MGPS: Midpoint-Series Group Preserving Scheme for Discretizing Nonlinear Dynamics
Abstract
:1. Introduction
- The predictor. In enhanced GPS, the Euler method with the same step size is used to calculate , while MGPS uses GPS to calculate , which can obtain the same benefits as the advantages of GPS over the Euler method.
- The corrector. When computing , the enhanced GPS replaces with ; the MGPS remains unchanged and is still used to calculate . This improves the accuracy while ensuring that the cone structure is held.
2. Discretization
2.1. Group Preserving Scheme
Stable Analysis
2.2. Midpoint Group Preserving Scheme
2.2.1. Error Analysis
2.2.2. Stability Analysis
2.3. Scalability
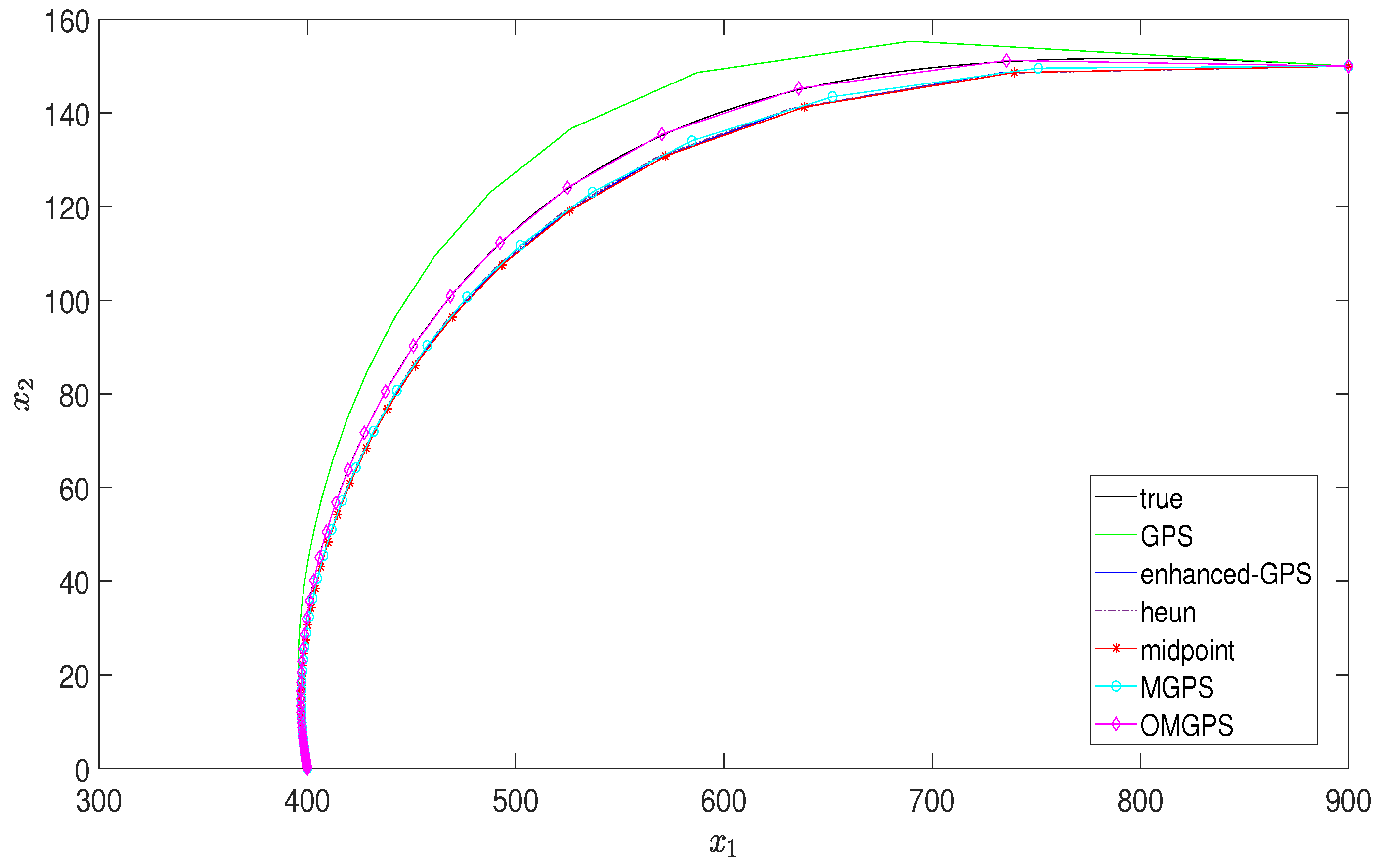
3. Experiments
3.1. Example 1
3.2. Example 2
3.3. Example 3
3.4. Example 4
4. Conclusions
Author Contributions
Funding
Institutional Review Board Statement
Informed Consent Statement
Data Availability Statement
Conflicts of Interest
Appendix A
| Number of Iterations (and Step Size) | Scheme Name | Running Time (s) | Average Running Time (s) |
|---|---|---|---|
| 20,000 (h = 0.0001) | MGPS | 66.4450 | 67.3003 |
| 68.4420 | |||
| 67.0140 | |||
| GR_SLEX | 65.6050 | 67.844 | |
| 71.1950 | |||
| 66.7320 | |||
| 200,000 (h = 0.00001) | MGPS | 8.7665 × 10 | 8.5724 × 10 |
| 8.4467 × 10 | |||
| 8.5039 × 10 | |||
| GR_SLEX | 7.9818 × 10 | 7.9215 × 10 | |
| 7.8997 × 10 | |||
| 7.8831 × 10 |
References
- Chutinan, A. Hybrid System Verification Using Discrete Model Approximations. Ph.D. Thesis, Carnegie Mellon University, Pittsburgh, PA, USA, 1999. [Google Scholar]
- Asarin, E.; Bournez, O.; Dang, T.; Maler, O.; Pnueli, A. Effective synthesis of switching controllers for linear systems. Proc. IEEE 2000, 88, 1011–1025. [Google Scholar] [CrossRef] [Green Version]
- Girard, A. Reachability of uncertain linear systems using zonotopes. In Hybrid Systems: Computation and Control; Morari, M., Thiele, L., Eds.; Springer: Berlin/Heidelberg, Germany, 2005; Volume 3414, pp. 291–305. [Google Scholar]
- Kurzhanskiy, A.A.; Varaiya, P. Ellipsoidal techniques for reachability analysis of discrete-time linear systems. IEEE Trans. Autom. Control 2007, 52, 26–38. [Google Scholar] [CrossRef]
- Le Guernic, C.; Girard, A. Reachability analysis of hybrid systems using support functions. In Computer Aided Verification; Springer: Berlin/Heidelberg, Germany, 2009; pp. 540–554. [Google Scholar]
- Henzinger, T.A.; Ho, P.H.; Wong-Toi, H. HYTECH: A model checker for hybrid systems. In Lecture Notes in Computer Science; Springer: Berlin/Heidelberg, Germany, 1998; Volume 1254, pp. 460–463. [Google Scholar]
- Asarin, E.; Bournez, O.; Dang, T.; Maler, O. Approximate Reachability Analysis of Piecewise Linear Dynamical Systems. In Proceedings of the HSCC 00: Hybrid Systems—Computation and Control; Springer: Berlin/Heidelberg, Germany, 2000; Volume 1790, pp. 20–31. [Google Scholar]
- Chutinan, A.; Krogh, B.H. Verification of Polyhedral-Invariant Hybrid Automata Using Polygonal Flow Pipe Approximations. In International Workshop on Hybrid Systems: Computation and Control; Springer: Berlin/Heidelberg, Germany, 2000; Volume 1569, pp. 76–90. [Google Scholar]
- Frehse, G. PHAVer: Algorithmic verification of hybrid systems past HyTech. Int. J. Softw. Tools Technol. Transf. 2008, 10, 263–279. [Google Scholar] [CrossRef]
- Frehse, G.; Le Guernic, C.; Donzé, A.; Cotton, S.; Ray, R.; Lebeltel, O.; Ripado, R.; Girard, A.; Dang, T.; Maler, O. Spaceex: Scalable verification of hybrid systems. In Computer Aided Verification; Springer: Berlin/Heidelberg, Germany, 2011; pp. 379–395. [Google Scholar]
- Henzinger, T.A.; Ho, P.H.; Wong-Toi, H. Algorithmic analysis of nonlinear hybrid systems. IEEE Trans. Autom. Control 1998, 43, 540–554. [Google Scholar] [CrossRef]
- Mickens, R.E. A nonstandard finite-difference scheme for the Lotka-Volterra system. Appl. Numer. Math. 2003, 45, 309–314. [Google Scholar] [CrossRef]
- De Vogelaere, R. Methods of Integration Which Preserve the Contact Transformation Property of the Hamilton Equations; Technical Report, Unpublished; University of Notre Dame. Dept. of Mathematics: Notre Dame, IN, USA, 1956. [Google Scholar]
- Ruth, R.D. A canonical integration technique. IEEE Trans. Nucl. Sci. 1983, 30, 2669–2671. [Google Scholar] [CrossRef]
- Feng, K. On difference schemes and symplectic geometry. In Proceedings of the 5th International Symposium on Differential Geometry and Differential Equations, Beijing, China, August 1984; pp. 42–58. [Google Scholar]
- Feng, K. Difference schemes for Hamiltonian formalism and symplectic geometry. J. Comput. Math. 1986, 4, 279–289. [Google Scholar]
- McLachlan, R.I.; Quispel, G.R.W.; Robidoux, N. Geometric integration using discrete gradients. Philos. Trans. R. Soc. Lond. Ser. Math. Phys. Eng. Sci. 1999, 357, 1021–1045. [Google Scholar] [CrossRef]
- Cieśliński, J.L.; Ratkiewicz, B. Long-time behaviour of discretizations of the simple pendulum equation. J. Phys. Math. Theor. 2009, 42, 105204. [Google Scholar] [CrossRef]
- Cieśliński, J.L.; Ratkiewicz, B. Improving the accuracy of the discrete gradient method in the one-dimensional case. Phys. Rev. E 2010, 81, 016704. [Google Scholar] [CrossRef] [PubMed] [Green Version]
- Cieśliński, J.L.; Ratkiewicz, B. Energy-preserving numerical schemes of high accuracy for one-dimensional Hamiltonian systems. J. Phys. A Math. Theor. 2011, 44, 155206. [Google Scholar] [CrossRef]
- d’Aquino, M.; Serpico, C.; Miano, G. Geometrical integration of Landau–Lifshitz–Gilbert equation based on the mid-point rule. J. Comput. Phys. 2005, 209, 730–753. [Google Scholar] [CrossRef]
- Shepherd, D. Numerical Methods for Dynamical Micromagnetics. Ph.D. Thesis, The University of Manchester, Manchester, UK, 2015. [Google Scholar]
- Hairer, E.; Norsett, S.P.; Wanner, G. Solving Ordinary Differential Equations I: Nonstiff Problems; Springer: Berlin/Heidelberg, Germany, 1993. [Google Scholar]
- Shepherd, D.; Miles, J.; Heil, M.; Mihajlović, M. An Adaptive Step Implicit Midpoint Rule for the Time Integration of Newton’s Linearisations of Non-Linear Problems with Applications in Micromagnetics. J. Sci. Comput. 2019, 80, 1058–1082. [Google Scholar] [CrossRef] [Green Version]
- Liu, C.S. Cone of non-linear dynamical system and group preserving schemes. Int. J. Non-Linear Mech. 2001, 36, 1047–1068. [Google Scholar] [CrossRef]
- Zhang, H.; Wu, J.; Lu, J.; Tang, J. Safety verification of finite real-time nonlinear hybrid systems using enhanced group preserving scheme. Clust. Comput. 2016, 19, 2189–2199. [Google Scholar] [CrossRef]
- Chen, B.; Solis, F. Discretizations of nonlinear differential equations using explicit finite order methods. J. Comput. Appl. Math. 1998, 90, 171–183. [Google Scholar] [CrossRef] [Green Version]









Publisher’s Note: MDPI stays neutral with regard to jurisdictional claims in published maps and institutional affiliations. |
© 2022 by the authors. Licensee MDPI, Basel, Switzerland. This article is an open access article distributed under the terms and conditions of the Creative Commons Attribution (CC BY) license (https://creativecommons.org/licenses/by/4.0/).
Share and Cite
Xu, Z.; Wu, J. MGPS: Midpoint-Series Group Preserving Scheme for Discretizing Nonlinear Dynamics. Symmetry 2022, 14, 365. https://doi.org/10.3390/sym14020365
Xu Z, Wu J. MGPS: Midpoint-Series Group Preserving Scheme for Discretizing Nonlinear Dynamics. Symmetry. 2022; 14(2):365. https://doi.org/10.3390/sym14020365
Chicago/Turabian StyleXu, Zhenxing, and Jinzhao Wu. 2022. "MGPS: Midpoint-Series Group Preserving Scheme for Discretizing Nonlinear Dynamics" Symmetry 14, no. 2: 365. https://doi.org/10.3390/sym14020365
APA StyleXu, Z., & Wu, J. (2022). MGPS: Midpoint-Series Group Preserving Scheme for Discretizing Nonlinear Dynamics. Symmetry, 14(2), 365. https://doi.org/10.3390/sym14020365

