Industrial Robot Contouring Control Based on Non-Uniform Rational B-Spline Curve
Abstract
1. Introduction
- (1)
- A contour error approximation algorithm for the spatial curve based on under the local task coordinate frame was proposed, and realizes the transformation from the tracking error of each axis on the desired trajectory to the contour error;
- (2)
- A modified cross-coupling control algorithm is proposed which realizes the error feedback control from the tracking error to the contour error.
- (3)
- The evaluation system of contour error controller with root mean square as evaluation index is established, and Bernoulli’s lemniscate curves as the incentive trajectory was constructed by NURBS curve through adjusting its parameters.
2. Contour Error Estimation Algorithm
2.1. Contour Error Estimation Based on Tangent Approximation
2.2. Contour Error in Local Task Coordinate Frame
3. Modified Cross Coupling Control in the Local Task Coordinate Frame
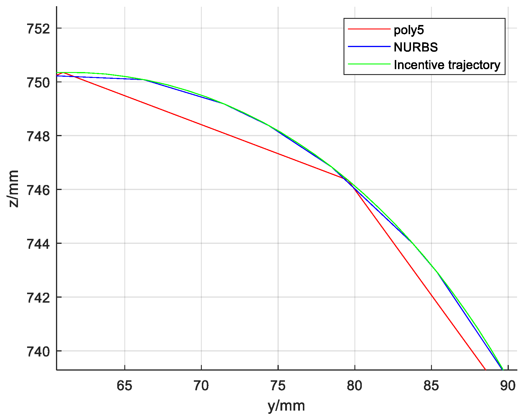
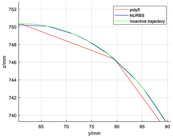
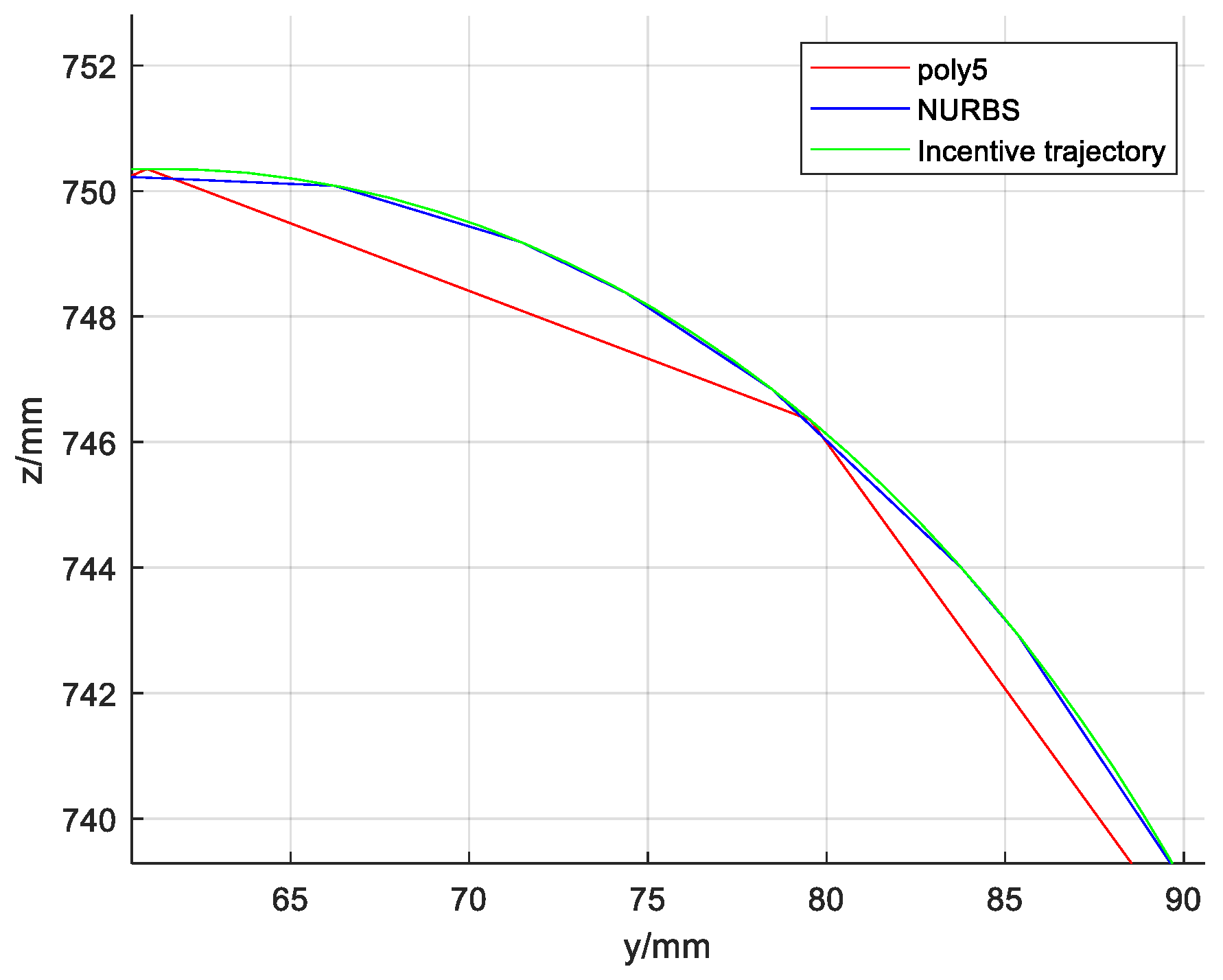
4. Analysis of Simulation Experiment Results
5. Conclusions
Author Contributions
Funding
Data Availability Statement
Conflicts of Interest
References
- Sun, J.; Han, X.; Zuo, Y.; Tian, S.; Song, J.; Li, S. Trajectory Planning in Joint Space for a Pointing Mechanism Based on a Novel Hybrid Interpolation Algorithm and NSGA-II Algorithm. IEEE Access 2020, 8, 228628–228638. [Google Scholar] [CrossRef]
- Lin, J.; Ye, C.; Yang, J.; Zhao, H.; Ding, H.; Luo, M. Contour error-based optimization of the end-effector pose of a 6 degree-of-freedom serial robot in milling operation. Robot. Comput. Manuf. 2022, 73, 102257. [Google Scholar] [CrossRef]
- Dachang, Z.; Baolin, D.; Aodong, C.; Puchen, Z. Adaptive Non-singular Terminal Sliding Mode Fault-tolerant Control of Robotic Manipulators Based on Contour Error Compensation. arXiv 2021, arXiv:2110.08705. [Google Scholar]
- Zhao, H.; Li, X.; Ge, K.; Ding, H. A contour error definition, estimation approach and control structure for six-dimensional robotic machining tasks. Robot. Comput. Manuf. 2022, 73, 102235. [Google Scholar] [CrossRef]
- Deng, K.; Gao, D.; Ma, S.; Lu, Y. Contouring Errors and Feedrate Fluctuation of Serial Industrial Robot in Complex Toolpath with Different Controller. Intell. Robot. Appl. 2021, 13013, 100–108. [Google Scholar]
- Li, K.; Boonto, S.; Nuchkrua, T. Online Self Tuning of Contouring Control for High Accuracy Robot Manipulators under Various Operations. Int. J. Control Autom. Syst. 2020, 18, 1818–1828. [Google Scholar] [CrossRef]
- Chen, R.; Li, K.; Boonto, S.; Nuchkrua, T. Contouring Control Consensus for Robot Manipulators. In Proceedings of the 2019 58th Annual Conference of the Society of Instrument and Control Engineers of Japan (SICE), Hiroshima, Japan, 10–13 September 2019. [Google Scholar]
- Kim, N.; Shim, J.; Oh, D.; Kim, H.; Lee, W. Pose optimization of robot machining system for improving position accuracy. In Proceedings of the 19th International Conference of the European Society for Precision Engineering and Nanotechnology, Bilbao, Spain, 3–7 June 2019. [Google Scholar]
- Ouyang, P.R.; Pano, V.; Acob, J. Contour Tracking Control for Multi-DOF Robotic Manipulators. In Proceedings of the 2013 10th IEEE International Conference on Control and Automation, Hangzhou, China, 12–14 June 2013. [Google Scholar]
- Li, X.; Zhao, H.; Yang, J.; Ding, H. A High Accuracy On-Line Contour Error Estimation Method of Five-axis Machine Tools. In Proceedings of the International Conference on Intelligent Robotics and Applications, ICIRA 2015, Portsmouth, UK, 24–27 August 2015; Lecture Notes in Computer Science. Springer: Cham, Swizerland, 2015. [Google Scholar]
- Su, K.-H.; Chen, H.-R.; Cheng, M.-Y. Free-form Curves Contour Error Estimation Using the Backward Arc Length Approach. In Proceedings of the 2014 IEEE/SICE International Symposium on System Integration, Tokyo, Japan, 13–15 December 2014. [Google Scholar]
- Cheng, M.-Y.; Lee, C.-C. Motion Controller Design for Contour-Following Tasks Based on Real-Time Contour Error Estimation. IEEE Ind. Electron. Mag. 2007, 54, 1686–1695. [Google Scholar] [CrossRef]
- Yeh, S.-S.; Hsu, P.-L. Estimation of the contouring error vector for the cross-coupled control design. IEEE/ASME Trans. Mechatron. 2002, 7, 44–51. [Google Scholar] [CrossRef]
- Yang, J.; Li, Z. A Novel Contour Error Estimation for Position Loop-Based Cross-Coupled Control. IEEE/ASME Trans. Mechatron. 2011, 16, 643–655. [Google Scholar] [CrossRef]
- Hu, C.; Hu, Z.; Zhu, Y.; Wang, Z. Advanced GTCF-LARC Contouring Motion Controller Design for an Industrial X–Y Linear Motor Stage With Experimental Investigation. IEEE Trans. Ind. Electron. 2017, 64, 3308–3318. [Google Scholar] [CrossRef]
- Zheng, M.; Zhang, F.; Zhu, J.; Zuo, Z. A fast and accurate bundle adjustment method for very large-scale data. Comput. Geosci. 2020, 142, 104539. [Google Scholar] [CrossRef]
- Huo, F.; Poo, A.N. Free-form Two-dimensional Contour Error Estimation Based on NURBS Interpolation. In Proceedings of the Applied Mechanics and Materials. Trans. Tech. Publ. 2012, 157, 236–240. [Google Scholar]
- Biagiotti, L.; Califano, F.; Melchiorri, C. Repetitive Control Meets Continuous Zero Phase Error Tracking Controller for Precise Tracking of B-Spline Trajectories. IEEE Trans. Ind. Electron. 2020, 67, 7808–7818. [Google Scholar] [CrossRef]
- Jin, Z.; Cheng, G.; Meng, Y. Feedforward Combined Multi-axis Cross-coupling Contour Control Compensation Strategy of Optical Mirror Processing Robot. Robotica 2022, 40, 3476–3498. [Google Scholar] [CrossRef]
- Wang, L.; Kong, X.; Yu, G.; Li, W.; Li, M.; Jiang, A. Error Estimation and Cross-coupled Control Based on a Novel Tool PoseRepresentation Method of a Five-axis Hybrid Machine Tool. Int. J. Mach. Tools Manuf. 2022, 182, 103955. [Google Scholar] [CrossRef]
- Wang, S.; Chen, Y.; Zhang, G. Adaptive fuzzy PID cross coupled control for multi-axis motion system based on sliding mode disturbance observation. Sci. Prog. 2021, 104, 1–19. [Google Scholar] [CrossRef]
- Hu, N.T.; Chen, L.Y.; Chen, C.S. Novel Cross-coupling Position Command Shaping Controller using in Multi-axis Motion Systems. IEEE Trans. Ind. Electron. 2022, 69, 13099–13110. [Google Scholar] [CrossRef]
- Li, B.; Wang, T.; Wang, P. Cross-coupled Control Based on Real-time Double Circle Contour Error Estimation for Biaxial Motion System. Meas. Control 2021, 54, 324–335. [Google Scholar]
- Ji, W.; Cui, X.; Xu, B.; Ding, S.; Ding, Y.; Peng, J. Cross-coupled Control for Contour Tracking Error of Free-form Curve Based on Fuzzy PID Optimized by Im-proved PSO Algorithm. Meas. Control 2022, 55, 807–820. [Google Scholar] [CrossRef]
- Jiang, Y.; Chen, J.; Zhou, H.; Yang, J.; Hu, P.; Wang, J. Contour error modeling and compensation of CNC machining based on deep learning and reinforcement learning. Int. J. Adv. Manuf. Technol. 2022, 118, 551–570. [Google Scholar] [CrossRef]
- Wang, Z.; Hu, C.; Zhu, Y. Accelerated Iteration Algorithm Based Contouring Error Estimation for Multiaxis Motion Control. IEEE/ASME Trans. Mechatron. 2022, 27, 452–462. [Google Scholar] [CrossRef]
- Wu, J.; Xiong, Z.; Ding, H. Integral design of contour error model and control for biaxial system. Int. J. Mach. Tools Manuf. 2015, 89, 159–169. [Google Scholar] [CrossRef]
- Alandoli, E.A.; Lee, T.; Vijayakumar, V.; Lin, Y.; Mohammed, M.Q. Dynamic model and integrated optimal controller of hybrid arms robot for laser contour machining. J. Vib. Control 2022, 1–19. [Google Scholar] [CrossRef]
- Zhang, X.; Lu, W.; Su, M.; Xu, W. Research on Synchronous Control Strategy of Robot Arm Based on Cross-Coupling Control. Int. J. Innov. Comput. Inf. Control 2020, 16, 1987–2005. [Google Scholar]
- Nuchkrua, T.; Kornmaneesang, W.; Chen, S.L.; Boonto, S. Precision Contouring Control of 5 DOF Dual-arm Robot Manipulators with Holonomic Constraints. In Proceedings of the 2017 11th Asian Control Conference (ASCC), Gold Coast, Australia, 17–20 December 2017. [Google Scholar]
- Xu, G.; Zhang, H.; Meng, Z.; Sun, Y. Automatic interpolation algorithm for NURBS trajectory of shoe sole spraying based on 7-DOF robot. Int. J. Cloth. Sci. Technol. 2022, 34, 434–450. [Google Scholar] [CrossRef]
- Zhang, H.; Ni, X.; Hu, P.; Yuan, Y. Real-Time Contour Error Estimation with NURBS Interpolator. In Proceedings of the 2018 2nd International Conference on Robotics and Automation Sciences (ICRAS), Beijing, China, 23–25 June 2018. [Google Scholar]
- Erwinski, K.; Paprocki, M.; Wawrzak, A.; Grzesiak, L.M. Pso Based Feedrate Optimization with Contour Error Constraints for NURBS Toolpaths. In Proceedings of the 2016 21st International Conference on Methods and Models in Automation and Robotics (MMAR), Miedzyzdroje, Poland, 29 August–1 September 2016. [Google Scholar]
- Wu, G.; Zhao, W.; Zhang, X. Optimum time-energy-jerk trajectory planning for serial robotic manipulators by reparameterized quintic NURBS curves. Proc. Inst. Mech. Eng. Part C J. Mech. Eng. Sci. 2021, 235, 4382–4393. [Google Scholar] [CrossRef]
- Erwinski, K.; Wawrzak, A.; Paprocki, M. Real-Time Jerk Limited Feedrate Profiling and Interpolation for Linear Motor Multiaxis Machines Using NURBS Toolpaths. IEEE Trans. Ind. Inform. 2022, 18, 7560–7571. [Google Scholar] [CrossRef]













| Link | Limit (Deg) | ||||
|---|---|---|---|---|---|
| 1 | 40 | 90 | 330 | −180~180 | |
| 2 | 315 | 0 | 0 | −130~80 | |
| 3 | 70 | 90 | 0 | −70~160 | |
| 4 | 0 | −90 | 310 | −240~240 | |
| 5 | 0 | 90 | 0 | −30~200 | |
| 6 | 0 | 0 | 70 | −360~360 |
| Link | Mass (kg) | Center of Mass (m) | Interia Matrix (kg·m2) | |||||||
|---|---|---|---|---|---|---|---|---|---|---|
| x | y | z | ||||||||
| 1 | 1.2228 | 0.0729 | −0.0113 | −0.0053 | 0.0076 | 0.0130 | 0.0144 | 0.0011 | 0.0013 | 0.0001 |
| 2 | 1.5967 | 0.1211 | −0.0124 | 0.0068 | 0.0071 | 0.0464 | 0.047 | 0.0014 | −0.0016 | 0.00009 |
| 3 | 0.8378 | 0.0367 | −0.0024 | −0.021 | 0.0025 | 0.0049 | 0.0043 | 0.00008 | 0.0012 | 0.00002 |
| 4 | 0.5312 | −0.0005 | 0.0008 | −0.1167 | 0.011 | 0.0111 | 0.001 | 0 | 0 | 0.00006 |
| 5 | 0.1376 | 0.00015 | 0 | −0.0111 | 0.00015 | 0.00017 | 0.0001 | 0 | 0 | 0 |
| 6 | 0.0817 | 0 | 0 | −0.0128 | 0.00004 | 0.00004 | 0.00005 | 0 | 0 | 0 |
| Error Value | NURBS Curve | |
|---|---|---|
| Tracking error-Y | 27.792 | 4.721 |
| Tracking error-Z | 24.231 | 3.134 |
| Contour error | 9.922 | 1.536 |
| Error Value | Five-Order Polynomials | |
|---|---|---|
| Tracking error-Y | 142.72 | 76.03 |
| Tracking error-Z | 117.13 | 53.14 |
| Contour error | 39.72 | 24.06 |
Publisher’s Note: MDPI stays neutral with regard to jurisdictional claims in published maps and institutional affiliations. |
© 2022 by the authors. Licensee MDPI, Basel, Switzerland. This article is an open access article distributed under the terms and conditions of the Creative Commons Attribution (CC BY) license (https://creativecommons.org/licenses/by/4.0/).
Share and Cite
Wang, G.; Chen, J.; Zhou, K.; Pang, Z. Industrial Robot Contouring Control Based on Non-Uniform Rational B-Spline Curve. Symmetry 2022, 14, 2533. https://doi.org/10.3390/sym14122533
Wang G, Chen J, Zhou K, Pang Z. Industrial Robot Contouring Control Based on Non-Uniform Rational B-Spline Curve. Symmetry. 2022; 14(12):2533. https://doi.org/10.3390/sym14122533
Chicago/Turabian StyleWang, Guirong, Jiahao Chen, Kun Zhou, and Zhihui Pang. 2022. "Industrial Robot Contouring Control Based on Non-Uniform Rational B-Spline Curve" Symmetry 14, no. 12: 2533. https://doi.org/10.3390/sym14122533
APA StyleWang, G., Chen, J., Zhou, K., & Pang, Z. (2022). Industrial Robot Contouring Control Based on Non-Uniform Rational B-Spline Curve. Symmetry, 14(12), 2533. https://doi.org/10.3390/sym14122533

