103, 035014. [Google Scholar] [CrossRef]
- Tan, W. Neutron oscillations for solving neutron lifetime and dark matter puzzles. Phys. Lett. B 2019, 797, 134921. [Google Scholar] [CrossRef]
- Babu, K.S.; Mohapatra, R.N. Theoretical Constraints on Neutron–Mirror-Neutron Oscillation. arXiv 2021, arXiv:2112.11443. [Google Scholar]
- McKeen, D.; Pospelov, M.; Raj, N. Cosmological and astrophysical probes of dark baryons. Phys. Rev. D 2021, 103, 115002. [Google Scholar] [CrossRef]
- McKeen, D.; Pospelov, M.; Raj, N. Neutron Star Internal Heating Constraints on Mirror Matter. Phys. Rev. Lett. 2021, 127, 061805. [Google Scholar] [CrossRef] [PubMed]
- Ban, G.; Lefort, T.; Naviliat-Cuncic, O.; Bodek, K.; Kistryn, S.; Kuzniak, M.; Zejma, J.; Khomutov, N.; Knowles, P.; Rebetez, M.; et al. A Direct experimental limit on neutron: Mirror neutron oscillations. Phys. Rev. Lett. 2007, 99, 161603. [Google Scholar] [CrossRef] [PubMed]
- Serebrov, A.P.; Aleksandrov, E.B.; Dovator, N.A.; Dmitriev, S.P.; Fomin, A.K.; Geltenbort, P.; Kharitonov, A.G.; Kransnoschekova, I.A.; Lasakov, M.S.; Murashkin, A.N.; et al. Search for neutron–mirror neutron oscillations in a laboratory experiment with ultracold neutrons. Nucl. Instrum. Meth. A 2009, 611, 137–140. [Google Scholar] [CrossRef]
- Sarrazin, M.; Pignol, G.; Petit, F.; Nesvizhevsky, V.V. Experimental limits on neutron disappearance into another braneworld. Phys. Lett. B 2012, 712, 213–218. [Google Scholar] [CrossRef][Green Version]
- Sarrazin, M.; Pignol, G.; Lamblin, J.; Pinon, J.; Meplan, O.; Terwagne, G.; Debarsy, P.L.; Petit, F.; Nesvizhevsky, V.V. Search for passing-through-walls neutrons constrains hidden braneworlds. Phys. Lett. B 2016, 758, 14–17. [Google Scholar] [CrossRef]
- Stasser, C.; Terwagne, G.; Lamblin, J.; Méplan, O.; Pignol, G.; Coupé, B.; Kalcheva, S.; Van Dyck, S.; Sarrazin, M. Probing neutron-hidden neutron transitions with the MURMUR experiment. Eur. Phys. J. C 2021, 81, 17. [Google Scholar] [CrossRef]
- Almazán, H.; Bernard, L.; Blanchet, A.; Bonhomme, A.; Buck, C.; del Amo Sanchez, P.; El Atmani, I.; Labit, L.; Lamblin, J.; Letourneau, A.; et al. Searching hidden neutrons with a reactor neutrino experiment: New constraint from the STEREO experiment. arXiv 2021, arXiv:2111.01519. [Google Scholar] [CrossRef]
- Broussard, L.J.; Barrow, J.L.; DeBeer-Schmitt, L.; Dennis, T.; Fitzsimmons, M.R.; Frost, M.J.; Gilbert, C.E.; Gonzales, F.M.; Heilbronn, L.; Iverson, E.B.; et al. Experimental Search for Neutron to Mirror Neutron Oscillations as an Explanation of the Neutron Lifetime Anomaly. arXiv 2021, arXiv:2111.05543. [Google Scholar]
- Goldman, I.; Mohapatra, R.N.; Nussinov, S. Bounds on neutron-mirror neutron mixing from pulsar timing. Phys. Rev. D 2019, 100, 123021. [Google Scholar] [CrossRef]
- Berezhiani, Z. More about neutron—Mirror neutron oscillation. Eur. Phys. J. C 2009, 64, 421–431. [Google Scholar] [CrossRef]
- Berezhiani, Z.; Biondi, R.; Geltenbort, P.; Krasnoshchekova, I.A.; Varlamov, V.E.; Vassiljev, A.V.; Zherebtsov, O.M. New experimental limits on neutron - mirror neutron oscillations in the presence of mirror magnetic field. Eur. Phys. J. C 2018, 78, 717. [Google Scholar] [CrossRef]
- Abel, C.; Ayres, N.J.; Ban, G.; Bison, G.; Bodek, K.; Bondar, V.; Chanel, E.; Chiu, P.J.; Crawford, C.; Daum, M.; et al. A search for neutron to mirror-neutron oscillations using the nEDM apparatus at PSI. Phys. Lett. B 2021, 812, 135993. [Google Scholar] [CrossRef]
- Mohanmurthy, P.; Young, A.R.; Winger, J.A.; Zsigmond, G. A search for neutron to mirror neutron oscillation using neutron electric dipole moment measurements. arXiv 2022, arXiv:2201.04191. [Google Scholar] [CrossRef]
- Weyl, H. Electron and Gravitation. 1. Z. Phys. 1929, 56, 330–352. [Google Scholar] [CrossRef]
- Stueckelberg, E.C.G. Interaction energy in electrodynamics and in the field theory of nuclear forces. Helv. Phys. Acta 1938, 11, 225–244. [Google Scholar] [CrossRef]
- Wigner, E.P. On the Law of Conservation of Heavy Particles. Proc. Natl. Acad. Sci. USA 1952, 38, 449–451. [Google Scholar] [CrossRef]
- Wigner, E.P. Invariance in Physical Theory. In Philosophical Reflections and Syntheses; Mehra, J., Ed.; Springer: Berlin/Heidelberg, Germany, 1995; pp. 283–293. [Google Scholar] [CrossRef]
- Georgi, H.; Glashow, S.L. Unity of All Elementary Particle Forces. Phys. Rev. Lett. 1974, 32, 438–441. [Google Scholar] [CrossRef]
- Georgi, H.; Quinn, H.R.; Weinberg, S. Hierarchy of Interactions in Unified Gauge Theories. Phys. Rev. Lett. 1974, 33, 451–454. [Google Scholar] [CrossRef]
- Weinberg, S. Supersymmetry at Ordinary Energies. 1. Masses and Conservation Laws. Phys. Rev. D 1982, 26, 287. [Google Scholar] [CrossRef]
- Sakai, N.; Yanagida, T. Proton Decay in a Class of Supersymmetric Grand Unified Models. Nucl. Phys. B 1982, 197, 533. [Google Scholar] [CrossRef]
- Langacker, P. Grand Unified Theories and Proton Decay. Phys. Rep. 1981, 72, 185. [Google Scholar] [CrossRef]
- Perkins, D.H. Proton Decay Experiments. Ann. Rev. Nucl. Part. Sci. 1984, 34, 1–52. [Google Scholar] [CrossRef][Green Version]
- Senjanovic, G. Proton decay and grand unification. In Proceedings of the AIP Conference Proceedings American Institute of Physics, Boston, MA, USA, 5–10 June 2009; Volume 1200, pp. 131–141. [Google Scholar] [CrossRef]
- Nath, P.; Fileviez Perez, P. Proton stability in grand unified theories, in strings and in branes. Phys. Rep. 2007, 441, 191–317. [Google Scholar] [CrossRef]
- Babu, K.S.; Kearns, E.; Al-Binni, U.; Banerjee, S.; Baxter, D.V.; Berezhiani, Z.; Bergevin, M.; Bhattacharya, S.; Brice, S.; Brock, R.; et al. Working Group Report: Baryon Number Violation. In Community Summer Study 2013: Snowmass on the Mississippi; Fermi National Accelerator Lab.: Batavia, IL, USA, 2013. [Google Scholar]
- Agashe, K.; Servant, G. Baryon number in warped GUTs: Model building and (dark matter related) phenomenology. J. Cosmol. Astropart. Phys. 2005, 2005, 2. [Google Scholar] [CrossRef]
- Aitken, K.; McKeen, D.; Neder, T.; Nelson, A.E. Baryogenesis from Oscillations of Charmed or Beautiful Baryons. Phys. Rev. D 2017, 96, 075009. [Google Scholar] [CrossRef]
- Barducci, D.; Fabbrichesi, M.; Gabrielli, E. Neutral Hadrons Disappearing into the Darkness. Phys. Rev. D 2018, 98, 035049. [Google Scholar] [CrossRef]
- Elor, G.; Escudero, M.; Nelson, A. Baryogenesis and Dark Matter from B Mesons. Phys. Rev. D 2019, 99, 035031. [Google Scholar] [CrossRef]
- Alonso-Álvarez, G.; Elor, G.; Escudero, M.; Fornal, B.; Grinstein, B.; Camalich, J.M. The Strange Physics of Dark Baryons. arXiv 2021, arXiv:2111.12712. [Google Scholar]
- Appelquist, T.; Carazzone, J. Infrared Singularities and Massive Fields. Phys. Rev. D 1975, 11, 2856. [Google Scholar] [CrossRef]
- Weinberg, S. Baryon and Lepton Nonconserving Processes. Phys. Rev. Lett. 1979, 43, 1566–1570. [Google Scholar] [CrossRef]
- Wilczek, F.; Zee, A. Operator Analysis of Nucleon Decay. Phys. Rev. Lett. 1979, 43, 1571–1573. [Google Scholar] [CrossRef]
- Abbott, L.F.; Wise, M.B. The Effective Hamiltonian for Nucleon Decay. Phys. Rev. D 1980, 22, 2208. [Google Scholar] [CrossRef]
- Rao, S.; Shrock, R. n↔n¯ Transition Operators and Their Matrix Elements in the MIT Bag Model. Phys. Lett. B 1982, 116, 238–242. [Google Scholar] [CrossRef]
- Buchmuller, W.; Wyler, D. Effective Lagrangian Analysis of New Interactions and Flavor Conservation. Nucl. Phys. B 1986, 268, 621–653. [Google Scholar] [CrossRef]
- Grzadkowski, B.; Iskrzynski, M.; Misiak, M.; Rosiek, J. Dimension-Six Terms in the Standard Model Lagrangian. J. High Energy Phys. 2010, 10, 085. [Google Scholar] [CrossRef]
- Henning, B.; Lu, X.; Murayama, H. How to use the Standard Model effective field theory. J. High Energy Phys. 2016, 2016, 23. [Google Scholar] [CrossRef]
- Henning, B.; Lu, X.; Melia, T.; Murayama, H. 2, 84, 30, 993, 560, 15456, 11962, 261485, …: Higher dimension operators in the SM EFT. J. High Energy Phys. 2017, 2017, 16, Erratum in J. High Energy Phys. 2019, 2019, 19. [Google Scholar] [CrossRef]
- Brivio, I.; Trott, M. The Standard Model as an Effective Field Theory. Phys. Rep. 2019, 793, 1–98. [Google Scholar] [CrossRef]
- Hazama, R.; Ejiri, H.; Fushimi, K.; Ohsumi, H. Limits on single- and multinucleon decays in I-127 by inclusive measurements of nuclear gamma and x rays. Phys. Rev. C 1994, 49, 2407–2412. [Google Scholar] [CrossRef]
- Bernabei, R.; Belli, P.; Montecchia, F.; Nozzoli, F.; Cappella, F.; Incicchitti, A.; Prosperi, D.; Cerulli, R.; Dai, C.J.; Denisov, V.Y.; et al. Search for rare processes with DAMA/LXe experiment at Gran Sasso. Eur. Phys. J. A 2006, 27, 35–41. [Google Scholar] [CrossRef]
- Albert, J.B.; Anton, G.; Badhrees, I.; Barbeau, P.S.; Bayerlein, R.; Beck, D.; Belov, V.; Breidenbach, M.; Brunner, T.; Cao, G.F.; et al. Search for nucleon decays with EXO-200. Phys. Rev. D 2018, 97, 072007. [Google Scholar] [CrossRef]
- Alvis, S.I.; Arnquist, I.J.; Avignone, F.T.; Barabash, A.S.; Barton, C.J.; Basu, V.; Bertrand, F.E.; Bos, B.; Brudanin, V.; Busch, M.; et al. Search for trinucleon decay in the Majorana Demonstrator. Phys. Rev. D 2019, 99, 072004. [Google Scholar] [CrossRef]
- D’Onofrio, M.; Rummukainen, K.; Tranberg, A. Sphaleron Rate in the Minimal Standard Model. Phys. Rev. Lett. 2014, 113, 141602. [Google Scholar] [CrossRef] [PubMed]
- Tye, S.H.H.; Wong, S.S.C. Bloch Wave Function for the Periodic Sphaleron Potential and Unsuppressed Baryon and Lepton Number Violating Processes. Phys. Rev. D 2015, 92, 045005. [Google Scholar] [CrossRef]
- Ellis, J.; Sakurai, K. Search for Sphalerons in Proton-Proton Collisions. J. High Energy Phys. 2016, 2016, 086. [Google Scholar] [CrossRef]
- Tye, S.H.H.; Wong, S.S.C. Baryon Number Violating Scatterings in Laboratories. Phys. Rev. D 2017, 96, 093004. [Google Scholar] [CrossRef]
- Anderson, M.; Andringa, S.; Arushanova, E.; Asahi, S.; Askins, M.; Auty, D.J.; Back, A.R.; Barnard, Z.; Barros, N.; Bartlett, D.; et al. Search for invisible modes of nucleon decay in water with the SNO+ detector. Phys. Rev. D 2019, 99, 032008. [Google Scholar] [CrossRef]
- Heeck, J.; Takhistov, V. Inclusive Nucleon Decay Searches as a Frontier of Baryon Number Violation. Phys. Rev. D 2020, 101, 015005. [Google Scholar] [CrossRef]
- Aoki, S.; Fukugita, M.; Hashimoto, S.; Ishikawa, K.-I.; Ishizuka, N.; Iwasaki, Y.; Kanaya, K.; Kaneda, T.; Kaya, S.; Kuramashi, Y.; et al. Nucleon decay matrix elements from lattice QCD. Phys. Rev. D 2000, 62, 014506. [Google Scholar] [CrossRef]
- Aoki, Y.; Izubuchi, T.; Shintani, E.; Soni, A. Improved lattice computation of proton decay matrix elements. Phys. Rev. D 2017, 96, 014506. [Google Scholar] [CrossRef]
- Yoo, J.S.; Aoki, Y.; Boyle, P.; Izubuchi, T.; Soni, A.; Syritsyn, S. Proton decay matrix elements on the lattice at physical pion mass. arXiv 2021, arXiv:2111.01608. [Google Scholar]
- Takenaka, A.; Abe, K.; Bronner, C.; Hayato, Y.; Ikeda, M.; Imaizumi, S.; Ito, H.; Kmeda, J.; Kataoka, Y.; Kato, Y.; et al. Search for proton decay via p→e+π0 and p→μ+π0 with an enlarged fiducial volume in Super-Kamiokande I-IV. Phys. Rev. D 2020, 102, 112011. [Google Scholar] [CrossRef]
- Abe, K.; Hayato, Y.; Iida, T.; Iyogi, K.; Kameda, J.; Koshio, Y.; Kozuma, Y.; Marti, L.; Miura, M.; Moriyama, S.; et al. Search for Nucleon Decay via n→ν¯π0 and p→ν¯π+ in Super-Kamiokande. Phys. Rev. Lett. 2014, 113, 121802. [Google Scholar] [CrossRef]
- Abe, K.; Hayato, Y.; Iida, T.; Iyogi, K.; Kameda, J.; Koshio, Y.; Kozuma, Y.; Marti, L.; Miura, M.; Moriyama, S.; et al. Search for nucleon decay into charged antilepton plus meson in 0.316 megaton·years exposure of the Super-Kamiokande water Cherenkov detector. Phys. Rev. D 2017, 96, 012003. [Google Scholar] [CrossRef]
- Sussman, S.; Abe, K.; Bronner, C.; Hayato, Y.; Ikeda, M.; Iyogi, K.; Kameda, J.; Kato, Y.; Kishimoto, Y.; Marti, L.; et al. Dinucleon and Nucleon Decay to Two-Body Final States with no Hadrons in Super-Kamiokande. arXiv 2018, arXiv:1811.12430. [Google Scholar]
- McGrew, C.; Becker-Szendy, R.; Bratton, C.B.; Breault, J.L.; Cady, D.R.; Casper, D.; Dye, S.T.; Gajewski, W.; Ganezer, K.S.; Goldhaber, M.; et al. Search for nucleon decay using the IMB-3 detector. Phys. Rev. D 1999, 59, 052004. [Google Scholar] [CrossRef]
- Takhistov, V.; Abe, K.; Haga, Y.; Hayato, Y.; Ikeda, M.; Iyogi, K.; Kameda, J.; Kishimoto, Y.; Miura, M.; Moriyama, S.; et al. Search for Nucleon and Dinucleon Decays with an Invisible Particle and a Charged Lepton in the Final State at the Super-Kamiokande Experiment. Phys. Rev. Lett. 2015, 115, 121803. [Google Scholar] [CrossRef]
- Dimopoulos, S.; Raby, S.; Wilczek, F. Proton Decay in Supersymmetric Models. Phys. Lett. B 1982, 112, 133. [Google Scholar] [CrossRef]
- Ellis, J.R.; Nanopoulos, D.V.; Rudaz, S. GUTs 3: SUSY GUTs 2. Nucl. Phys. B 1982, 202, 43–62. [Google Scholar] [CrossRef]
- Ellis, J.R.; Hagelin, J.S.; Nanopoulos, D.V.; Tamvakis, K. Observable Gravitationally Induced Baryon Decay. Phys. Lett. B 1983, 124, 484–490. [Google Scholar] [CrossRef]
- Kobach, A. Baryon Number, Lepton Number, and Operator Dimension in the Standard Model. Phys. Lett. B 2016, 758, 455–457. [Google Scholar] [CrossRef]
- Helset, A.; Kobach, A. Baryon Number, Lepton Number, and Operator Dimension in the SMEFT with Flavor Symmetries. Phys. Lett. B 2020, 800, 135132. [Google Scholar] [CrossRef]
- Wilczek, F.; Zee, A. Conservation or Violation of B − L in Proton Decay. Phys. Lett. B 1979, 88, 311–314. [Google Scholar] [CrossRef]
- Davidson, A. B − L as the fourth color within an SU(2)L×U(1)R×U(1) model. Phys. Rev. D 1979, 20, 776. [Google Scholar] [CrossRef]
- Marshak, R.E.; Mohapatra, R.N. Quark–Lepton Symmetry and B-L as the U(1) Generator of the Electroweak Symmetry Group. Phys. Lett. B 1980, 91, 222–224. [Google Scholar] [CrossRef]
- Chang, L.N.; Chang, N.P. B − L nonconservation and neutron oscillation. Phys. Lett. B 1980, 92, 103–106. [Google Scholar] [CrossRef]
- Mohapatra, R.N.; Marshak, R.E. Local B-L Symmetry of Electroweak Interactions, Majorana Neutrinos and Neutron Oscillations. Phys. Rev. Lett. 1980, 44, 1316–1319, Erratum in Phys. Rev. Lett. 1980, 44, 1643. [Google Scholar] [CrossRef]
- Babu, K.S.; Mohapatra, R.N. Observable neutron anti-neutron oscillations in seesaw models of neutrino mass. Phys. Lett. B 2001, 518, 269–275. [Google Scholar] [CrossRef]
- Arnold, J.M.; Fornal, B.; Wise, M.B. Simplified models with baryon number violation but no proton decay. Phys. Rev. D 2013, 87, 075004. [Google Scholar] [CrossRef]
- Dev, P.S.B.; Mohapatra, R.N. TeV scale model for baryon and lepton number violation and resonant baryogenesis. Phys. Rev. D 2015, 92, 016007. [Google Scholar] [CrossRef]
- Berezhiani, Z. Neutron–antineutron oscillation and baryonic majoron: Low scale spontaneous baryon violation. Eur. Phys. J. C 2016, 76, 705. [Google Scholar] [CrossRef]
- Fornal, B.; Grinstein, B. SU(5) Unification without Proton Decay. Phys. Rev. Lett. 2017, 119, 241801. [Google Scholar] [CrossRef] [PubMed]
- Assad, N.; Fornal, B.; Grinstein, B. Baryon Number and Lepton Universality Violation in Leptoquark and Diquark Models. Phys. Lett. B 2018, 777, 324–331. [Google Scholar] [CrossRef]
- Helset, A.; Murgui, C.; Wise, M.B. Simple models with both baryon and lepton number violation by two units. Phys. Rev. D 2021, 104, 015029. [Google Scholar] [CrossRef]
- He, X.G.; Ma, X.D. ΔB = 2 neutron decay into antiproton mode n→p¯e+ν(ν¯). Phys. Lett. B 2021, 817, 136298. [Google Scholar] [CrossRef]
- Phillips, D.G., II; Snow, W.M.; Babu, K.; Banerjee, S.; Baxter, D.V.; Berezhiani, Z.; Bergevin, M.; Bhattacharya, S.; Brooijmans, G.; Castellanos, L.; et al. Neutron-Antineutron Oscillations: Theoretical Status and Experimental Prospects. Phys. Rep. 2016, 612, 1–45. [Google Scholar] [CrossRef]
- Babu, K.; Banerjee, S.; Baxter, D.V.; Berezhiani, Z.; Bergevin, M.; Bhatacharya, S.; Brice, S.; Burgess, T.W.; Castellanos, L.; Chattopadhyay, S.; et al. Neutron-Antineutron Oscillations: A Snowmass 2013 White Paper. arXiv 2013, arXiv:1310.8593. [Google Scholar]
- Addazi, A.; Anderson, K.; Ansell, S.; Babu, K.S.; Barrow, J.; Baxter, D.V.; Bentley, P.M.; Berezhiani, Z.; Bevilacqua, R.; Biondi, R.; et al. New high-sensitivity searches for neutrons converting into antineutrons and/or sterile neutrons at the HIBEAM/NNBAR experiment at the European Spallation Source. J. Phys. G 2021, 48, 070501. [Google Scholar] [CrossRef]
- Babu, K.; Barrow, J.; Berezhiani, Z.; Broussard, L.; Demarteau, M.; Dev, B.; de Vries, J.; Fomin, A.; Gardner, S.; Girmohanta, S.; et al. |ΔB|=2: A State of the Field, and Looking Forward–A brief status report of theoretical and experimental physics opportunities. arXiv 2020, arXiv:2010.02299. [Google Scholar]
- Fidecaro, G.; Fidecaro, M.; Lanceri, L.; Marchioro, A.; Mampe, W.; Baldo-Ceolin, M.; Mattioli, F.; Puglierin, G.; Batty, C.J.; Green, K.; et al. Experimental Search for Neutron Anti-Neutron Transitions with Free Neutrons. Phys. Lett. B 1985, 156, 122–128. [Google Scholar] [CrossRef]
- Bressi, G.; Calligarich, E.; Cambiaghi, M.; Dolfini, R.; Genoni, M.; Gigli Berzolari, A.; Lanza, A.; Liguori, G.; Mauri, F.; Piazzoli, A.; et al. Search for Free Neutron Anti-neutron Oscillations. Z. Phys. C 1989, 43, 175–179. [Google Scholar] [CrossRef]
- Bressi, G.; Calligarich, E.; Cambiaghi, M.; Dolfini, R.; Genoni, M.; Gigli Berzolari, A.; Lanza, A.; Liguori, G.; Mauri, F.; Piazzoli, A.; et al. Final results of a search for free neutron anti-neutron oscillations. Il Nuovo Cimento A 1990, 103, 731–750. [Google Scholar] [CrossRef]
- Baldo-Ceolin, M.; Benetti, P.; Bitter, T.; Bobisut, F.; Calligarich, E.; Dolfini, R.; Dubbers, D.; El-Muzeini, P.; Genoni, M.; Gibin, D.; et al. A New experimental limit on neutron—Anti-neutron oscillations. Z. Phys. C 1994, 63, 409–416. [Google Scholar] [CrossRef]
- Rinaldi, E.; Syritsyn, S.; Wagman, M.L.; Buchoff, M.I.; Schroeder, C.; Wasem, J. Neutron-antineutron oscillations from lattice QCD. Phys. Rev. Lett. 2019, 122, 162001. [Google Scholar] [CrossRef] [PubMed]
- Rinaldi, E.; Syritsyn, S.; Wagman, M.L.; Buchoff, M.I.; Schroeder, C.; Wasem, J. Lattice QCD determination of neutron-antineutron matrix elements with physical quark masses. Phys. Rev. D 2019, 99, 074510. [Google Scholar] [CrossRef]
- Berezhiani, Z. A possible shortcut for neutron–antineutron oscillation through mirror world. Eur. Phys. J. C 2021, 81, 33. [Google Scholar] [CrossRef]
- Broussard, L.J.; Bailey, K.M.; Bailey, W.B.; Barrow, J.L.; Berry, K.; Blose, A.; Crawford, C.; Debeer-Schmitt, L.; Frost, M.; Galindo-Uribarri, A.; et al. New search for mirror neutron regeneration. EPJ Web Conf. 2019, 219, 07002. [Google Scholar] [CrossRef]
- Ayres, N.J.; Berezhiani, Z.; Biondi, R.; Bison, G.; Bodek, K.; Bondar, V.; Chiu, P.-J.; Daum, M.; Dinani, R.T.; Doorenbos, C.B.; et al. Improved search for neutron to mirror-neutron oscillations in the presence of mirror magnetic fields with a dedicated apparatus at the PSI UCN source. arXiv 2021, arXiv:2111.02794. [Google Scholar]
- Mohapatra, R.N.; Marshak, R.E. Phenomenology of neutron oscillations. Phys. Lett. B 1980, 94, 183, Erratum in Phys. Lett. B 1980, 96, 444. [Google Scholar] [CrossRef]
- Cowsik, R.; Nussinov, S. Some constraints on ΔB = 2n-n¯ oscillations. Phys. Lett. B 1981, 101, 237–240. [Google Scholar] [CrossRef]
- Gardner, S.; Yan, X. Phenomenology of neutron-antineutron conversion. Phys. Rev. D 2018, 97, 056008. [Google Scholar] [CrossRef]
- Basecq, J.; Wolfenstein, L. ΔB = 2 transitions. Nucl. Phys. B 1983, 224, 21. [Google Scholar] [CrossRef]
- Dover, C.B.; Gal, A.; Richard, J.M. Neutron-antineutron oscillations in nuclei. Phys. Rev. D 1983, 27, 1090–1100. [Google Scholar] [CrossRef]
- Aharmim, B.; Ahmed, S.N.; Anthony, A.E.; Barros, N.; Beier, E.W.; Bellerive, A.; Beltran, B.; Bergevin, M.; Biller, S.D.; Boudjemline, K.; et al. Search for neutron-antineutron oscillations at the Sudbury Neutrino Observatory. Phys. Rev. D 2017, 96, 092005. [Google Scholar] [CrossRef]
- Takita, M.; Arisaka, K.; Kajita, T.; Kifune, T.; Koshiba, M.; Miyano, K.; Nakahata, M.; Oyama, Y.; Sato, N.; Suda, T.; et al. A Search for Neutron - Anti-neutron Oscillation in a 16O Nucleus. Phys. Rev. D 1986, 34, 902. [Google Scholar] [CrossRef] [PubMed]
- Abe, K.; Hayato, Y.; Iida, T.; Ishihara, K.; Kameda, J.; Koshio, Y.; Minamino, A.; Mitsuda, C.; Miura, M.; Moriyama, S.; et al. The Search for n-n¯ oscillation in Super-Kamiokande I. Phys. Rev. D 2015, 91, 072006. [Google Scholar] [CrossRef]
- Abe, K.; Bronner, C.; Hayato, Y.; Ikeda, M.; Imaizumi, S.; Ito, H.; Kameda, J.; Kataoka, Y.; Miura, M.; Moriyama, S.; et al. Neutron-antineutron oscillation search using a 0.37 megaton-years exposure of Super-Kamiokande. Phys. Rev. D 2021, 103, 012008. [Google Scholar] [CrossRef]
- Berger, C.; Frohlich, M.; Monch, H.; Nisius, R.; Raupach, F.; Schleper, P.; Benadjal, Y.; Blum, D.; Bourdarios, C.; Dudelzak, B.; et al. Search for Neutron - Anti-neutron Oscillations in the Frejus Detector. Phys. Lett. B 1990, 240, 237–242. [Google Scholar] [CrossRef]
- Chung, J.; Allison, W.W.M.; Alner, G.J.; Ayres, D.S.; Barrett, W.L.; Border, P.M.; Cobb, J.H.; Courant, H.; Demuth, D.M.; Fields, T.H.; et al. Search for neutron anti-neutron oscillations using multiprong events in Soudan 2. Phys. Rev. D 2002, 66, 032004. [Google Scholar] [CrossRef]
- Friedman, E.; Gal, A. Realistic calculations of nuclear disappearance lifetimes induced by n anti-n oscillations. Phys. Rev. D 2008, 78, 016002. [Google Scholar] [CrossRef]
- Oosterhof, F.; Long, B.; de Vries, J.; Timmermans, R.G.E.; van Kolck, U. Baryon-number violation by two units and the deuteron lifetime. Phys. Rev. Lett. 2019, 122, 172501. [Google Scholar] [CrossRef] [PubMed]
- Haidenbauer, J.; Meißner, U.G. Neutron-antineutron oscillations in the deuteron studied with NN and N¯N interactions based on chiral effective field theory. Chin. Phys. C 2020, 44, 033101. [Google Scholar] [CrossRef]
- Abi, B.; Acciarri, R.; Acero, M.A.; Adamov, G.; Adams, D.; Adinolfi, M.; Ahmad, Z.; Ahmed, J.; Alion, T.; Alonso Monsalve, S.; et al. Prospects for beyond the Standard Model physics searches at the Deep Underground Neutrino Experiment. Eur. Phys. J. C 2021, 81, 322. [Google Scholar] [CrossRef]
- Barrow, J.L.; Golubeva, E.S.; Paryev, E.; Richard, J.M. Progress and simulations for intranuclear neutron-antineutron transformations in Ar. Phys. Rev. D 2020, 101, 036008. [Google Scholar] [CrossRef]
- Bramante, J.; Kumar, J.; Learned, J. Proton annihilation at hadron colliders and Kamioka: High-energy versus high-luminosity. Phys. Rev. D 2015, 91, 035012. [Google Scholar] [CrossRef]
- Feinberg, G.; Goldhaber, M.; Steigman, G. Multiplicative Baryon Number Conservation and the Oscillation of Hydrogen Into Anti-hydrogen. Phys. Rev. D 1978, 18, 1602. [Google Scholar] [CrossRef]
- Arnellos, L.; Marciano, W.J. Hydrogen—Anti-hydrogen Oscillations, Double Proton Decay and Grand Unified Theories. Phys. Rev. Lett. 1982, 48, 1708. [Google Scholar] [CrossRef]
- Grossman, Y.; Ng, W.H.; Ray, S. Revisiting the bounds on hydrogen-antihydrogen oscillations from diffuse γ-ray surveys. Phys. Rev. D 2018, 98, 035020. [Google Scholar] [CrossRef]
- Gardner, S.; Yan, X. Processes that break baryon number by two units and the Majorana nature of the neutrino. Phys. Lett. B 2019, 790, 421–426. [Google Scholar] [CrossRef]
- Schechter, J.; Valle, J.W.F. Neutrino Masses in SU(2) x U(1) Theories. Phys. Rev. D 1980, 22, 2227. [Google Scholar] [CrossRef]
- Babu, K.S.; Mohapatra, R.N. Determining Majorana Nature of Neutrino from Nucleon Decays and n-n¯ oscillations. Phys. Rev. D 2015, 91, 013008. [Google Scholar] [CrossRef]
- Perera, B.B.P.; DeCesar, M.E.; Demorest, P.B.; Kerr, M.; Lentati, L.; Nice, D.J.; Osłowski, S.; Ransom, S.M.; Keith, M.J.; Arzoumanian, Z.; et al. The International Pulsar Timing Array: Second data release. Mon. Not. R. Astron. Soc. 2019, 490, 4666–4687. [Google Scholar] [CrossRef]
- Alam, M.F.; Arzoumanian, Z.; Baker, P.T.; Blumer, H.; Bohler, K.E.; Brazier, A.; Brook, P.R.; Burke-Spolaor, S.; Caballero, K.; Camuccio, R.S.; et al. The NANOGrav 12.5 yr Data Set: Observations and Narrowband Timing of 47 Millisecond Pulsars. Astrophys. J. Suppl. 2021, 252, 4. [Google Scholar] [CrossRef]
- Reardon, D.J.; Shannon, R.M.; Cameron, A.D.; Concharov, B.; Hobbs, G.B.; Middleton, H.; Shamohammadi, M.; Thyagarajan, N.; Bailes, M.; Bhat, N.D.R.; et al. The Parkes pulsar timing array second data release: Timing analysis. Mon. Not. R. Astron. Soc. 2021, 507, 2137–2153. [Google Scholar] [CrossRef]
- Guillot, S.; Pavlov, G.G.; Reyes, C.; Reisenegger, A.; Rodriguez, L.; Rangelov, B.; Kargaltsev, O. Hubble Space Telescope Nondetection of PSR J2144–3933: The Coldest Known Neutron Star. Astrophys. J. 2019, 874, 175. [Google Scholar] [CrossRef]
- Sedrakian, A.; Li, J.J.; Weber, F. Hyperonization in compact stars. arXiv 2021, arXiv:2105.14050. [Google Scholar]
- Logoteta, D. Hyperons in Neutron Stars. Universe 2021, 7, 408. [Google Scholar] [CrossRef]
- Vidaña, I. Hyperons in Finite and Infinite Nuclear Systems. Universe 2021, 7, 376. [Google Scholar] [CrossRef]
- Thapa, V.B.; Kumar, A.; Sinha, M. Baryonic dense matter in view of gravitational-wave observations. Mon. Not. R. Astron. Soc. 2021, 507, 2991–3004. [Google Scholar] [CrossRef]
- Adelberger, E.G.; Stubbs, C.W.; Heckel, B.R.; Su, Y.; Swanson, H.E.; Smith, G.; Gundlach, J.H.; Rogers, W.F. Testing the equivalence principle in the field of the earth: Particle physics at masses below 1-microEV? Phys. Rev. D 1990, 42, 3267–3292. [Google Scholar] [CrossRef]
- Schlamminger, S.; Choi, K.Y.; Wagner, T.A.; Gundlach, J.H.; Adelberger, E.G. Test of the equivalence principle using a rotating torsion balance. Phys. Rev. Lett. 2008, 100, 041101. [Google Scholar] [CrossRef] [PubMed]
- Murata, J.; Tanaka, S. A review of short-range gravity experiments in the LHC era. Class. Quant. Grav. 2015, 32, 033001. [Google Scholar] [CrossRef]
- Lee, T.; Yang, C.N. Conservation of Heavy Particles and Generalized Gauge Transformations. Phys. Rev. 1955, 98, 1501. [Google Scholar] [CrossRef]
- Pais, A. Remark on baryon conservation. Phys. Rev. D 1973, 8, 1844–1846. [Google Scholar] [CrossRef]
- Rajpoot, S. Gauge Symmetries of Electroweak Interactions. Int. J. Theor. Phys. 1988, 27, 689. [Google Scholar] [CrossRef]
- Foot, R.; Joshi, G.C.; Lew, H. Gauged baryon and lepton numbers. Phys Rev. D 1989, 40, 2487–2489. [Google Scholar] [CrossRef]
- Nelson, A.E.; Tetradis, N. Constraints on a New Vector Boson Coupled to Baryons. Phys. Lett. B 1989, 221, 80–84. [Google Scholar] [CrossRef]
- He, X.G.; Rajpoot, S. Anomaly-free left-right-symmetric models with gauged baryon and lepton numbers. Phys. Rev. D 1990, 41, 1636–1639. [Google Scholar] [CrossRef]
- Bailey, D.C.; Davidson, S. Is there a vector boson coupling to baryon number? Phys. Lett. B 1995, 348, 185–189. [Google Scholar] [CrossRef][Green Version]
- Carone, C.D.; Murayama, H. Possible Light U(1) Gauge Boson Coupled to Baryon Number. Phys. Rev. Lett. 1995, 74, 3122–3125. [Google Scholar] [CrossRef]
- Carone, C.D.; Murayama, H. Realistic models with a light U(1) gauge boson coupled to baryon number. Phys. Rev. D 1995, 52, 484–493. [Google Scholar] [CrossRef] [PubMed]
- Aranda, A.; Carone, C.D. Limits on a light leptophobic gauge boson. Phys. Lett. B 1998, 443, 352–358. [Google Scholar] [CrossRef][Green Version]
- Fileviez Pérez, P.; Wise, M.B. Baryon and lepton number as local gauge symmetries. Phys. Rev. D 2010, 82, 011901. [Google Scholar] [CrossRef]
- Dulaney, T.R.; Fileviez Perez, P.; Wise, M.B. Dark Matter, Baryon Asymmetry, and Spontaneous B and L Breaking. Phys. Rev. D 2011, 83, 023520. [Google Scholar] [CrossRef]
- Dong, P.V.; Long, H.N. A simple model of gauged lepton and baryon charges. Phys. Int. 2015, 6, 23. [Google Scholar] [CrossRef]
- Ko, P.; Omura, Y. Supersymmetric U(1)B×U(1)L model with leptophilic and leptophobic cold dark matters. Phys. Lett. B 2011, 701, 363–366. [Google Scholar] [CrossRef]
- Buckley, M.; Fileviez Perez, P.; Hooper, D.; Neil, E. Dark Forces At The Tevatron. Phys. Lett. B 2011, 702, 256–259. [Google Scholar] [CrossRef]
- Fileviez Perez, P.; Wise, M.B. Low Energy Supersymmetry with Baryon and Lepton Number Gauged. Phys. Rev. D 2011, 84, 055015. [Google Scholar] [CrossRef]
- Fileviez Perez, P.; Wise, M.B. Breaking Local Baryon and Lepton Number at the TeV Scale. J. High Energy Phys. 2011, 2011, 068. [Google Scholar] [CrossRef]
- Graesser, M.L.; Shoemaker, I.M.; Vecchi, L. A Dark Force for Baryons. arXiv 2011, arXiv:1107.2666. [Google Scholar]
- Duerr, M.; Fileviez Perez, P.; Wise, M.B. Gauge Theory for Baryon and Lepton Numbers with Leptoquarks. Phys. Rev. Lett. 2013, 110, 231801. [Google Scholar] [CrossRef] [PubMed]
- Dobrescu, B.A.; Frugiuele, C. Hidden GeV-scale interactions of quarks. Phys. Rev. Lett. 2014, 113, 061801. [Google Scholar] [CrossRef] [PubMed]
- Tulin, S. New weakly-coupled forces hidden in low-energy QCD. Phys. Rev. D 2014, 89, 114008. [Google Scholar] [CrossRef]
- Fanelli, C.; Williams, M. Photoproduction of leptophobic bosons. J. Phys. G 2017, 44, 014002. [Google Scholar] [CrossRef]
- Fornal, B.; Rajaraman, A.; Tait, T.M.P. Baryon Number as the Fourth Color. Phys. Rev. D 2015, 92, 055022. [Google Scholar] [CrossRef]
- Fornal, B.; Tait, T.M.P. Dark Matter from Unification of Color and Baryon Number. Phys. Rev. D 2016, 93, 075010. [Google Scholar] [CrossRef]
- Fileviez Perez, P.; Ohmer, S. Unification and Local Baryon Number. Phys. Lett. B 2017, 768, 86–91. [Google Scholar] [CrossRef]
- Berryman, J.M.; Gardner, S. Neutron star structure with a new force between quarks. Phys. Rev. C 2021, 104, 045802. [Google Scholar] [CrossRef]
- Leeb, H.; Schmiedmayer, J. Constraint on hypothetical light interacting bosons from low-energy neutron experiments. Phys. Rev. Lett. 1992, 68, 1472–1475. [Google Scholar] [CrossRef]
- Barbieri, R.; Ericson, T.E.O. Evidence Against the Existence of a Low Mass Scalar Boson from Neutron-Nucleus Scattering. Phys. Lett. B 1975, 57, 270–272. [Google Scholar] [CrossRef]
- Tanaka, S.; Nakaya, Y.; Narikawa, R.; Ninomiya, K.; Onishi, J.; Pearson, M.; Openshaw, R.; Saiba, S.; Tanuma, R.; Totsuka, Y.; et al. Search of non-standard strong gravity at nuclear scale using electron spin geodetic precession. EPJ Web Conf. 2014, 66, 05021. [Google Scholar] [CrossRef]
- Xu, J.; Li, B.A.; Chen, L.W.; Zheng, H. Nuclear constraints on non-Newtonian gravity at femtometer scale. J. Phys. G 2013, 40, 035107. [Google Scholar] [CrossRef]
- Suliga, A.M.; Shalgar, S.; Fuller, G.M. A closer look at the pp-chain reaction in the Sun: Constraining the coupling of light mediators to protons. J. Cosmol. Astropart. Phys. 2021, 2021, 042. [Google Scholar] [CrossRef]
- Epelbaum, E.; Hammer, H.W.; Meissner, U.G. Modern Theory of Nuclear Forces. Rev. Mod. Phys. 2009, 81, 1773–1825. [Google Scholar] [CrossRef]
- Machleidt, R.; Entem, D.R. Chiral effective field theory and nuclear forces. Phys. Rep. 2011, 503, 1–75. [Google Scholar] [CrossRef]
- Hammer, H.W.; König, S.; van Kolck, U. Nuclear effective field theory: Status and perspectives. Rev. Mod. Phys. 2020, 92, 025004. [Google Scholar] [CrossRef]
- Drischler, C.; Holt, J.W.; Wellenhofer, C. Chiral Effective Field Theory and the High-Density Nuclear Equation of State. Annu. Rev. Nucl. Part. Sci. 2021, 71, 403–432. [Google Scholar] [CrossRef]
- Dobrescu, B.A.; Yu, F. Dijet and electroweak limits on a Z′ boson coupled to quarks. arXiv 2021, arXiv:2112.05392. [Google Scholar]
- Rrapaj, E.; Reddy, S. Nucleon-nucleon bremsstrahlung of dark gauge bosons and revised supernova constraints. Phys. Rev. C 2016, 94, 045805. [Google Scholar] [CrossRef]
- Shin, C.S.; Yun, S. Dark gauge boson production from neutron stars via nucleon-nucleon bremsstrahlung. arXiv 2021, arXiv:2110.03362. [Google Scholar] [CrossRef]
- Hong, D.K.; Shin, C.S.; Yun, S. Cooling of young neutron stars and dark gauge bosons. Phys. Rev. D 2021, 103, 123031. [Google Scholar] [CrossRef]
- Drischler, C.; Haxton, W.; McElvain, K.; Mereghetti, E.; Nicholson, A.; Vranas, P.; Walker-Loud, A. Towards grounding nuclear physics in QCD. Prog. Part. Nucl. Phys. 2021, 121, 103888. [Google Scholar] [CrossRef]
- Wiringa, R.B.; Smith, R.A.; Ainsworth, T.L. Nucleon Nucleon Potentials with and Without Delta (1232) Degrees of Freedom. Phys. Rev. C 1984, 29, 1207–1221. [Google Scholar] [CrossRef]
- Machleidt, R.; Holinde, K.; Elster, C. The Bonn Meson Exchange Model for the Nucleon Nucleon Interaction. Phys. Rep. 1987, 149, 1–89. [Google Scholar] [CrossRef]
- Wiringa, R.B.; Stoks, V.G.J.; Schiavilla, R. An Accurate nucleon-nucleon potential with charge independence breaking. Phys. Rev. C 1995, 51, 38–51. [Google Scholar] [CrossRef] [PubMed]
- Machleidt, R. The High precision, charge dependent Bonn nucleon-nucleon potential (CD-Bonn). Phys. Rev. C 2001, 63, 024001. [Google Scholar] [CrossRef]
- Fujita, J.; Miyazawa, H. Pion Theory of Three-Body Forces. Prog. Theor. Phys. 1957, 17, 360–365. [Google Scholar] [CrossRef]
- McKellar, B.H.J.; Rajaraman, R. Three-Body Forces in Nuclear Matter. Phys. Rev. Lett. 1968, 21, 450–453. [Google Scholar] [CrossRef]
- Coon, S.A.; Scadron, M.D.; Barrett, B.R. The Three-Body Force, Off-Shell Pion Nucleon Scattering, and Binding Energies in Nuclear Matter. Nucl. Phys. A 1975, 242, 467–480, Erratum in Nucl. Phys. A 1975, 254, 542–543. [Google Scholar] [CrossRef]
- Coelho, H.T.; Das, T.K.; Robilotta, M.R. Two-pion-exchange three-nucleon force and the 3H and 3He nuclei. Phys. Rev. C 1983, 28, 1812–1828. [Google Scholar] [CrossRef]
- Carlson, J.; Pandharipande, V.R.; Wiringa, R.B. Three-nucleon interaction in 3-body, 4-body, and infinite-body systems. Nucl. Phys. A 1983, 401, 59–85. [Google Scholar] [CrossRef]
- Robilotta, M.R.; Coelho, H.T. Taming the Two Pion Exchange Three Nucleon Potential. Nucl. Phys. A 1986, 460, 645–674. [Google Scholar] [CrossRef]
- Pieper, S.C.; Pandharipande, V.R.; Wiringa, R.B.; Carlson, J. Realistic models of pion exchange three nucleon interactions. Phys. Rev. C 2001, 64, 014001. [Google Scholar] [CrossRef]
- Coon, S.A.; Han, H.K. Reworking the Tucson-Melbourne three nucleon potential. Few Body Syst. 2001, 30, 131–141. [Google Scholar] [CrossRef]
- Friar, J.L.; Huber, D.; van Kolck, U. Chiral symmetry and three nucleon forces. Phys. Rev. C 1999, 59, 53–58. [Google Scholar] [CrossRef]
- Epelbaum, E. Four-nucleon force in chiral effective field theory. Phys. Lett. B 2006, 639, 456–461. [Google Scholar] [CrossRef]
- Hammer, H.W.; Nogga, A.; Schwenk, A. Three-body forces: From cold atoms to nuclei. Rev. Mod. Phys. 2013, 85, 197. [Google Scholar] [CrossRef]
- Prakhov, S.; Nefkens, B.M.K.; Allgower, C.E.; Bekrenev, V.; Briscow, W.J.; Comfort, J.R.; Craig, K.; Grosnick, D.; Isenhower, S.; Knecht, N.; et al. Measurement of the invariant-mass spectrum for the two photons from the η→π0γγ decay. Phys. Rev. C 2008, 78, 015206. [Google Scholar] [CrossRef]
- Ablikim, M.; Achasov, M.N.; Ahmed, S.; Ai, X.C.; Albayrak, O.; Albrecht, M.; Ambrose, D.J.; Amoroso, A.; An, F.F.; An, Q.; et al. Observation of the doubly radiative decay η′→γγπ0. Phys. Rev. D 2017, 96, 012005. [Google Scholar] [CrossRef]
- Ablikim, M.; Achasov, M.N.; Adlarson, P.; Ahmed, S.; Albrecht, M.; Alekseev, M.; Amoroso, A.; An, F.F.; An, Q.; Bai, Y.; et al. Search for the decay η′→γγη. Phys. Rev. D 2019, 100, 052015. [Google Scholar] [CrossRef]
- Ablikim, M.; Achasov, M.N.; Ahmed, S.; Albrecht, M.; Alekseev, M.; Amoroso, A.; An, F.F.; An, Q.; Bai, Y.; Bakina, O.; et al. Precision Measurement of the Branching Fractions of η’ Decays. Phys. Rev. Lett. 2019, 122, 142002. [Google Scholar] [CrossRef]
- Adhikari, S.; Akondi, C.S.; Al Ghoul, H.; Ali, A.; Amaryan, M.; Anassontzis, E.G.; Austregesilo, A.; Barbosa, F.; Barlow, J.; Barnes, A.; et al. The GLUEX beamline and detector. Nucl. Instrum. Meth. A 2021, 987, 164807. [Google Scholar] [CrossRef]
- Gan, L.; Kubis, B.; Passemar, E.; Tulin, S. Precision tests of fundamental physics with η and η′ mesons. Phys. Rep. 2022, 945, 1–105. [Google Scholar] [CrossRef]
- Ametller, L.; Bijnens, J.; Bramon, A.; Cornet, F. Chiral perturbation theory for η→π0γγ. Phys. Lett. B 1992, 276, 185–190. [Google Scholar] [CrossRef]
- Bijnens, J.; Fayyazuddin, A.; Prades, J. The γγ→π0π0 and η→π0γγ transitions in the extended NJL model. Phys. Lett. B 1996, 379, 209–218. [Google Scholar] [CrossRef][Green Version]
- Oset, E.; Pelaez, J.R.; Roca, L. η→π0γγ decay within a chiral unitary approach. Phys. Rev. D 2003, 67, 073013. [Google Scholar] [CrossRef]
- Oset, E.; Pelaez, J.R.; Roca, L. η→π0γγ decay within a chiral unitary approach revisited. Phys. Rev. D 2008, 77, 073001. [Google Scholar] [CrossRef]
- Escribano, R.; Gonzàlez-Solís, S.; Jora, R.; Royo, E. Theoretical analysis of the doubly radiative decays η(′)→π0γγ and η′→ηγγ. Phys. Rev. D 2020, 102, 034026. [Google Scholar] [CrossRef]
- Bjorken, J.D.; Essig, R.; Schuster, P.; Toro, N. New Fixed-Target Experiments to Search for Dark Gauge Forces. Phys. Rev. D 2009, 80, 075018. [Google Scholar] [CrossRef]
- Dugger, M.; Ritchie, B.; Senderovich, I.; Anassontzis, E.; Ioannou, P.; Kourkoumeli, C.; Vasileiadis, G.; Voulgaris, G.; Jarvis, N.; Levine, W.; et al. Eta Decays with Emphasis on Rare Neutral Modes: The JLab Eta Factory (JEF) Experiment. Available online: https://www.jlab.org/exp_prog/proposals/14/PR12-14-004.pdf (accessed on 31 December 2021).
- Al Ghoul, H.; Cannon, B.E.; Crede, V.; Ernst, A.; Eugenio, P.; Ostrovidov, A.I.; Tsaris, A.; Ali, A.; Dzhygadlo, R.; Goetzen, K.; et al. Update to the JEF Proposal (PR12-14-004). Available online: https://www.jlab.org/exp_prog/proposals/17/C12-14-004.pdf (accessed on 31 December 2021).
- Gatto, C.; Fabela Enriquez, B.; Pedraza Morales, M.I. The REDTOP project: Rare Eta Decays with a TPC for Optical Photons. PoS 2016, ICHEP2016, 812. [Google Scholar] [CrossRef]
- Ilten, P.; Soreq, Y.; Williams, M.; Xue, W. Serendipity in dark photon searches. J. High Energy Phys. 2018, 06, 004. [Google Scholar] [CrossRef]
- Caputo, A.; Millar, A.J.; O’Hare, C.A.J.; Vitagliano, E. Dark photon limits: A handbook. Phys. Rev. D 2021, 104, 095029. [Google Scholar] [CrossRef]
- Aaij, R.; Adeva, B.; Adinolfi, M.; Addolder, A.; Ajaltouni, Z.; Akar, S.; Albrecht, J.; Alessio, F.; Alexander, M.; Ali, S.; et al. Search for hidden-sector bosons in B0→K*0μ+μ- decays. Phys. Rev. Lett. 2015, 115, 161802. [Google Scholar] [CrossRef]
- Aaij, R.; Adeva, B.; Adinolfi, M.; Ajaltouni, Z.; Akar, S.; Albrecht, J.; Alessio, F.; Alexander, M.; Alfonso Albero, A.; Ali, S.; et al. Search for Dark Photons Produced in 13 TeV pp Collisions. Phys. Rev. Lett. 2018, 120, 061801. [Google Scholar] [CrossRef]
- Wess, J.; Zumino, B. Consequences of anomalous Ward identities. Phys. Lett. B 1971, 37, 95–97. [Google Scholar] [CrossRef]
- D’Hoker, E.; Farhi, E. Decoupling a Fermion Whose Mass Is Generated by a Yukawa Coupling: The General Case. Nucl. Phys. B 1984, 248, 59–76. [Google Scholar] [CrossRef]
- D’Hoker, E.; Farhi, E. Decoupling a Fermion in the Standard Electroweak Theory. Nucl. Phys. B 1984, 248, 77. [Google Scholar] [CrossRef]
- Anastasopoulos, P.; Bianchi, M.; Dudas, E.; Kiritsis, E. Anomalies, anomalous U(1)’s and generalized Chern-Simons terms. J. High Energy Phys. 2006, 11, 057. [Google Scholar] [CrossRef]
- Dedes, A.; Suxho, K. Heavy Fermion Non-Decoupling Effects in Triple Gauge Boson Vertices. Phys. Rev. D 2012, 85, 095024. [Google Scholar] [CrossRef]
- Arcadi, G.; Ghosh, P.; Mambrini, Y.; Pierre, M.; Queiroz, F.S. Z′ portal to Chern-Simons Dark Matter. J. Cosmol. Astropart. Phys. 2017, 11, 020. [Google Scholar] [CrossRef][Green Version]
- Ismail, A.; Katz, A.; Racco, D. On dark matter interactions with the Standard Model through an anomalous Z′. J. High Energy Phys. 2017, 10, 165. [Google Scholar] [CrossRef]
- Dror, J.A.; Lasenby, R.; Pospelov, M. New constraints on light vectors coupled to anomalous currents. Phys. Rev. Lett. 2017, 119, 141803. [Google Scholar] [CrossRef]
- Dror, J.A.; Lasenby, R.; Pospelov, M. Dark forces coupled to nonconserved currents. Phys. Rev. D 2017, 96, 075036. [Google Scholar] [CrossRef]
- Michaels, L.; Yu, F. Probing new U(1) gauge symmetries via exotic Z→Z′γ decays. J. High Energy Phys. 2021, 3, 1–29. [Google Scholar] [CrossRef]
- Harnik, R.; Kopp, J.; Machado, P.A.N. Exploring ν Signals in Dark Matter Detectors. J. Cosmol. Astropart. Phys. 2012, 2012, 026. [Google Scholar] [CrossRef]
- Bauer, M.; Foldenauer, P.; Jaeckel, J. Hunting All the Hidden Photons. J. High Energy Phys. 2018, 07, 094. [Google Scholar] [CrossRef]
- Adelberger, E.G.; Gundlach, J.H.; Heckel, B.R.; Hoedl, S.; Schlamminger, S. Torsion balance experiments: A low-energy frontier of particle physics. Prog. Part. Nucl. Phys. 2009, 62, 102–134. [Google Scholar] [CrossRef]
- Cromartie, H.T.; Fonseca, E.; Ransom, S.M.; Demorest, P.B.; Arzoumanian, Z.; Blumer, H.; Brook, P.R.; DeCesar, M.E.; Dolch, T.; Ellis, J.A.; et al. Relativistic Shapiro delay measurements of an extremely massive millisecond pulsar. Nat. Astron. 2019, 4, 72–76. [Google Scholar] [CrossRef]
- Fonseca, E.; Cromartie, H.T.; Pennucci, T.T.; Ray, P.S.; Kirichenko, A.Y.; Ransom, S.M.; Demorest, P.B.; Stairs, I.H.; Arzoumanian, Z.; Guillemot, L.; et al. Refined Mass and Geometric Measurements of the High-mass PSR J0740+6620. Astrophys. J. Lett. 2021, 915, L12. [Google Scholar] [CrossRef]
- Landry, P.; Essick, R. Nonparametric inference of the neutron star equation of state from gravitational wave observations. Phys. Rev. D 2019, 99, 084049. [Google Scholar] [CrossRef]
- Essick, R.; Landry, P.; Holz, D.E. Nonparametric Inference of Neutron Star Composition, Equation of State, and Maximum Mass with GW170817. Phys. Rev. D 2020, 101, 063007. [Google Scholar] [CrossRef]
- Jiang, J.L.; Tang, S.P.; Wang, Y.Z.; Fan, Y.Z.; Wei, D.M. PSR J0030+0451, GW170817 and the nuclear data: Joint constraints on equation of state and bulk properties of neutron stars. Astrophys. J. 2020, 892, 1. [Google Scholar] [CrossRef]
- Raaijmakers, G.; Greif, S.K.; Riley, T.E.; Hinderer, T.; Hebeler, K.; Schwenk, A.; Watts, A.L.; Nissanke, S.; Guillot, S.; Lattimer, J.M.; et al. Constraining the dense matter equation of state with joint analysis of NICER and LIGO/Virgo measurements. Astrophys. J. Lett. 2020, 893, L21. [Google Scholar] [CrossRef]
- Dietrich, T.; Coughlin, M.W.; Pang, P.T.H.; Bulla, M.; Heinzel, J.; Issa, L.; Tews, I.; Antier, S. Multimessenger constraints on the neutron-star equation of state and the Hubble constant. Science 2020, 370, 1450–1453. [Google Scholar] [CrossRef]
- Bogdanov, S.; Guillot, S.; Ray, P.S.; Wolff, M.T.; Chakrabarty, D.; Ho, W.C.G.; Kerr, M.; Lamb, F.K.; Lommen, A.; Ludlam, R.M.; et al. Constraining the Neutron Star Mass–Radius Relation and Dense Matter Equation of State with NICER. I. The Millisecond Pulsar X-ray Data Set. Astrophys. J. Lett. 2019, 887, L25. [Google Scholar] [CrossRef]
- Bogdanov, S.; Lamb, F.K.; Mahmoodifar, S.; Miller, M.C.; Morsink, S.M.; Riley, T.E.; Strohmayer, T.E.; Watts, A.L.; Dittmann, A.J.; Chakrabarty, D.; et al. Constraining the Neutron Star Mass–Radius Relation and Dense Matter Equation of State with NICER. II. Emission from Hot Spots on a Rapidly Rotating Neutron Star. Astrophys. J. Lett. 2019, 887, L26. [Google Scholar] [CrossRef]
- Bogdanov, S.; Dittmann, A.J.; Ho, W.C.G.; Lamb, F.K.; Mahmoodifar, S.; Miller, M.C.; Morsink, S.M.; Riley, T.E.; Strohmayer, T.E.; Watts, A.L.; et al. Constraining the Neutron Star Mass-Radius Relation and Dense Matter Equation of State with NICER. III. Model Description and Verification of Parameter Estimation Codes. Astrophys. J. Lett. 2021, 914, L15. [Google Scholar] [CrossRef]
- Raaijmakers, G.; Riley, T.E.; Watts, A.L.; Greif, S.K.; Morsink, S.M.; Hebeler, K.; Schwenk, A.; Hinderer, T.; Nissanke, S.; Guillot, S.; et al. A NICER view of PSR J0030+0451: Implications for the dense matter equation of state. Astrophys. J. Lett. 2019, 887, L22. [Google Scholar] [CrossRef]
- Miller, M.C.; Lamb, F.K.; Dittmann, A.J.; Bogdanov, S.; Arzoumanian, Z.; Gendreau, K.C.; Guillot, S.; Harding, A.K.; Ho, W.C.G.; Lattimer, J.M.; et al. PSR J0030+0451 Mass and Radius from NICER Data and Implications for the Properties of Neutron Star Matter. Astrophys. J. Lett. 2019, 887, L24. [Google Scholar] [CrossRef]
- Miller, M.C.; Lamb, F.K.; Dittmann, A.J.; Bogdanov, S.; Arzoumanian, Z.; Gendreau, K.C.; Guillot, S.; Ho, W.C.G.; Lattimer, J.M.; Loewenstein, M.; et al. The Radius of PSR J0740+6620 from NICER and XMM-Newton Data. Astrophys. J. Lett. 2021, 918, L28. [Google Scholar] [CrossRef]
- Riley, T.E.; Watts, A.L.; Ray, P.S.; Bogdanov, S.; Guillot, S.; Morsink, S.M.; Bilous, A.V.; Arzoumanian, Z.; Choudhury, D.; Deneva, J.S.; et al. A NICER View of the Massive Pulsar PSR J0740+6620 Informed by Radio Timing and XMM-Newton Spectroscopy. Astrophys. J. Lett. 2021, 918, L27. [Google Scholar] [CrossRef]
- Akmal, A.; Pandharipande, V.R.; Ravenhall, D.G. The Equation of state of nucleon matter and neutron star structure. Phys. Rev. C 1998, 58, 1804–1828. [Google Scholar] [CrossRef]
- Abbott, B.P.; Abbott, R.; Abbott, T.D.; Acernese, F.; Ackley, K.; Adams, C.; Adams, T.; Addesso, P.; Adhikari, R.X.; Adya, V.B.; et al. GW170817: Observation of Gravitational Waves from a Binary Neutron Star Inspiral. Phys. Rev. Lett. 2017, 119, 161101. [Google Scholar] [CrossRef]
- Abbott, B.P.; Abbott, R.; Abbott, T.D.; Abraham, S.; Acernese, F.; Ackley, K.; Adams, C.; Adhikari, R.X.; Adya, V.B.; Affeldt, C.; et al. GW190425: Observation of a Compact Binary Coalescence with Total Mass ∼3.4M⊙. Astrophys. J. Lett. 2020, 892, L3. [Google Scholar] [CrossRef]
- Koranda, S.; Stergioulas, N.; Friedman, J.L. Upper limit set by causality on the rotation and mass of uniformly rotating relativistic stars. Astrophys. J. 1997, 488, 799. [Google Scholar] [CrossRef]
- Cook, G.B.; Shapiro, S.L.; Teukolsky, S.A. Rapidly rotating neutron stars in general relativity: Realistic equations of state. Astrophys. J. 1994, 424, 823. [Google Scholar] [CrossRef]
- Lasota, J.P.; Haensel, P.; Abramowicz, M.A. Fast rotation of neutron stars. Astrophys. J. 1996, 456, 300. [Google Scholar] [CrossRef]
- Breu, C.; Rezzolla, L. Maximum mass, moment of inertia and compactness of relativistic stars. Mon. Not. R. Astron. Soc. 2016, 459, 646–656. [Google Scholar] [CrossRef]
- Baumgarte, T.W.; Shapiro, S.L.; Shibata, M. On the maximum mass of differentially rotating neutron stars. Astrophys. J. Lett. 2000, 528, L29. [Google Scholar] [CrossRef]
- Gondek-Rosińska, D.; Kowalska, I.; Villain, L.; Ansorg, M.; Kucaba, M. A new view on the maximum mass of differentially rotating neutron stars. Astrophys. J. 2017, 837, 58. [Google Scholar] [CrossRef]
- Weih, L.R.; Most, E.R.; Rezzolla, L. On the stability and maximum mass of differentially rotating relativistic stars. Mon. Not. R. Astron. Soc. 2018, 473, L126–L130. [Google Scholar] [CrossRef]
- Hessels, J.W.T.; Ransom, S.M.; Stairs, I.H.; Freire, P.C.C.; Kaspi, V.M.; Camilo, F. A radio pulsar spinning at 716-hz. Science 2006, 311, 1901–1904. [Google Scholar] [CrossRef]
- Grindlay, J.E. A Neutron Star in F-sharp. Science 2006, 311, 1876. [Google Scholar] [CrossRef]
- Koliogiannis, P.S.; Moustakidis, C.C. Effects of the equation of state on the bulk properties of maximally-rotating neutron stars. Phys. Rev. C 2020, 101, 015805. [Google Scholar] [CrossRef]
- Fujii, Y. Dilaton and possible non-newtonian gravity. Nature 1971, 234, 5–7. [Google Scholar] [CrossRef]
- Fujii, Y. On the Theoretical Background of the Fifth Force. Int. J. Mod. Phys. A 1991, 6, 3505–3557. [Google Scholar] [CrossRef]
- Krivoruchenko, M.I.; Šimkovic, F.; Faessler, A. Constraints for weakly interacting light bosons from existence of massive neutron stars. Phys. Rev. D 2009, 79, 125023. [Google Scholar] [CrossRef]
- Machleidt, R. The Meson theory of nuclear forces and nuclear structure. Adv. Nucl. Phys. 1989, 19, 189–376. [Google Scholar]
- Wen, D.H.; Li, B.A.; Chen, L.W. Super-soft symmetry energy encountering non-Newtonian gravity in neutron stars. Phys. Rev. Lett. 2009, 103, 211102. [Google Scholar] [CrossRef]
- Zhang, D.R.; Yin, P.L.; Wang, W.; Wang, Q.C.; Jiang, W.Z. Effects of a weakly interacting light U boson on the nuclear equation of state and properties of neutron stars in relativistic models. Phys. Rev. C 2011, 83, 035801. [Google Scholar] [CrossRef]
- Zheng, H.; Chen, L.W. Effects of the U-boson on the inner edge of neutron star crusts. Phys. Rev. D 2012, 85, 043013. [Google Scholar] [CrossRef]
- Lin, W.; Li, B.A.; Chen, L.W.; Wen, D.H.; Xu, J. Breaking the EOS-Gravity Degeneracy with Masses and Pulsating Frequencies of Neutron Stars. J. Phys. G 2014, 41, 075203. [Google Scholar] [CrossRef]
- Zhang, D.R.; Jiang, W.Z.; Wei, S.N.; Yang, R.Y.; Xiang, Q.F. Equation of state and hybrid star properties with the weakly interacting light U-boson in relativistic models. Eur. Phys. J. A 2016, 52, 142. [Google Scholar] [CrossRef][Green Version]
- Haftel, M.I. Two-Nucleon Potentials and Nuclear Saturation. Ph.D. Thesis, University of Pittsburgh, Pittsburgh, PA, USA, 1969. [Google Scholar]
- Haftel, M.I.; Tabakin, F. Nuclear Saturation and the Smoothness of Nucleon-Nucleon Potentials. Nucl. Phys. A 1970, 158, 1–42. [Google Scholar] [CrossRef]
- Hjorth-Jensen, M.; Kuo, T.; Osnes, E. Realistic effective interactions for nuclear systems. Phys. Rep. 1995, 261, 125–270. [Google Scholar] [CrossRef]
- Alford, M.; Braby, M.; Paris, M.W.; Reddy, S. Hybrid stars that masquerade as neutron stars. Astrophys. J. 2005, 629, 969–978. [Google Scholar] [CrossRef]
- Wei, W.; Salinas, M.; Klähn, T.; Jaikumar, P.; Barry, M. Lifting the Veil on Quark Matter in Compact Stars with Core g-mode Oscillations. Astrophys. J. 2020, 904, 187. [Google Scholar] [CrossRef]
- Jaikumar, P.; Semposki, A.; Prakash, M.; Constantinou, C. g-mode oscillations in hybrid stars: A tale of two sounds. Phys. Rev. D 2021, 103, 123009. [Google Scholar] [CrossRef]
- Constantinou, C.; Han, S.; Jaikumar, P.; Prakash, M. g modes of neutron stars with hadron-to-quark crossover transitions. Phys. Rev. D 2021, 104, 123032. [Google Scholar] [CrossRef]
- Del Popolo, A.; Deliyergiyev, M.; Le Delliou, M. Solution to the hyperon puzzle using dark matter. Phys. Dark Univ. 2020, 30, 100622. [Google Scholar] [CrossRef]
- Raffelt, G.; Stodolsky, L. Mixing of the Photon with Low Mass Particles. Phys. Rev. D 1988, 37, 1237. [Google Scholar] [CrossRef]
- Raffelt, G.G. Astrophysical methods to constrain axions and other novel particle phenomena. Phys. Rep. 1990, 198, 1–113. [Google Scholar] [CrossRef]
- Fortin, J.F.; Sinha, K. Photon-dark photon conversions in extreme background electromagnetic fields. J. Cosmol. Astropart. Phys. 2019, 11, 020. [Google Scholar] [CrossRef]
- Lu, B.Q.; Chiang, C.W. Probing dark gauge boson with observations from neutron stars. arXiv 2021, arXiv:2107.07692. [Google Scholar]
- Knapen, S.; Lin, T.; Zurek, K.M. Light Dark Matter: Models and Constraints. Phys. Rev. D 2017, 96, 115021. [Google Scholar] [CrossRef]
- Arvanitaki, A.; Dimopoulos, S.; Dubovsky, S.; Kaloper, N.; March-Russell, J. String Axiverse. Phys. Rev. D 2010, 81, 123530. [Google Scholar] [CrossRef]
- Brito, R.; Cardoso, V.; Pani, P. Superradiance: New Frontiers in Black Hole Physics. Lect. Notes Phys. 2015, 906, 1–237. [Google Scholar] [CrossRef]
- Baryakhtar, M.; Lasenby, R.; Teo, M. Black Hole Superradiance Signatures of Ultralight Vectors. Phys. Rev. D 2017, 96, 035019. [Google Scholar] [CrossRef]
- Cardoso, V.; Dias, O.J.C.; Hartnett, G.S.; Middleton, M.; Pani, P.; Santos, J.E. Constraining the mass of dark photons and axion-like particles through black-hole superradiance. J. Cosmol. Astropart. Phys. 2018, 03, 043. [Google Scholar] [CrossRef]
- Stott, M.J. Ultralight Bosonic Field Mass Bounds from Astrophysical Black Hole Spin. arXiv 2020, arXiv:2009.07206. [Google Scholar]
- Ghosh, D.; Sachdeva, D. Constraining Light Dark Photons from GW190517 and GW190426_152155. Phys. Rev. D 2021, 103, 095028. [Google Scholar] [CrossRef]
- Arkani-Hamed, N.; Motl, L.; Nicolis, A.; Vafa, C. The String landscape, black holes and gravity as the weakest force. J. High Energy Phys. 2007, 06, 060. [Google Scholar] [CrossRef]
- Alexander, S.; McDonough, E.; Sims, R.; Yunes, N. Hidden-Sector Modifications to Gravitational Waves From Binary Inspirals. Class. Quant. Grav. 2018, 35, 235012. [Google Scholar] [CrossRef]
- Sagunski, L.; Zhang, J.; Johnson, M.C.; Lehner, L.; Sakellariadou, M.; Liebling, S.L.; Palenzuela, C.; Neilsen, D. Neutron star mergers as a probe of modifications of general relativity with finite-range scalar forces. Phys. Rev. D 2018, 97, 064016. [Google Scholar] [CrossRef]
- Croon, D.; Nelson, A.E.; Sun, C.; Walker, D.G.E.; Xianyu, Z.Z. Hidden-Sector Spectroscopy with Gravitational Waves from Binary Neutron Stars. Astrophys. J. Lett. 2018, 858, L2. [Google Scholar] [CrossRef]
- Choi, H.G.; Jung, S. New probe of dark matter-induced fifth force with neutron star inspirals. Phys. Rev. D 2019, 99, 015013. [Google Scholar] [CrossRef]
- Krause, D.; Kloor, H.T.; Fischbach, E. Multipole radiation from massive fields: Application to binary pulsar systems. Phys. Rev. D 1994, 49, 6892–6906. [Google Scholar] [CrossRef]
- Kumar Poddar, T.; Mohanty, S.; Jana, S. Vector gauge boson radiation from compact binary systems in a gauged Lμ-Lτ scenario. Phys. Rev. D 2019, 100, 123023. [Google Scholar] [CrossRef]
- Dror, J.A.; Laha, R.; Opferkuch, T. Probing muonic forces with neutron star binaries. Phys. Rev. D 2020, 102, 023005. [Google Scholar] [CrossRef]
- Hu, W.; Barkana, R.; Gruzinov, A. Cold and fuzzy dark matter. Phys. Rev. Lett. 2000, 85, 1158–1161. [Google Scholar] [CrossRef]
- Nelson, A.E.; Scholtz, J. Dark Light, Dark Matter and the Misalignment Mechanism. Phys. Rev. D 2011, 84, 103501. [Google Scholar] [CrossRef]
- Graham, P.W.; Mardon, J.; Rajendran, S. Vector Dark Matter from Inflationary Fluctuations. Phys. Rev. D 2016, 93, 103520. [Google Scholar] [CrossRef]
- Agrawal, P.; Kitajima, N.; Reece, M.; Sekiguchi, T.; Takahashi, F. Relic Abundance of Dark Photon Dark Matter. Phys. Lett. B 2020, 801, 135136. [Google Scholar] [CrossRef]
- Hui, L.; Ostriker, J.P.; Tremaine, S.; Witten, E. Ultralight scalars as cosmological dark matter. Phys. Rev. D 2017, 95, 043541. [Google Scholar] [CrossRef]
- Schutz, K. Subhalo mass function and ultralight bosonic dark matter. Phys. Rev. D 2020, 101, 123026. [Google Scholar] [CrossRef]
- Benito, M.; Criado, J.C.; Hütsi, G.; Raidal, M.; Veermäe, H. Implications of Milky Way substructures for the nature of dark matter. Phys. Rev. D 2020, 101, 103023. [Google Scholar] [CrossRef]
- Gardner, S.; McDermott, S.D.; Yanny, B. The Milky Way, coming into focus: Precision astrometry probes its evolution and its dark matter. Prog. Part. Nucl. Phys. 2021, 121, 103904. [Google Scholar] [CrossRef]
- Hui, L. Wave Dark Matter. arXiv 2021, arXiv:2101.11735. [Google Scholar] [CrossRef]
- Pierce, A.; Riles, K.; Zhao, Y. Searching for Dark Photon Dark Matter with Gravitational Wave Detectors. Phys. Rev. Lett. 2018, 121, 061102. [Google Scholar] [CrossRef]
- Guo, H.K.; Riles, K.; Yang, F.W.; Zhao, Y. Searching for Dark Photon Dark Matter in LIGO O1 Data. Commun. Phys. 2019, 2, 155. [Google Scholar] [CrossRef]
- Miller, A.L.; Astone, P.; Bruno, G.; Clesse, S.; D’Antonio, S.; Depasse, A.; De Lillo, F.; Frasca, S.; La Rosa, I.; Leaci, P.; et al. Probing new light gauge bosons with gravitational-wave interferometers using an adapted semicoherent method. Phys. Rev. D 2021, 103, 103002. [Google Scholar] [CrossRef]
- Michimura, Y.; Fujita, T.; Kume, J.; Morisaki, S.; Nagano, K.; Nakatsuka, H.; Nishizawa, A.; Obata, I. Ultralight dark matter searches with KAGRA gravitational wave telescope. In Proceedings of the 17th International Conference on Topics in Astroparticle and Underground Physics, Online, 26 August–3 September 2021. [Google Scholar]
- Chen, C.R.; Nugroho, C.S. Detection Prospects of Dark Matter in Einstein Telescope. arXiv 2021, arXiv:2111.11014. [Google Scholar]
- Nomura, K.; Ito, A.; Soda, J. Pulsar timing residual induced by ultralight vector dark matter. Eur. Phys. J. C 2020, 80, 419. [Google Scholar] [CrossRef]
- Xue, X.; Xia, Z.-Q.; Zhu, X.; Zhao, Y.; Shu, J.; Yuan, Q.; Bhat, N.D.R.; Cameron, A.D.; Dai, S.; Feng, Y.; et al. High-precision search for dark photon dark matter with the Parkes Pulsar Timing Array. arXiv 2021, arXiv:2112.07687. [Google Scholar] [CrossRef]
- Bertone, G.; Croon, D.; Amin, M.A.; Boddy, K.K.; Kavanagh, B.J.; Mack, K.J.; Natarajan, P.; Opferkuch, T.; Schutz, K.; Takhistov, V.; et al. Gravitational wave probes of dark matter: Challenges and opportunities. SciPost Phys. Core 2020, 3, 007. [Google Scholar] [CrossRef]
- Diamond, M.; Marques-Tavares, G. Gamma-rays flashes from dark photons in neutron star mergers. arXiv 2021, arXiv:2106.03879. [Google Scholar]
- Metzger, B.D. Kilonovae. Living Rev. Relativ. 2020, 23, 1. [Google Scholar] [CrossRef]
- Ascenzi, S.; Oganesyan, G.; Branchesi, M.; Ciolfi, R. Electromagnetic counterparts of compact binary mergers. J. Plasma Phys. 2021, 87. [Google Scholar] [CrossRef]
- Goldman, I.; Nussinov, S. Weakly Interacting Massive Particles and Neutron Stars. Phys. Rev. D 1989, 40, 3221–3230. [Google Scholar] [CrossRef]
- Kouvaris, C. WIMP Annihilation and Cooling of Neutron Stars. Phys. Rev. D 2008, 77, 023006. [Google Scholar] [CrossRef]
- Kouvaris, C.; Tinyakov, P. Excluding Light Asymmetric Bosonic Dark Matter. Phys. Rev. Lett. 2011, 107, 091301. [Google Scholar] [CrossRef]
- Bell, N.F.; Melatos, A.; Petraki, K. Realistic neutron star constraints on bosonic asymmetric dark matter. Phys. Rev. D 2013, 87, 123507. [Google Scholar] [CrossRef]
- Kouvaris, C.; Nielsen, N.G. Asymmetric Dark Matter Stars. Phys. Rev. D 2015, 92, 063526. [Google Scholar] [CrossRef]
- Berezhiani, Z.; Biondi, R.; Mannarelli, M.; Tonelli, F. Neutron-mirror neutron mixing and neutron stars. Eur. Phys. J. C 2021, 81, 1036. [Google Scholar] [CrossRef]
- Yang, S.H.; Pi, C.M.; Zheng, X.P. Strange stars with a mirror-dark-matter core confronting with the observations of compact stars. Phys. Rev. D 2021, 104, 083016. [Google Scholar] [CrossRef]
- Ellis, J.; Hektor, A.; Hütsi, G.; Kannike, K.; Marzola, L.; Raidal, M.; Vaskonen, V. Search for Dark Matter Effects on Gravitational Signals from Neutron Star Mergers. Phys. Lett. B 2018, 781, 607–610. [Google Scholar] [CrossRef]
- Nelson, A.; Reddy, S.; Zhou, D. Dark halos around neutron stars and gravitational waves. J. Cosmol. Astropart. Phys. 2019, 07, 012. [Google Scholar] [CrossRef]
- Karkevandi, D.R.; Shakeri, S.; Sagun, V.; Ivanytskyi, O. Bosonic dark matter in neutron stars and its effect on gravitational wave signal. Phys. Rev. D 2022, 105, 023001. [Google Scholar] [CrossRef]
- Radice, D.; Perego, A.; Zappa, F.; Bernuzzi, S. GW170817: Joint Constraint on the Neutron Star Equation of State from Multimessenger Observations. Astrophys. J. Lett. 2018, 852, L29. [Google Scholar] [CrossRef]
- Reddy, S.; Zhou, D. Dark lepton superfluid in protoneutron stars. Phys. Rev. D 2022, 105, 023026. [Google Scholar] [CrossRef]
- Beacom, J.F.; Vagins, M.R. GADZOOKS! Anti-neutrino spectroscopy with large water Cherenkov detectors. Phys. Rev. Lett. 2004, 93, 171101. [Google Scholar] [CrossRef]
- Horiuchi, S.; Kinugawa, T.; Takiwaki, T.; Takahashi, K.; Kotake, K. Impact of binary interactions on the diffuse supernova neutrino background. Phys. Rev. D 2021, 103, 043003. [Google Scholar] [CrossRef]
- National Academies of Sciences, Engineering, and Medicine. Pathways to Discovery in Astronomy and Astrophysics for the 2020s; The National Academies Press: Washington, DC, USA, 2021. [Google Scholar] [CrossRef]
- Andreoni, I.; Margutti, R.; Salafia, O.S.; Parazin, B.; Villar, V.A.; Coughlin, M.W.; Yoachim, P.; Mortensen, K.; Brethauer, D.; Smartt, S.J.; et al. Target of Opportunity Observations of Gravitational Wave Events with Vera C. Rubin Observatory. arXiv 2021, arXiv:2111.01945 2021. [Google Scholar]
















| Name | J0737−3039A/B | B1913+16 | J1713+0747 |
|---|---|---|---|
| ≲ | ≈ | ||
| Decay Channel | Observed Branching Fraction | Limit [330,335,370] |
|---|---|---|
| [30,365] | <3 × 10 | |
| [366] | <8 × 10 | |
| <1.33 ×10; 90% C.L. [367] | <1.5 × 10 | |
| % [368] | <2.66% |
| Name | B1913+16 [140] | J0737−3039 [138] |
|---|---|---|
| [] | 1.438 | 1.3381 |
| [] | 1.392 | 1.2489 |
| [] | ||
| [] | ||
| 0.617 | 0.088 |
Publisher’s Note: MDPI stays neutral with regard to jurisdictional claims in published maps and institutional affiliations. |
© 2022 by the authors. Licensee MDPI, Basel, Switzerland. This article is an open access article distributed under the terms and conditions of the Creative Commons Attribution (CC BY) license (https://creativecommons.org/licenses/by/4.0/).
Share and Cite
Berryman, J.M.; Gardner, S.; Zakeri, M. Neutron Stars with Baryon Number Violation, Probing Dark Sectors. Symmetry 2022, 14, 518. https://doi.org/10.3390/sym14030518
Berryman JM, Gardner S, Zakeri M. Neutron Stars with Baryon Number Violation, Probing Dark Sectors. Symmetry. 2022; 14(3):518. https://doi.org/10.3390/sym14030518
Chicago/Turabian StyleBerryman, Jeffrey M., Susan Gardner, and Mohammadreza Zakeri. 2022. "Neutron Stars with Baryon Number Violation, Probing Dark Sectors" Symmetry 14, no. 3: 518. https://doi.org/10.3390/sym14030518
APA StyleBerryman, J. M., Gardner, S., & Zakeri, M. (2022). Neutron Stars with Baryon Number Violation, Probing Dark Sectors. Symmetry, 14(3), 518. https://doi.org/10.3390/sym14030518

