Abstract
In this article, we modify the symmetry of orthogonal metric spaces and we prove common fixed point theorems via simulation functions in orthogonal Rectangular metric spaces. We also provide an illustrative example to support our results. The derived results have been applied to find analytical solutions to integral equations. The analytical solutions are verified with a numerical simulation.
Keywords:
fixed point; simulation functions; orthogonal Rectangular metric space; orthogonal α-admissible functions MSC:
47H10; 54H25; 54C30
1. Introduction
The French mathematician M. Frechet [1] introduced the notion of metric space. The contraction mapping theorem (CMT) of Banach [2], establishing the existence of unique fixed points via auxiliary functions in complete metric spaces, laid the foundation stone for the metric fixed point theory. Many generalizations of the CMT were reported by mathematicians under different contractive conditions in the setting of metric and metric-like spaces. In the sequel, in 2000, Branciari [3] introduced the notion of Rectangular metric spaces, by replacing the right-hand side of the triangular inequality with a three-term expression and proving an analog of CMT. Many researchers extended the fixed point results in Rectangular metric spaces (see [4,5,6,7,8,9,10,11,12,13,14,15,16,17,18,19,20,21,22]). In 2017, Aydi et al. [23] introduced the notion of —Meir–Keeler contractions in Rectangular metric spaces and obtained some common fixed point theorems involving these contractions. In 2019, Abodayeh et al. [24] initiated hybrid contractions and proved the fixed point theorem in Branciari-type distance spaces.
The concept of the simulation function was introduced by Khojasteh et al. [25]. Many authors developed the fixed point theorems via simulation function in Rectangular metric spaces, (see [26,27,28,29,30,31,32]). Shatanawi and Postolache [33] proved common fixed point results via nonlinear contractions of cyclic form in ordered metric spaces, and applied the result to find unique common fixed point to integral type contractions.
Gordji et al. [34] initiated the notion of orthogonality in metric spaces. The fixed point results in generalized orthogonal metric space and various metric spaces were proven by many researchers, see [35,36,37,38,39,40,41]. More recently, in 2022, Aiman et al. [42] initiated an orthogonal Branciari metric space and proved the fixed point results thereon.
Inspired, we introduce the new notion of an orthogonal generalized -contraction pair of maps with respect to a simulation function, and establish fixed point results in the setting of complete orthogonal Rectangular metric spaces using these contractions. Suitable numerical examples and an application to find the analytical solution of integral equations are provided to supplement the derived results. The analytical solutions are compared with numerical solutions. The rest of the paper is organized as follows:
In Section 2, we review and present some preliminaries and monographs required in the sequel. In Section 3, we establish fixed point results in the setting of Orthogonal Branciari Metric Spaces using the orthogonal generalized -contractions, and supplement the derived results with nontrivial numerical examples. In Section 4, we present an application to find the analytical solution to integral equations. The analytical solutions are compared with numerical solutions.
2. Preliminaries
The following are required in the sequel.
In 2000, Branciari introduced the concept of generalized metric space (or Rectangular metric space), defined as follows:
Definition 1
([3]). Let ϝ be a set and a mapping, such that for all and for all distinct point , each distinct β and γ:
- 1.
- ;
- 2.
- ;
- 3.
- (rectangular inequality).
Then, we will say that is a Branciari (or Rectangular) metric space.
The following proposition proved by Kirk and Shahzad [43] will be required in the sequel.
Proposition 1
([43]). Suppose that is a Cauchy sequence in a Rectangular metric space, such that
Then, .
The concept of a simulation function was introduced by Khojasteh et al. [25] in 2015, as follows;
Definition 2
([25]). A map is said to be a simulation function if the following conditions are satisfied;
- for each
- for any two sequences and in , such that, we have .
Now, we recall the idea of (c)-comparison functions. Let us consider the set of functions , such that
- is non-decreasing;
- for all , where is the -iterate of .
These functions are known in the literature as (c)-comparison functions. The family of such functions are denoted by . Also, it can be easily proven that if is a (c)-comparison function, then for any .
Now, we recollect the notion of -admissible mappings defined by Aydi et al. [23] as follows:
Definition 3
([23]). Given that are two self-maps and . Then, the pair is said to be α-admissible if
If , then is called α-admissible.
Further, Aydi et al. [23] also introduced the concept of a generalized -contractive pair of mappings as follows:
Definition 4
([23]). Let be a Rectangular metric space and be two given mappings. We say that is a generalized -contractive pair of mappings if there are two functions and , such that
where
for .
Gordji et al. [34] proposed orthogonal sets and generalized Banach fixed point theorems in 2017. He describes the following definitions as follows:
Definition 5
([34]). Let ϝ be a non-void set, and let ⊥ be a binary relation defined on . If is called an orthogonal set, then
Definition 6
([34]). Let be an orthogonal set. A sequence is called an orthogonal sequence if
Definition 7
([34]). Let be an orthogonal metric space. Then, is called orthogonal-continuous at if for each orthogonal sequence, with , we obtain .
Definition 8
([34]). Let be an orthogonal set with the metric δ. Then is said to be an orthogonal-complete if each orthogonal Cauchy sequence is convergent.
Definition 9
([34]). Let be an orthogonal metric space and . A map is said to be an orthogonal contraction with Lipschitz constant λ if with ,
Definition 10
([34]). Let be an orthogonal set. A mapping is said to be orthogonal-preserving if implies .
Ramezani [36] introduced the concept of -admissible in the following way:
Definition 11
([36]). Let be an orthogonal set and δ be a metric on ϝ, be a map, and let be a function. Then, map , say that orthogonal-α-admissible, if with
In 2022, Aiman et al. [42] defined the orthogonal Branciari (Rectangular) metric spaces as follows:
Definition 12
([42]). The triplet is said to be an orthogonal Rectangular metric space if is an orthogonal set and is a Rectangular metric space.
In the next section, we present our main results.
3. Main Results
We commence this section by introducing the concept of an orthogonal generalized -contraction mapping. Then, we prove a couple of common fixed point results in an orthogonal complete orthogonal Rectangular metric space.
Definition 13.
Let be an orthogonal complete orthogonal Rectangular metric space, and be a two maps. We say that is an orthogonal generalized Λ-contraction pair of maps with respect to a simulation function η, if there are two functions and , such that for all with ,
Whenever , the mapping is said to be an orthogonal generalized Λ-contraction with respect to η.
In case when either (a) or (b) holds, is called an orthogonal semi-generalized Λ-contraction pair of maps with respect to η.
Now, we prove the common fixed point via orthogonal generalized -contraction.
Theorem 1.
Let be an orthogonal complete orthogonal Rectangular metric space, be a two maps and . Suppose that
- (i)
- is an orthogonal preserving;
- (ii)
- is an orthogonal generalized Λ-contraction pair of mappings with respect to η;
- (iii)
- There exists , such that and;
- (iv)
- Both and are orthogonal continuous, and for any sufficiently large.
Then, there exists a unique common fixed point of and .
Proof.
Since is an orthogonal set,
It follows that or , and or .
Let
Firstly, we prove the common fixed points of and . If . Now, we assume the below cases:
- (i)
- If there exists such that , then we have . It is clear that is a common fixed point of and . Therefore, the proof is completed.
- (ii)
- If for any , then we have for each .
Since is an orthogonal preserving such that , we have
From assumption (iii), , such that
We construct an orthogonal sequence as follows:
for all . So and . Since the pair is an orthogonal -admissible, we have
By induction, we obtain
Starting with
and so,
Suppose that there exists such that for some .
Then, is a common fixed point of and . Indeed,
Now, we show that . Since
Therefore,
which is a contradiction. Hence,
Therefore, is a common fixed point of and . Similarly, when for some , then also we can deduce that is a common fixed point of and . For the rest of the proof, we can assume that
Set
for all .
Step A:
We prove that
First, we claim that
We argue by a contradiction. Suppose that for some
For such , we have
Using (2) and Definition 13, it follows that
Thus, we have
Similarly, we can obtain that
Therefore,
Thus, we have
Set
and
By the Definition 2-, we have
which is a contradiction. Therefore, .
Step B:
We prove
We consider that
Also, we construct another sequence defined as
Now by (iii), we can derive that
for a sufficiently large positive integer . Also, using similar calculations as in the proof of
we can obtain
Further, from (2) we have, , and hence,
On the other hand, we obtain
This implies
Now, using (5), we obtain
Thus, we obtain
From (6), we obtain
Set and . By Definition 2–, we obtain
which is a contradiction. Therefore, .
Step C:
Here, we prove that
The discussion naturally splits into the following two cases:
Case 1: If for some , with ;
Case 2: If for some , with .
In Case 1, by Step A, an orthogonal sequence is decreasing, so we obtain,
which is a contradiction. In Case 2, via Step A, an orthogonal sequence is decreasing; thus, we have,
which is a contradiction. Thus, we can assume that for all .
Step D:
We now prove that is an orthogonal Cauchy sequence.
Assume that is not an orthogonal Cauchy sequence.
Since is an orthogonal sequence with distinct elements, and since from Step A and Step B,
using Lemma 3.3 from [15], and two orthogonal sub-sequences and of positive integers such that and the following orthogonal sequences go to as
Hence, using Step A, Step B, and (7), we have
Since the pair is an orthogonal -admissible, we have . Regarding is an orthogonal generalized -contraction pair of maps with respect to , and considering as an odd number and as an even number, we have
for all . Consequently, we obtain
Set and . By the Definition 2 and the relation (8), we obtain the result as follows
which is a contradiction. Therefore, is an orthogonal Cauchy sequence. Since is an orthogonal complete orthogonal Rectangular metric space, there exists , such that converges to .
Hence,
Step E:
We claim that is a common fixed point of and . Since and are orthogonal continuous, by (10), we obtain
and
By Proposition 1, we conclude that . Hence, is a common fixed point of and .
Now, we prove a unique common fixed point. Consider that is another common fixed point for and . By the choice of , we have
Since and is orthogonal preserving, we obtain
From Equation (1), we have
Whenever , the mapping is said to be an orthogonal generalized -contraction with respect to . Therefore, and the common fixed point of and are unique. □
Our next result involves an orthogonal semi-generalized -contraction pair of mappings.
Theorem 2.
Let be an orthogonal complete orthogonal Rectangular metric space, be two mappings and . Suppose that
- (i)
- is an orthogonal semi-generalized Λ-contraction pair of mappings with respect to η;
- (ii)
- There exists , such that and;
- (iii)
- For every , ;
- (iv)
- Both and are orthogonal continuous and for any sufficiently large;
- (v)
- is orthogonal preserving.
Then, there exists a common fixed point in ϝ of and .
Proof.
We omit the proof. It is similar to the proof of Theorem 1. □
We constructive examples authenticate our obtained Theorem 1 concerning an orthogonal generalized -contraction pair of self-maps.
Example 1.
We consider an orthogonal complete metric space endowed with the orthogonal Rectangular metric,
It can be easily verified that ϝ is not a complete metric, but it is an orthogonal Rectangular metric. Define a relation ⊥ on ϝ by which there exists ,
Now, we define the mappings such that
and such that . We also consider as
Therefore, we obtain
Here, we have three cases:
Case 1: When ;
Sub-case 1a: ;
In this case, we obtain
and
Putting these values in (11), we have
This is the trivial case.
Sub-case 1b: ;
clearly β and γ have the same as shown in Figure 1,
Figure 1.
Figure shows that with h = 1.
and
Putting these values in (11), we have
Case 2:
;
Sub-case 2a: ;
For this case, we obtain,
and
From (11), we have
Sub-case 2b:
;
we obtain,
and
Hence, taking care of (11), we obtain,
Case 3:
with ;
So, we find to differentiate β and γ as following Figure 2,
Figure 2.
Comparison of and with .
and
Putting the values in (11), we obtain,
So, the condition of (a) of Definition 13 is satisfied. Similarly, one can check for condition (b). Therefore, and satisfy both the hypotheses of Theorem 1, and using the theorem, and have a common fixed point.
4. Application
Theorem 3.
Consider the integral equations:
Suppose that
- (1)
- and are members of ;
- (2)
- There exists , such that for and ,
Then, the integral Equations (12) and (13) have a unique solution in . Proof. Let . We define the orthogonal relation ⊥ on ϝ by
We define by
Then, is an orthogonal metric space, and hence, is an orthogonal Rectangular metric space. We define by
Let with
We mention that the integral Equations (12) and (13) have a unique common solution if and only if the operators and have a common fixed point. Thus, we have,
Again,
Example 2.
Given that the Volterra integral equation is as follows:
Proof.
Here, is not an orthogonal continuous function on .
Kernel is an orthogonal continuous on .
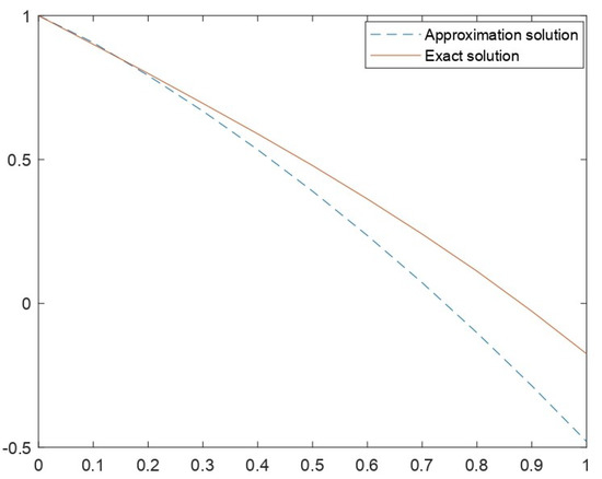
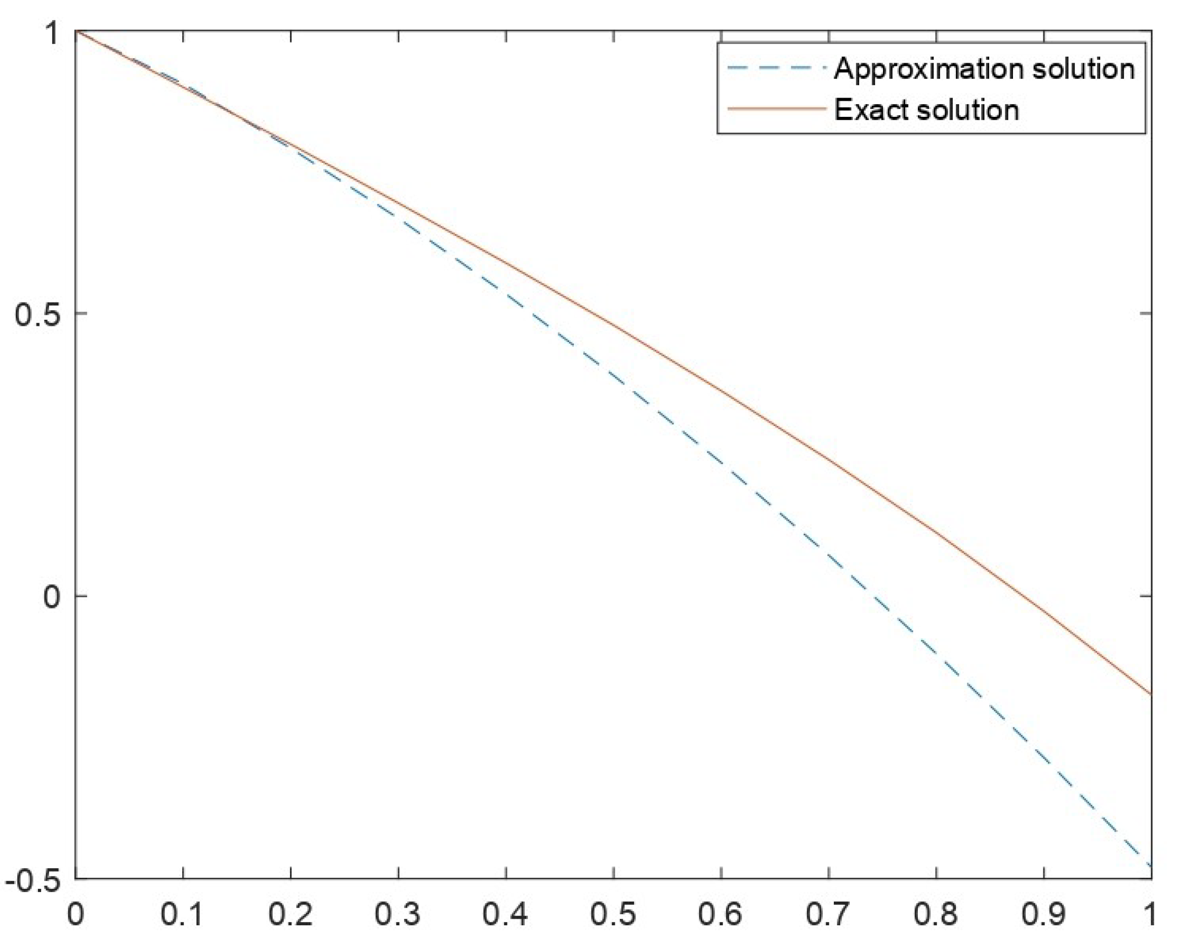
Below Figure 3 is the comparison of numerical results with analytic results.
Figure 3.
Figure shows the approximation solution compared to the exact solution with h = 0.1 for Example 2.
The error calculation of the approximation solution compared to the exact solution for Example 2 is given in Table 1 below.
Table 1.
Comparison of approximation solution and exact solution.
The table shows that the error of the approximation solution compared to the exact solution is also relatively small. □
5. Conclusions
In this article, we proved the common fixed point theorem for an orthogonal generalized -contraction in an orthogonal complete orthogonal Rectangular metric space. The derived results have been supplemented with suitable nontrivial examples. We have also provided an application to find the solution of the integral equation. The derived analytical results have been compared with the numerical results. It is an open problem to extend and to generalize the derived results using other contractive conditions.
Author Contributions
Investigation: G.M., R.R. and A.J.G.; Methodology: R.R., G.M. and S.K.P.; Project administration: R.R. and S.R.; Software: A.J.G. and O.A.A.A.; Supervision: R.R. and S.R.; Writing—original draft: G.M., R.R., S.K.P. and K.H.K.; Writing—review and editing: R.R., G.M., K.H.K. and O.A.A.A. All authors have read and agreed to the published version of the manuscript.
Funding
This research received no external funding.
Data Availability Statement
Not applicable.
Acknowledgments
1. The authors are thankful for the support by the Deanship of Scientific Research, Prince Sattam Bin Abulaziz University, Alkharj. 2. The authors are thankful to the anonymous reviewers for their valuable comments, which has helped in bringing the manuscript to the present form.
Conflicts of Interest
The authors declare no conflict of interest.
References
- Frechet, M. Sur quelques points du calcul fonctionnel. Rend. Del Circ. Mat. Palermo 1906, 22, 1–49. [Google Scholar] [CrossRef]
- Banach, S. Sur les operations dans les ensembles abstraits et leur applications aux equations integrals. J. Fundam. Math. 1922, 3, 133–181. [Google Scholar] [CrossRef]
- Branciari, A. A fixed point theorem of Banach-Caccioppoli type on a class of generalized metric spaces. Publ. Math. Debr. 2000, 57, 31–37. [Google Scholar]
- Das, P. A fixed point theorem on a class of generalised metric spaces. Korean J. Math. Sci. 2002, 9, 29–33. [Google Scholar]
- Das, P.; Lahri, B.K. Fixed point of a Ljubomir Ciric’s quasi-contraction mapping in a generalized metric space. Publ. Math. Debr. 2002, 61, 589–594. [Google Scholar]
- Azam, A.; Arshad, M. Kannan Fixed Point Theorems on generalised metric spaces. J. Nonlinear Sci. Appl. 2008, 1, 45–48. [Google Scholar] [CrossRef]
- Azam, A.; Arshad, M.; Beg, I. Banach contraction principle on cone rectangular metric spaces. Appl. Anal. Discret. Math. 2009, 3, 236–241. [Google Scholar] [CrossRef]
- Das, P. A fixed point theorem in generalized metric spaces. Soochow J. Math. 2007, 33, 33–39. [Google Scholar]
- Das, P.; Lahri, B.K. Fixed Point of contractive mappings in generalised metric space. Math. Slovaca 2009, 59, 499–504. [Google Scholar] [CrossRef]
- George, R.; Rajagopalan, R. Common fixed point results for ψ-ϕ contractions in rectangular metric spaces. Bull. Math. Anal. Appl. 2013, 5, 44–52. [Google Scholar]
- Alharbi, N.; Aydi, H.; Felhi, A.; Ozel, C.; Sahmim, S. α-contractive mappings on rectangular b-metric spaces and an application to integral equations. J. Math. Anal. 2018, 8, 47–60. [Google Scholar]
- Ansari, A.H.; Aydi, H.; Kumari, P.S.; Yildirim, I. New fixed point results via C-class functions in b-rectangular metric spaces. J. Commun. Math. Appl. 2018, 9, 109–126. [Google Scholar]
- Aydi, H.; Karapinar, E.; Samet, B. Fixed points for generalized (α, ψ)-contractions on generalized metric spaces. J. Inequalities Appl. 2014, 2014, 229. [Google Scholar] [CrossRef]
- Eshraghisamani, M.; Vaezpour, S.M.; Asadi, M. New fixed point results on Branciari metric spaces. J. Math. Anal. 2017, 8, 132–141. [Google Scholar]
- Kadelburg, Z.; Radenovic, S. On generalized metric spaces: A survey. TWMS J. Pure Appl. Math. 2014, 5, 3–13. [Google Scholar]
- Kadelburg, Z.; Radenovic, S. Fixed point results in generalized metric spaces without Hausdorff property. J. Math. Sci. 2014, 8, 125. [Google Scholar] [CrossRef]
- Kadelburg, Z.; Radenovic, S.; Shukla, S. Boyd-Wong and Meir-Keeler type theorems in generalized metric spaces. J. Adv. Math. Study 2016, 9, 83–93. [Google Scholar]
- Kadelburg, Z.; Radenovic, S. Common fixed point results of Das-Naik and Geraghty types in β-generalized metric spaces. Sarajevo J. Math. 2017, 13, 93–103. [Google Scholar]
- Karapinar, E.; Czerwik, S.; Aydi, H. (α-ψ)- Meir-Keeler contraction mappings in generalized b-metric spaces. J. Funct. Spaces 2018, 2018, 3264620. [Google Scholar] [CrossRef]
- Karapinar, E.; Lakzian, H. (α-ψ)-Contractive mappings on generalized quasimetric spaces. J. Funct. Spaces 2014, 2014, 914398. [Google Scholar] [CrossRef]
- Lakzian, H.; Samet, B. Fixed points for (ψ-ϕ)-weakly contractive mappings in generalized metric spaces. J. Appl. Math. Lett. 2012, 25, 902–906. [Google Scholar] [CrossRef]
- Shatanawi, W.; Al-Rawashdeh, A.; Aydi, H.; Nashine, H.K. On a fixed point for generalized contractions in generalized metric spaces. J. Abstr. Appl. Anal. 2012, 2012, 246085. [Google Scholar] [CrossRef]
- Aydi, H.; Karapinar, E.; Zhang, D. On common fixed points in the context of Branciari metric spaces. J. Results Math. 2017, 71, 73–92. [Google Scholar] [CrossRef]
- Abodayeh, K.; Karapinar, E.; Pitea, A.; Shatanawi, W. Hybrid contractions on Branciari type distance spaces. Mathematics 2019, 7, 994. [Google Scholar] [CrossRef]
- Khojasteh, F.; Shukla, S.; Radenovic, S. A new approach to the study of fixed point theory for simulation functions. J. Filomat 2015, 29, 1189–1194. [Google Scholar] [CrossRef]
- Karapinar, E. Fixed points results via simulation functions. J. Filomat 2016, 30, 2343–2350. [Google Scholar] [CrossRef]
- Chandok, S.; Chanda, A.; Dey, L.K.; Pavlovic, M.; Radenvic, S. Simulation functions and Geraghty type results. Bol. Soc. Parana. Math. 2018, 39, 35–50. [Google Scholar] [CrossRef]
- Chanda, A.; Dey, L.K.; Radenovic, S. Simulation functions: A survey of recent results. Rev. Real Acad. Cienc. Exactas Fis. Nat. Ser. A Mat. 2019, 113, 2923–2957. [Google Scholar] [CrossRef]
- Kostic, A.; Rakocevic, V.; Radenovic, S. Best proximity points involving simulation functions with w0-distance. Rev. Real Acad. Cienc. Exactas Fis. Nat. Ser. A Mat. 2019, 113, 715–727. [Google Scholar] [CrossRef]
- Liu, X.L.; Ansari, A.H.; Chandok, S.; Radenovic, S. On some results in metric spaces using auxiliary simulation functions via new functions. J. Comput. Anal. Appl. 2018, 24, 1103–1114. [Google Scholar]
- Radenovic, S.; Vetro, F.; Vujakovic, J. An alternative and easy approach to fixed point results via simulation functions. J. Demonstr. Math. 2017, 50, 223–230. [Google Scholar] [CrossRef]
- Radenovic, S.; Chandok, S. Simulation type functions and coincidence points. J. Filomat 2018, 32, 141–147. [Google Scholar] [CrossRef]
- Shatanawi, W.; Postolache, M. Common fixed point results of mappings for nonlinear contractions of cyclic form in ordered metric spaces. Fixed Point Theory Appl. 2013, 2013, 60. [Google Scholar] [CrossRef]
- Eshaghi Gordji, M.; Ramezani, M.; De La Sen, M.; Cho, Y.J. On orthogonal sets and Banach fixed point theorem. J. Fixed Point Theory 2017, 18, 569–578. [Google Scholar] [CrossRef]
- Eshaghi Gordji, M.; Habibi, H. Fixed point theory in generalized orthogonal metric space. J. Linear Topol. Algebra 2017, 6, 251–260. [Google Scholar]
- Ramezani, M. Orthogonal metric space and convex contractions. Int. J. Nonlinear Anal. Appl. 2015, 6, 127–132. [Google Scholar]
- Arul Joseph, G.; Gunaseelan, M.; Jung, R.L.; Choonkil, P. Solving a nonlinear integral equation via orthogonal metric space. AIMS Math. 2022, 7, 1198–1210. [Google Scholar] [CrossRef]
- Gunaseelan, M.; Arul Joseph, G.; Kausar, N.; Munir, M. Orthogonal F-Contraction mapping on O-Complete Metric Space with Applications. Int. J. Fuzzy Log. Intell. Syst. 2021, 21, 243–250. [Google Scholar]
- Gunaseelan, M.; Arul Joseph, G.; Choonkil, P.; Sungsik, Y. Orthogonal F-contractions on O-complete b-metric space. AIMS Math. 2021, 6, 8315–8330. [Google Scholar] [CrossRef]
- Arul Joseph, G.; Gunaseelan, M.; Vahid, P.; Hassen, A. Solving a Nonlinear Fredholm Integral Equation via an Orthogonal Metric. J. Adv. Math. Phys. 2021, 2021, 1202527. [Google Scholar] [CrossRef]
- Senapati, T.; Dey, L.K.; Damjanovic, B.; Chanda, A. New fixed point results in orthogonal metric spaces with an application. Kragujev. J. Math. 2018, 42, 505–516. [Google Scholar] [CrossRef]
- Mukheimer, A.; Gnanaprakasam, A.J.; Haq, A.U.; Prakasam, S.K.; Mani, G.; Baloch, I.A. Solving an Integral Equation via Orthogonal Brianciari Metric Spaces. J. Funct. Spaces 2022, 2022, 7251823. [Google Scholar] [CrossRef]
- Kirk, W.; Shahzad, N. Fixed Point Theory in Distance Spaces; Springer: Cham, Switzerand, 2014. [Google Scholar] [CrossRef]
Publisher’s Note: MDPI stays neutral with regard to jurisdictional claims in published maps and institutional affiliations. |
© 2022 by the authors. Licensee MDPI, Basel, Switzerland. This article is an open access article distributed under the terms and conditions of the Creative Commons Attribution (CC BY) license (https://creativecommons.org/licenses/by/4.0/).


