Polytopic Robust Stability for a Dual-Capacitor Boost Converter in Symmetric and Non-Symmetric Configurations
Abstract
1. Introduction
- A novel symmetric dual-capacitor boost converter topology.
- The (polytopic) model of the topology in which dynamic and linear parameters are varied, in addition to numerical and experimental validations.
- An asymptotic stability analysis against bounded parameter uncertainty in both closed and open loops, including asymmetric and symmetric stances.
- Numerical and experimental corroboration of stability and performance using a PI control scheme.
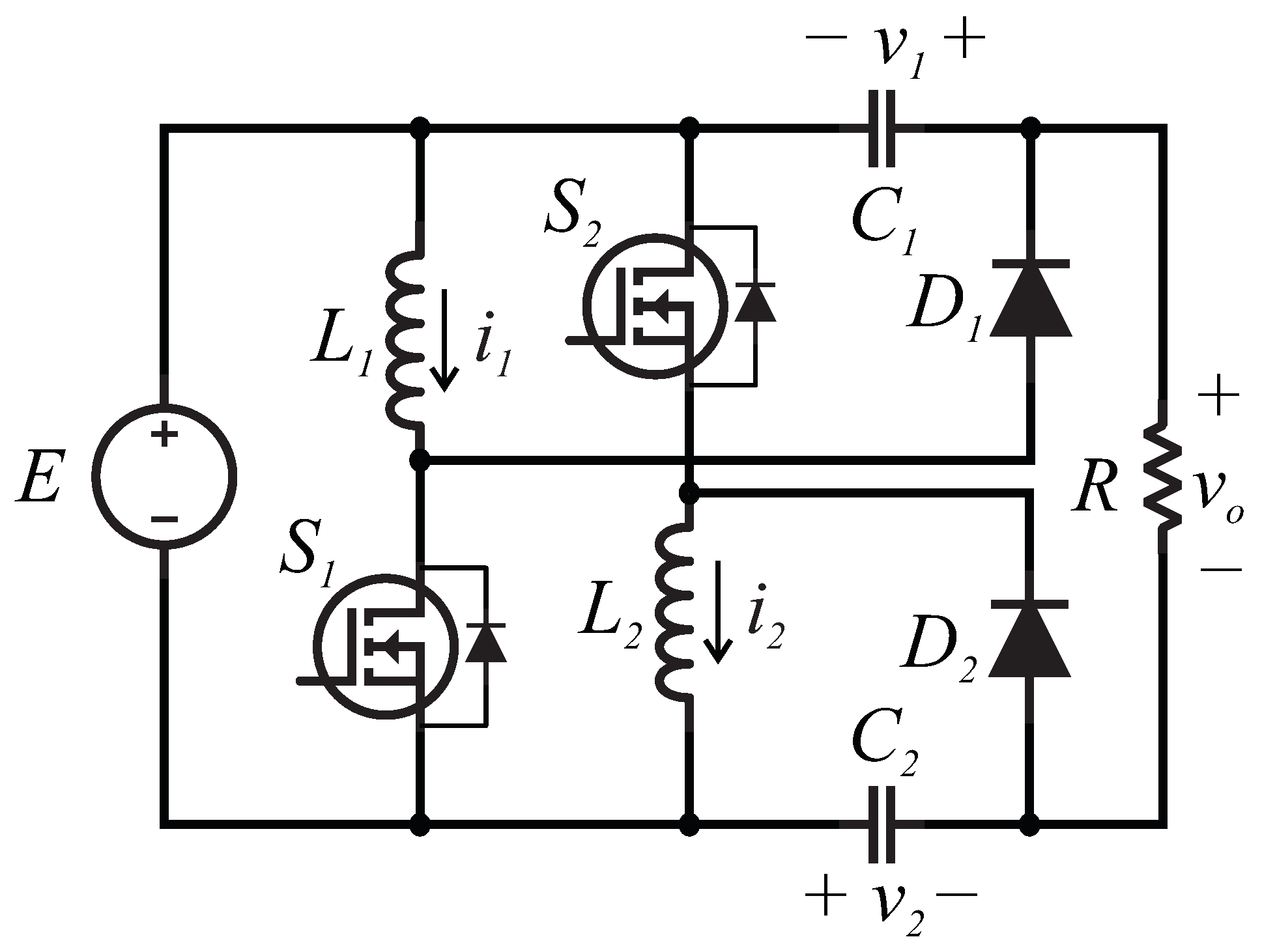
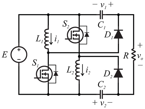
2. Preliminaries
3. Results
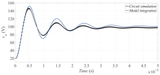
4. Numerical Simulation
5. Experimental Results
6. Conclusions
Funding
Data Availability Statement
Conflicts of Interest
Abbreviations
| CCM | Continuous Conduction Mode | 
| LPV | Linear Parameter Variation | 
| PI | Proportional–Integral | 
| PWM | Pulse-Width Modulation | 
References
- Ouahada, K.; Longe, O.M. Smart Energy Management for Smart Grids; MDPI—Multidisciplinary Digital Publishing Institute: Basel, Switzerland, 2020. [Google Scholar]
- Mukhtar, N.M.; Lu, D.D.C. A bidirectional flyback converter with cross-coupled non-dissipative snubber circuits. In Proceedings of the 2017 IEEE International Telecommunications Energy Conference (INTELEC), Broadbeach, QLD, Australia, 22–26 October 2017; pp. 476–481. [Google Scholar]
- Zhang, H.; Chen, Y.; Park, S.J.; Kim, D.H. A Family of Bidirectional DC–DC Converters for Battery Storage System with High Voltage Gain. Energies 2019, 12, 1289. [Google Scholar] [CrossRef]
- Lin, X.; Wang, F.; Iu, H.H. A New Bridgeless High Step-up Voltage Gain PFC Converter with Reduced Conduction Losses and Low Voltage Stress. Energies 2018, 11, 2640. [Google Scholar] [CrossRef]
- Sira-Ramirez, H.J.; Silva-Ortigoza, R. Control Design Techniques in Power Electronics Devices; Springer Science & Business Media: Berlin/Heidelberg, Germany, 2006. [Google Scholar]
- Rosas-Caro, J.C.; Mancilla-David, F.; Mayo-Maldonado, J.C.; Gonzalez-Lopez, J.M.; Torres-Espinosa, H.L.; Valdez-Resendiz, J.E. A transformer-less high-gain boost converter with input current ripple cancelation at a selectable duty cycle. IEEE Trans. Ind. Electron. 2012, 60, 4492–4499. [Google Scholar] [CrossRef]
- Amir, A.; Che, H.S.; Amir, A.; El Khateb, A.; Abd Rahim, N. Transformerless high gain boost and buck-boost DC-DC converters based on extendable switched capacitor (SC) cell for stand-alone photovoltaic system. Sol. Energy 2018, 171, 212–222. [Google Scholar] [CrossRef]
- Yao, T.; Nan, C.; Ayyanar, R. A new soft-switching topology for switched inductor high gain boost. IEEE Trans. Ind. Appl. 2018, 54, 2449–2458. [Google Scholar] [CrossRef]
- Yang, L.S.; Liang, T.J.; Chen, J.F. Transformerless DC–DC converters with high step-up voltage gain. IEEE Trans. Ind. Electron. 2009, 56, 3144–3152. [Google Scholar] [CrossRef]
- Yang, L.S.; Liang, T.J. Analysis and implementation of a novel bidirectional DC–DC converter. IEEE Trans. Ind. Electron. 2011, 59, 422–434. [Google Scholar] [CrossRef]
- Liao, H.; Chen, Y.T.; Chen, L.; Chen, J.F. Development of a Bidirectional DC–DC Converter with Rapid Energy Bidirectional Transition Technology. Energies 2022, 15, 4583. [Google Scholar] [CrossRef]
- Suciu, V.M.; Salcu, S.I.; Pacuraru, A.M.; Pintilie, L.N.; Szekely, N.C.; Teodosescu, P.D. Independent Double-Boost Interleaved Converter with Three-Level Output. Appl. Sci. 2021, 11, 5993. [Google Scholar] [CrossRef]
- Ortiz-Castrillón, J.R.; Mejía-Ruíz, G.E.; Muñoz-Galeano, N.; López-Lezama, J.M.; Saldarriaga-Zuluaga, S.D. PFC Single-Phase AC/DC Boost Converters: Bridge, Semi-Bridgeless, and Bridgeless Topologies. Appl. Sci. 2021, 11, 7651. [Google Scholar] [CrossRef]
- Do, N.N.; Huang, B.S.; Nguyen, T.T.; Wu, J.H.; Liu, Y.C.; Chiu, H.J. An Efficiency-Optimized Totem-pole Bridgeless Power Factor Correction Regulator using GaN HEMTs. In Proceedings of the 2020 International Symposium on Computer, Consumer and Control (IS3C), Taichung City, Taiwan, 13–16 November 2020; pp. 351–355. [Google Scholar]
- López-Santos, O.; Aldana-Rodríguez, Y.A.; Garcia, G.; Martínez-Salamero, L. A unified multimode control of a DC–DC interlinking converter integrated into a hybrid microgrid. Electronics 2019, 8, 1314. [Google Scholar] [CrossRef]
- Sethuraman, S.S.; Santha, K.; Mihet-Popa, L.; Bharatiraja, C. A modified topology of a high efficiency bidirectional type DC–DC converter by synchronous rectification. Electronics 2020, 9, 1555. [Google Scholar] [CrossRef]
- Azad, F.S. Development of a Novel Single Phase Non-Isolated AC-DC Zeta Converter for Improved Power Quality. Ph.D. Thesis, Department of Electrical and Electronic Engineering, Islamic University of Technology, Dhaka, Bangladesh, 2021. [Google Scholar]
- Liu, K.Z.; Yao, Y. Robust Control: Theory and Applications; John Wiley & Sons: Hoboken, NJ, USA, 2016. [Google Scholar]







| Parameter | Value | Units | 
|---|---|---|
| 10 | F | |
| E | 20 | V | 
| 250 | F | |
| PWM frequency | 50 | kHz | 
| R | 100 | 
| Publisher’s Note: MDPI stays neutral with regard to jurisdictional claims in published maps and institutional affiliations. | 
© 2022 by the author. Licensee MDPI, Basel, Switzerland. This article is an open access article distributed under the terms and conditions of the Creative Commons Attribution (CC BY) license (https://creativecommons.org/licenses/by/4.0/).
Share and Cite
Rodríguez Licea, M.A. Polytopic Robust Stability for a Dual-Capacitor Boost Converter in Symmetric and Non-Symmetric Configurations. Symmetry 2022, 14, 2331. https://doi.org/10.3390/sym14112331
Rodríguez Licea MA. Polytopic Robust Stability for a Dual-Capacitor Boost Converter in Symmetric and Non-Symmetric Configurations. Symmetry. 2022; 14(11):2331. https://doi.org/10.3390/sym14112331
Chicago/Turabian StyleRodríguez Licea, Martín Antonio. 2022. "Polytopic Robust Stability for a Dual-Capacitor Boost Converter in Symmetric and Non-Symmetric Configurations" Symmetry 14, no. 11: 2331. https://doi.org/10.3390/sym14112331
APA StyleRodríguez Licea, M. A. (2022). Polytopic Robust Stability for a Dual-Capacitor Boost Converter in Symmetric and Non-Symmetric Configurations. Symmetry, 14(11), 2331. https://doi.org/10.3390/sym14112331
 
        


 
       