The Enhancement of Energy-Carrying Capacity in Liquid with Gas Bubbles, in Terms of Solitons
Abstract
1. Introduction
2. Construction of Analytical Solutions
2.1. New Extended Direct Algebraic Method
2.2. Application of New Extended Direct Algebraic Method
3. Graphical Explanation
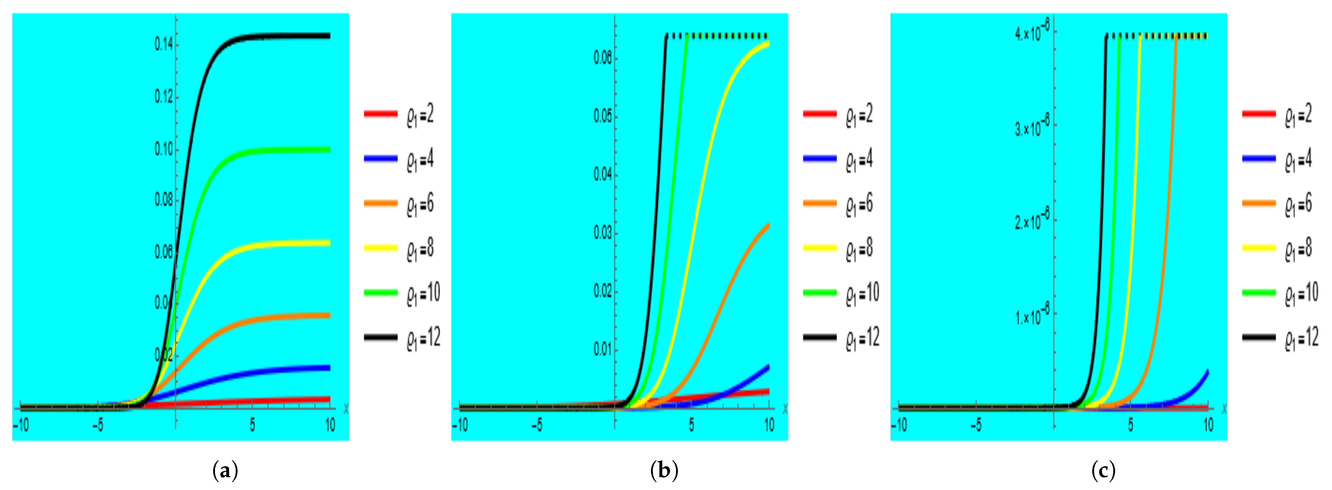
4. Modulation Instability Gain Spectrum
Linear Stability Analysis
5. Conclusions
- The used method generated the plane solution, the mixed-hyperbolic solution, the periodic and mixed-periodic solutions, the mixed-trigonometric solution, the trigonometric solution, the shock solution, the mixed-shock singular solution, the mixed singular solution, the complex solitary shock solution, the singular solution, and shock-wave solutions.
- It is noticed that the energy-carrying capacity of liquid with gas bubbles and its propagation can be increased.
- The modulational instability gain spectrum is developed and ensures the stability of the proposed model.
- The researchers and experts can apply these results in the different fields of modern sciences at macro and micro levels where needed. These results are also beneficial for the industry level.
Author Contributions
Funding
Informed Consent Statement
Data Availability Statement
Acknowledgments
Conflicts of Interest
References
- Kudryashov, N.A.; Sinelshchikov, D.I. Nonlinear waves in bubbly liquids with consideration for viscosity and heat transfer. Phys. Lett. A 2010, 374, 2011–2016. [Google Scholar] [CrossRef]
- Deng, G.-F.; Gao, Y.-T. Integrability, solitons, periodic and travelling waves of a generalized (3 + 1)-dimensional variable-coefficient nonlinear-wave equation in liquid with gas bubbles. Eur. Phys. J. Plus 2017, 132, 1–17. [Google Scholar] [CrossRef]
- Liu, L.; Tian, B.; Xie, X.-Y.; Guan, Y.-Y. Vector bright soliton behaviors of the coupled higher-order nonlinear Schrödinger system in the birefringent or two-mode fiber. Chaos Interdiscip. J. Nonlinear Sci. 2017, 27, 013108. [Google Scholar] [CrossRef] [PubMed]
- Chai, J.; Tian, B.; Xie, X.-Y.; Sun, Y. Conservation laws, bilinear Bäcklund transformations and solitons for a nonautonomous nonlinear Schrödinger equation with external potentials. Commun. Nonlinear Sci. Numer. Simul. 2016, 39, 472–480. [Google Scholar] [CrossRef]
- Chen, H.H.; Lee, Y.C. Internal-wave solitons of fluids with finite depth. Phys. Rev. Lett. 1979, 43, 264. [Google Scholar] [CrossRef]
- Mollenauer, L.F.; Stolen, R.H.; Gordon, J.P. Experimental observation of picosecond pulse narrowing and solitons in optical fibers. Phys. Rev. Lett. 1980, 45, 1095. [Google Scholar] [CrossRef]
- Guo, R.; Liu, Y.-F.; Hao, H.-Q.; Qi, F.-H. Coherently coupled solitons, breathers and rogue waves for polarized optical waves in an isotropic medium. Nonlinear Dyn. 2015, 80, 1221–1230. [Google Scholar] [CrossRef]
- Burger, S.; Bongs, K.; Dettmer, S.; Ertmer, W.; Sengstock, K.; Sanpera, A.; Shlyapnikov, G.V.; Lewenstein, M. Dark solitons in Bose-Einstein condensates. Phys. Rev. Lett. 1999, 83, 5198. [Google Scholar] [CrossRef]
- Bharuthram, R.; Shukla, P.K. Large amplitude ion-acoustic solitons in a dusty plasma. Planet. Space Sci. 1992, 40, 973–977. [Google Scholar] [CrossRef]
- Dai, C.-Q.; Xu, Y.-J. Exact solutions for a Wick-type stochastic reaction Duffing equation. Appl. Math. Model. 2015, 39, 7420–7426. [Google Scholar] [CrossRef]
- Gorshkov, K.A.; Pelinovsky, D.E.; Stepanyants, Y.A. Normal and anomalous scattering, formation and decay of bound states of two-dimensional solitons described by the Kadomtsev-Petviashvili equation. JETP 1993, 104, 2704–2720. [Google Scholar]
- Yao, R.; Li, Y.; Lou, S. A new set and new relations of multiple soliton solutions of (2 + 1)-dimensional Sawada–Kotera equation. Commun. Nonlinear Sci. Numer. Simul. 2021, 99, 105820. [Google Scholar] [CrossRef]
- Ma, Y.-L.; Wazwaz, A.-M.; Li, B.-Q. A new (3 + 1)-dimensional Kadomtsev–Petviashvili equation and its integrability, multiple-solitons, breathers and lump waves. Math. Comput. Simul. 2021, 187, 505–519. [Google Scholar] [CrossRef]
- Guan, X.; Liu, W. Multiple-soliton and lump-kink solutions for a generalized (3 + 1)-dimensional Kadomtsev-Petviashvili equation. Results Phys. 2020, 17, 103149. [Google Scholar] [CrossRef]
- Hong, X.; Manafian, J.; Ilhan, O.A.; Alkireet, A.I.A.; Nasution, M.K.M. Multiple soliton solutions of the generalized Hirota-Satsuma-Ito equation arising in shallow water wave. J. Geom. Phys. 2021, 170, 104338. [Google Scholar] [CrossRef]
- Shi, Q.; Li, C. Darboux transformations of the supersymmetric constrained B and C type KP hierarchies. J. Geom. Phys. 2021, 165, 104216. [Google Scholar] [CrossRef]
- Manafian, J.; Lakestani, M. N-lump and interaction solutions of localized waves to the (2 + 1)-dimensional variable-coefficient Caudrey–Dodd–Gibbon–Kotera–Sawada equation. J. Geom. Phys. 2020, 150, 103598. [Google Scholar] [CrossRef]
- Rizvi, S.T.R.; Seadawy, A.R.; Ahmed, S.; Younis, M.; Ali, K. Study of multiple lump and rogue waves to the generalized unstable space time fractional nonlinear Schrödinger equation. Chaos Solitons Fractals 2021, 151, 111251. [Google Scholar] [CrossRef]
- Ma, W.-X. N-soliton solution and the Hirota condition of a (2 + 1)-dimensional combined equation. Math. Comput. Simul. 2021, 190, 270–279. [Google Scholar] [CrossRef]
- Rizvi, S.T.R.; Seadawy, A.R.; Younis, M.; Ali, K.; Iqbal, H. Lump-soliton, lump-multisoliton and lump-periodic solutions of a generalized hyperelastic rod equation. Mod. Phys. Lett. B 2021, 35, 2150188. [Google Scholar] [CrossRef]
- Ma, W.-X. Lump solutions to the Kadomtsev–Petviashvili equation. Phys. Lett. A 2015, 379, 1975–1978. [Google Scholar] [CrossRef]
- Yang, J.-Y.; Ma, W.-X. Lump solutions to the BKP equation by symbolic computation. Int. J. Mod. Phys. B 2016, 30, 1640028. [Google Scholar] [CrossRef]
- Li, Z.; Manafian, J.; Ibrahimov, N.; Hajar, A.; Nisar, K.S.; Jamshed, W. Variety interaction between k-lump and k-kink solutions for the generalized Burgers equation with variable coefficients by bilinear analysis. Results Phys. 2021, 28, 104490. [Google Scholar] [CrossRef]
- Siddique, I.; Jaradat, M.M.M.; Zafar, A.; Mehdi, K.B.; Osman, M.S. Exact traveling wave solutions for two prolific conformable M-Fractional differential equations via three diverse approaches. Results Phys. 2021, 28, 104557. [Google Scholar] [CrossRef]
- Manafian, J.; Lakestani, M. Abundant soliton solutions for the Kundu-Eckhaus equation via tan (φ (xi))-expansion method. Optik 2016, 127, 5543–5551. [Google Scholar] [CrossRef]
- Fahim, M.R.A.; Kundu, P.R.; Islam, M.E.; Akbar, M.A.; Osman, M.S. Wave profile analysis of a couple of (3 + 1)-dimensional nonlinear evolution equations by sine-Gordon expansion approach. J. Ocean. Eng. Sci. 2022, 7, 272–279. [Google Scholar] [CrossRef]
- Manafian, J. An optimal Galerkin-homotopy asymptotic method applied to the nonlinear second-order bvps. Proc. Inst. Math. Mech. 2021, 47, 156–182. [Google Scholar] [CrossRef]
- Xiao, Y.; Fan, E.; Liu, P. Inverse scattering transform for the coupled modified Korteweg-de Vries equation with nonzero boundary conditions. J. Math. Anal. Appl. 2021, 504, 125567. [Google Scholar] [CrossRef]
- Zhang, X.; Chen, Y. Inverse scattering transformation for generalized nonlinear Schrödinger equation. Appl. Math. Lett. 2019, 98, 306–313. [Google Scholar] [CrossRef]
- Dehghan, M.; Manafian, J. The solution of the variable coefficients fourth-order parabolic partial differential equations by the homotopy perturbation method. Z. Für Naturforschung A 2009, 64, 420–430. [Google Scholar] [CrossRef]
- Zhao, X.-H.; Tian, B.; Xie, X.-Y.; Wu, X.-Y.; Sun, Y.; Guo, Y.-J. Solitons, Bäcklund transformation and Lax pair for a (2 + 1)-dimensional Davey-Stewartson system on surface waves of finite depth. Waves Random Complex Media 2018, 28, 356–366. [Google Scholar] [CrossRef]
- Alimirzaluo, E.; Nadjafikhah, M.; Manafian, J. Some new exact solutions of (3 + 1) (3 + 1)-dimensional Burgers system via Lie symmetry analysis. Adv. Differ. Equ. 2021, 2021, 1–17. [Google Scholar] [CrossRef]
- Manafian, J.; Allahverdiyeva, N. An analytical analysis to solve the fractional differential equations. Adv. Math. Model. Appl. 2021, 6, 128–161. [Google Scholar]
- Ablowitz, M.J.; Ablowitz, M.A.; Clarkson, P.A. Solitons, Nonlinear Evolution Equations and Inverse Scattering; Cambridge University Press: Cambridge, UK, 1991; Volume 149. [Google Scholar]
- Tian, S.-F.; Zhang, H.-Q. Riemann theta functions periodic wave solutions and rational characteristics for the (1 + 1)-dimensional and (2 + 1)-dimensional Ito equation. Chaos Solitons Fractals 2013, 47, 27–41. [Google Scholar] [CrossRef]
- Abdou, M.A.; Elhanbaly, A. Construction of periodic and solitary wave solutions by the extended Jacobi elliptic function expansion method. Commun. Nonlinear Sci. Numer. Simul. 2007, 12, 1229–1241. [Google Scholar] [CrossRef]
- Xu, M.-J.; Tian, S.-F.; Tu, J.-M.; Ma, P.-M.; Zhang, T.-T. Quasi-periodic wave solutions with asymptotic analysis to the Saweda-Kotera-Kadomtsev-Petviashvili equation. Eur. Phys. J. Plus 2015, 130, 1–16. [Google Scholar] [CrossRef]
- Tian, S.; Zhang, Y.; Feng, B.; Zhang, H. On the Lie algebras, generalized symmetries and Darboux transformations of the fifth-order evolution equations in shallow water. Chin. Ann. Math. Ser. B 2015, 36, 543–560. [Google Scholar] [CrossRef]
- Hirota, R.; Ohta, Y. Hierarchies of coupled soliton equations. I. J. Phys. Soc. Jpn. 1991, 60, 798–809. [Google Scholar] [CrossRef]
- Wang, X.-B.; Tian, S.-F.; Xua, M.-J.; Zhang, T.-T. On integrability and quasi-periodic wave solutions to a (3 + 1)-dimensional generalized KdV-like model equation. Appl. Math. Comput. 2016, 283, 216–233. [Google Scholar] [CrossRef]
- Elwakil, S.A.; El-Labany, S.K.; Zahran, M.A.; Sabry, R. Modified extended tanh-function method for solving nonlinear partial differential equations. Phys. Lett. A 2002, 299, 179–188. [Google Scholar] [CrossRef]
- Qin, C.; Tian, S.; Zou, L.; Zhang, T. Lie symmetry analysis, conservation laws and exact solutions of fourth-order time fractional Burgers equation. J. Appl. Anal. Comput. 2018, 8, 1727–1746. [Google Scholar]
- Kudryashov, N.A.; Sinelshchikov, D.I. Equation for the three-dimensional nonlinear waves in liquid with gas bubbles. Phys. Scr. 2012, 85, 025402. [Google Scholar] [CrossRef]
- Nigmatulin, R.I.; Filippov, A.I.; Khismatullin, A.S. Transcillatory heat transfer in a liquid with gas bubbles. Thermophys. Aeromechanics 2012, 19, 589–606. [Google Scholar] [CrossRef]
- Kudryashov, N.A.; Sinelshchikov, D.I. An extended equation for the description of nonlinear waves in a liquid with gas bubbles. Wave Motion 2013, 50, 351–362. [Google Scholar] [CrossRef]
- Frinking, P.J.A.; Jong, N.D. Acoustic modeling of shell-encapsulated gas bubbles. Ultrasound Med. Biol. 1998, 24, 523–533. [Google Scholar] [CrossRef]
- Li, N.; Zhuang, J.; Zhu, Y.; Su, G.; Su, Y. Fluid dynamics of a self-propelled biomimetic underwater vehicle with pectoral fins. J. Ocean. Eng. Sci. 2021, 6, 160–169. [Google Scholar] [CrossRef]
- Grimshaw, R.E.P.; Talipova, T.; Kurkina, O. Internal solitary waves: Propagation, deformation and disintegration. Nonlinear Process. Geophys. 2010, 17, 633–649. [Google Scholar] [CrossRef]
- Akbulut, A.; Arnous, A.H.; Hashemi, M.S.; Mirzazadeh, M. Solitary waves for the generalized nonlinear wave equation in (3 + 1) dimensions with gas bubbles using the Nnucci’s reduction, enhanced and modified Kudryashov algorithms. J. Ocean. Eng. Sci. 2022, in press. [Google Scholar] [CrossRef]
- Asjad, M.; Faridi, W.A.; Jhangeer, A.; Abu-Zinadah, H.; Ahmad, H. The fractional comparative study of the non-linear directional couplers in non-linear optics. Results Phys. 2021, 27, 104459. [Google Scholar] [CrossRef]







Publisher’s Note: MDPI stays neutral with regard to jurisdictional claims in published maps and institutional affiliations. |
© 2022 by the authors. Licensee MDPI, Basel, Switzerland. This article is an open access article distributed under the terms and conditions of the Creative Commons Attribution (CC BY) license (https://creativecommons.org/licenses/by/4.0/).
Share and Cite
Asghar, U.; Faridi, W.A.; Asjad, M.I.; Eldin, S.M. The Enhancement of Energy-Carrying Capacity in Liquid with Gas Bubbles, in Terms of Solitons. Symmetry 2022, 14, 2294. https://doi.org/10.3390/sym14112294
Asghar U, Faridi WA, Asjad MI, Eldin SM. The Enhancement of Energy-Carrying Capacity in Liquid with Gas Bubbles, in Terms of Solitons. Symmetry. 2022; 14(11):2294. https://doi.org/10.3390/sym14112294
Chicago/Turabian StyleAsghar, Umair, Waqas Ali Faridi, Muhammad Imran Asjad, and Sayed M. Eldin. 2022. "The Enhancement of Energy-Carrying Capacity in Liquid with Gas Bubbles, in Terms of Solitons" Symmetry 14, no. 11: 2294. https://doi.org/10.3390/sym14112294
APA StyleAsghar, U., Faridi, W. A., Asjad, M. I., & Eldin, S. M. (2022). The Enhancement of Energy-Carrying Capacity in Liquid with Gas Bubbles, in Terms of Solitons. Symmetry, 14(11), 2294. https://doi.org/10.3390/sym14112294

