Blind RIS Aided Ordered NOMA: Design, Probability of Outage Analysis and Transmit Power Optimization
Abstract
1. Introduction
2. Literature Review
- The majority of the classic works examined the FNOMA system.
- ONOMA, which is anticipated to outperform FNOMA in terms of outage performance for SU, has received very little research attention.
- In the majority of works, intelligent transmission schemes are taken into consideration, and it is believed that RIS has perfect channel knowledge for pre- and post-phase compensation. However, because of the increased mobility of vehicles, perfect channel knowledge may not be available in applications like vehicular ad hoc networks.
- As far as we are aware, there is no literature that has been proposed for the blind RIS-aided ONOMA system.
- The closed-form outage probability and sum capacity expressions for blind RIS-ONOMA are not found in any conventional literature.
- The computationally efficient strategy for optimizing the power fraction allocation to maximize the sum capacity is not discussed.
- The majority of classic study treats RIS as SR and deploys it in an environment far from the BS and receiver. Longer distances may result in weaker signals being received by RIS, which limits the array and diversity gain benefits. There are very few works that consider both SR and AP scenarios.
- A novel blind-RIS-assisted ONOMA system model is proposed.
- The closed-form outage probability expressions have been derived for SR and AP scenarios of WU and SU.
- In order to maximize the DL sum capacity, the expressions for optimal power fraction allocation are derived.
- Probability of outage expressions for WU and SU are validated with Monte-Carlo simulations.
3. Outage Probability of RIS-ONOMA
3.1. Probability of Outage of RIS-SR-ONOMA
3.2. Probability of Outage of RIS-AP-ONOMA
3.3. DL Sum Capacity Maximization through Optimal Power Allocation
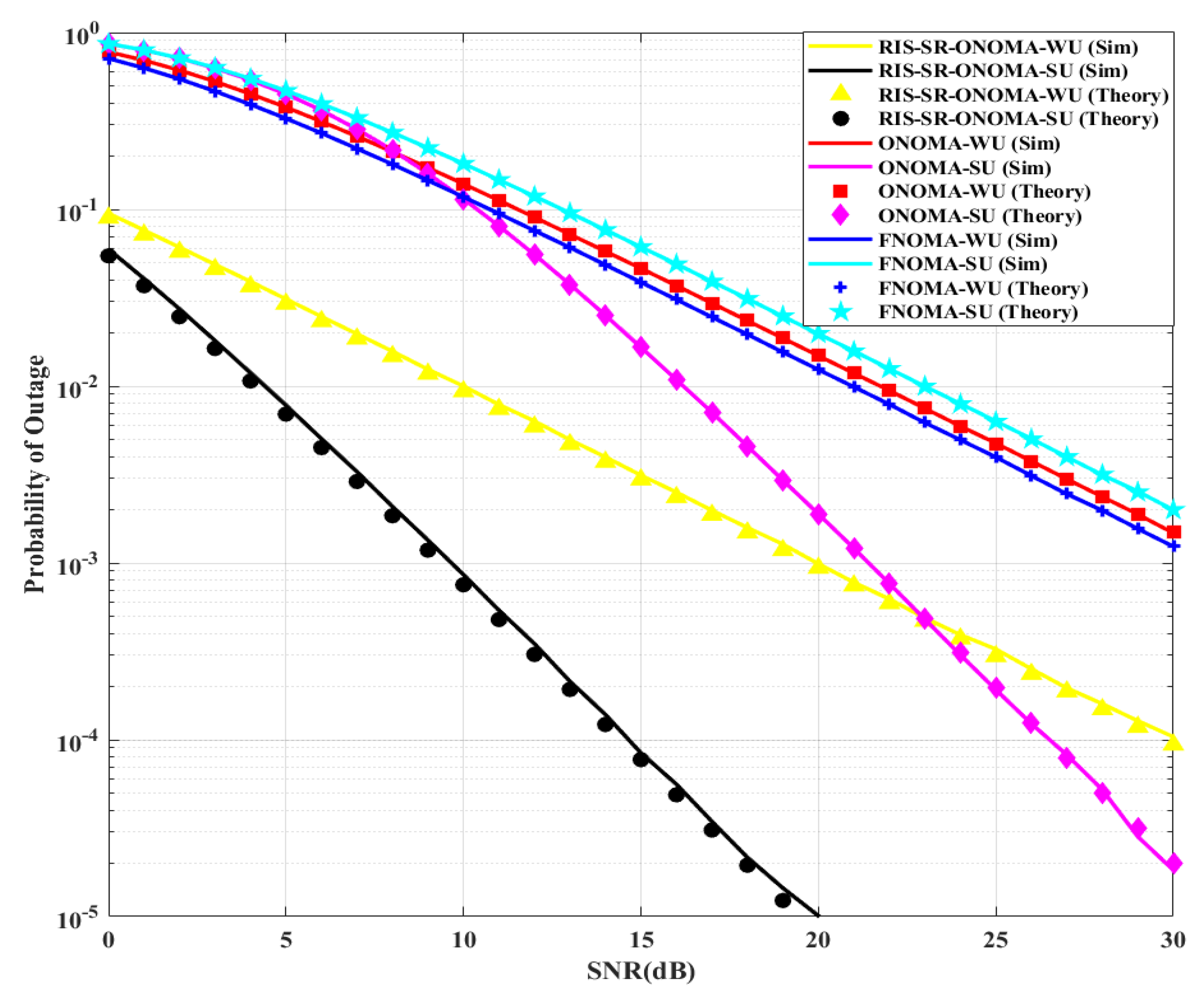
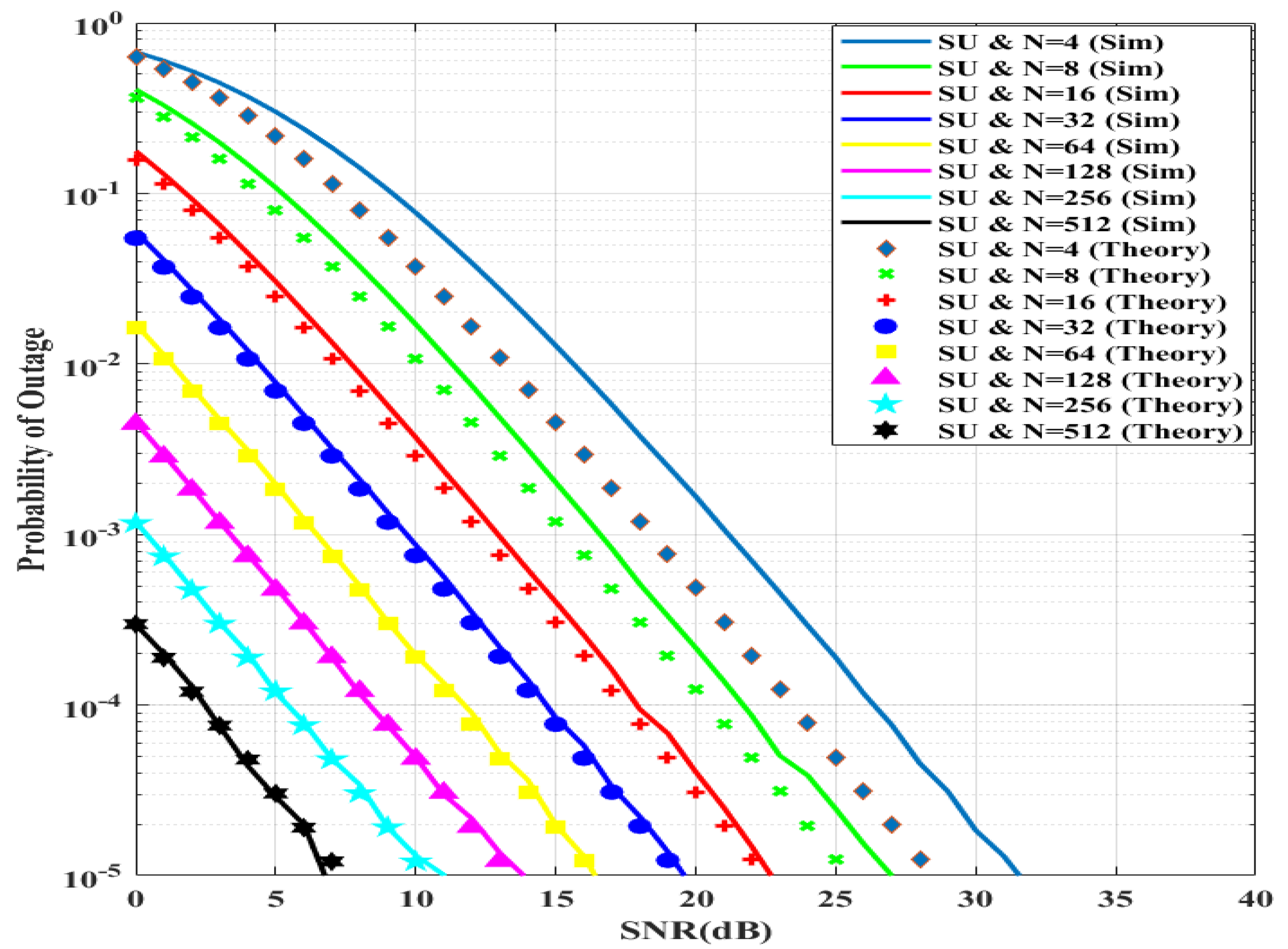
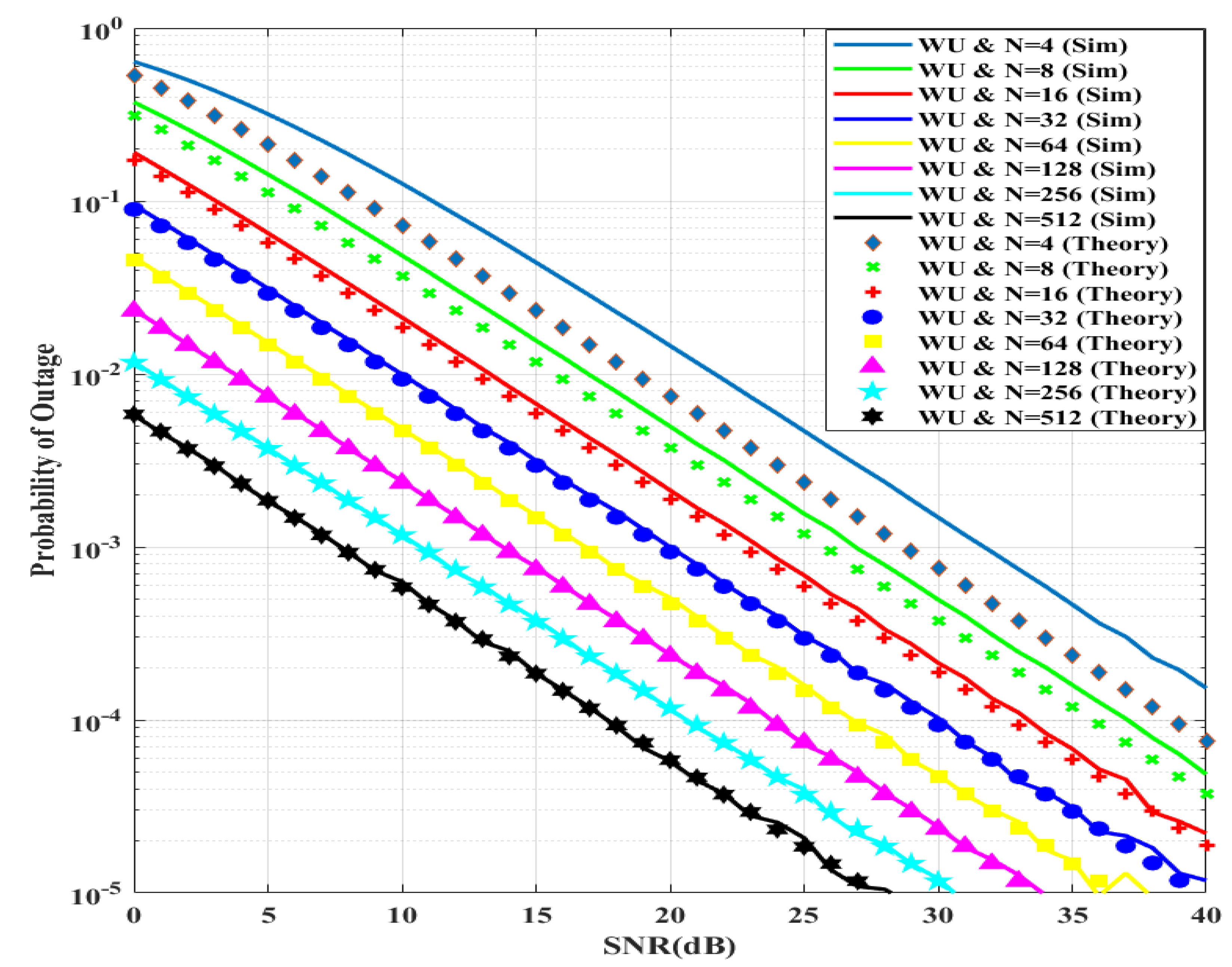
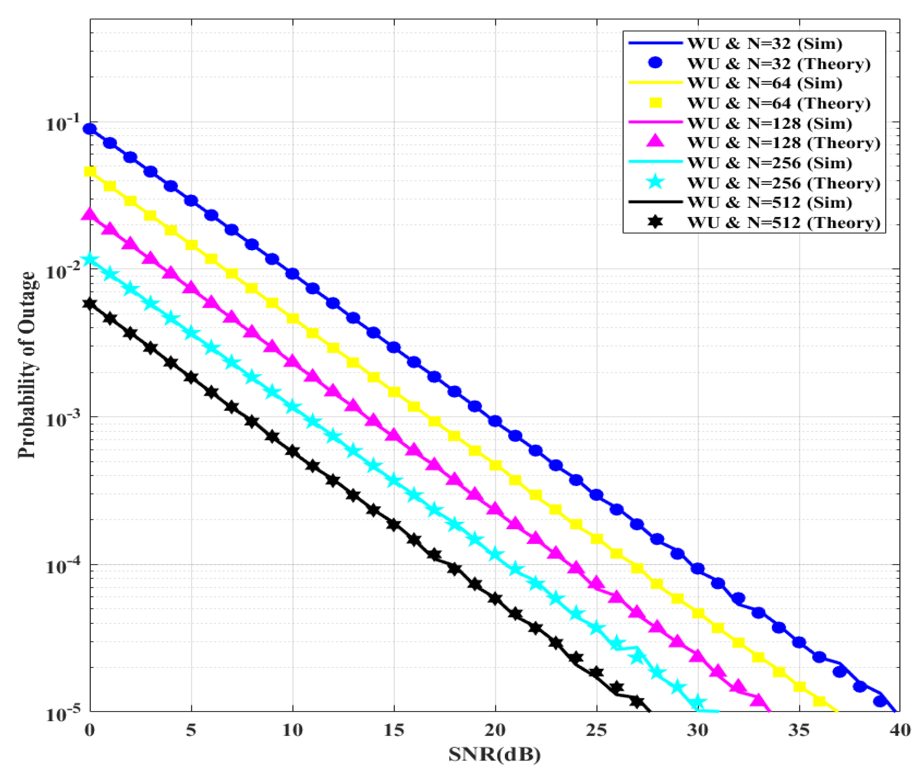
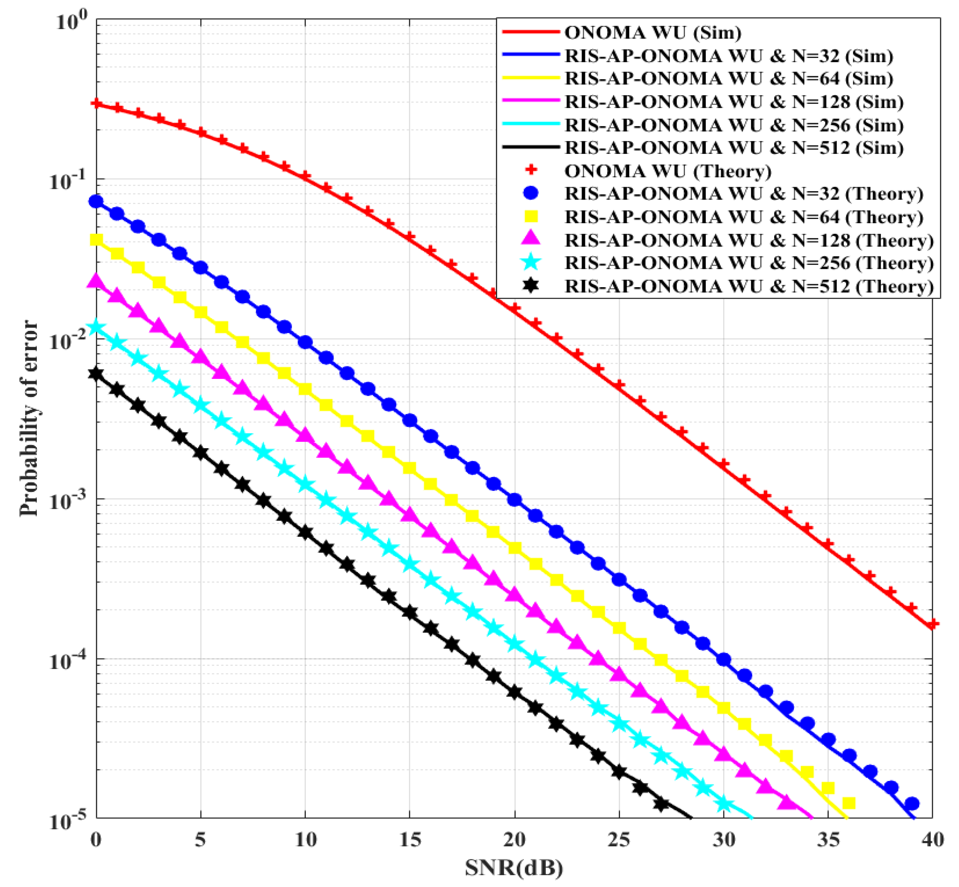
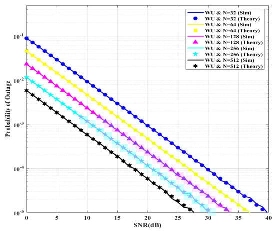
4. Simulation Results and Discussion
5. Conclusions
Author Contributions
Funding
Data Availability Statement
Conflicts of Interest
Appendix A. Proof of PDF of WU
Appendix B. Proof of PDF of SU
Appendix C. Proof of Feasibility Region
References
- Giordani, M.; Polese, M.; Mezzavilla, M.; Rangan, S.; Zorzi, M. Toward 6G Networks: Use Cases and Technologies. IEEE Commun. Mag. 2020, 58, 55–61. [Google Scholar] [CrossRef]
- Tariq, F.; Khandaker, M.R.; Wong, K.K.; Imran, M.A.; Bennis, M.; Debbah, M. A speculative study on 6G. IEEE Wirel. Commun. 2020, 27, 118–125. [Google Scholar] [CrossRef]
- Dang, S.; Amin, O.; Shihada, B.; Alouini, M.S. What should 6G be? Nat. Electron. 2020, 3, 20–29. [Google Scholar] [CrossRef]
- Akhtar, M.W.; Hassan, S.A.; Ghaffar, R.; Jung, H.; Garg, S.; Hossain, M.S. The shift to 6G communications: Vision and requirements. Human-Centric Comput. Inf. Sci. 2020, 10, 53. [Google Scholar] [CrossRef]
- Vaezi, M.; Baduge, G.A.A.; Liu, Y.; Arafa, A.; Fang, F.; Ding, Z. Interplay between NOMA and other emerging technologies: A survey. IEEE Trans. Cogn. Commun. Netw. 2019, 5, 900–919. [Google Scholar] [CrossRef]
- Imoize, A.; Adedeji, O.; Tandiya, N.; Shetty, S. 6G Enabled Smart Infrastructure for Sustainable Society: Opportunities, Challenges, and Research Roadmap. Sensors 2021, 21, 1709. [Google Scholar] [CrossRef]
- Liu, Y.; Zhang, S.; Mu, X.; Ding, Z.; Schober, R.; Al-Dhahir, N.; Hossain, E.; Shen, X. Evolution of NOMA Toward Next Generation Multiple Access (NGMA) for 6G. IEEE J. Sel. Areas Commun. 2022, 40, 1037–1071. [Google Scholar] [CrossRef]
- Badarudeena, S. Performance of antenna selection schemes for massive multiple-input multiple-output systems under Non-orthogonal multiple access cooperative communication. Indian J. Radio Space Phys. (IJRSP) 2022, 50, 46–50. [Google Scholar]
- Ding, Y.; Kim, K.J.; Koike-Akino, T.; Pajovic, M.; Wang, P.; Orlik, P. Spatial scattering modula-tion for uplink millimeter-wave systems. IEEE Commun. Lett. 2017, 21, 1493–1496. [Google Scholar] [CrossRef]
- Ding, Y.; Fusco, V.; Shitvov, A.; Xiao, Y.; Li, H. Beam Index Modulation Wireless Communication with Analog Beamforming. IEEE Trans. Veh. Technol. 2018, 67, 6340–6354. [Google Scholar] [CrossRef]
- Basar, E. Transmission through Large Intelligent Surfaces: A New Frontier in Wireless Communications. In Proceedings of the 2019 European Conference on Networks and Communications (EuCNC), Valencia, Spain, 18–21 June 2019; pp. 112–117. [Google Scholar] [CrossRef]
- Liaskos, C.; Nie, S.; Tsioliaridou, A.; Pitsillides, A.; Ioannidis, S.; Akyildiz, I. A New Wireless Communication Paradigm through Software-Controlled Metasurfaces. IEEE Commun. Mag. 2018, 56, 162–169. [Google Scholar] [CrossRef]
- Wang, J.; Tang, W.; Han, Y.; Jin, S.; Li, X.; Wen, C.-K.; Cheng, Q.; Cui, T.J. Interplay Between RIS and AI in Wireless Communications: Fundamentals, Architectures, Applications, and Open Research Problems. IEEE J. Sel. Areas Commun. 2021, 39, 2271–2288. [Google Scholar] [CrossRef]
- Zhao, J. A survey of intelligent reflecting surfaces (IRSs): Towards 6G wireless communication networks. arXiv 2019, arXiv:1907.04789. [Google Scholar]
- Chen, A.; Chen, Y.; Wang, Z. Reconfigurable Intelligent Surface Deployment for Blind Zone Im-provement in MmWave Wireless Networks. IEEE Commun. Lett. 2022, 26, 1423–1427. [Google Scholar] [CrossRef]
- Trichopoulos, G.C.; Theofanopoulos, P.; Kashyap, B.; Shekhawat, A.; Modi, A.; Osman, T.; Kumar, S.; Sengar, A.; Chang, A.; Alkhateeb, A. Design and Evaluation of Reconfigurable Intelligent Surfaces in Real-World Environment. IEEE Open J. Commun. Soc. 2022, 3, 462–474. [Google Scholar] [CrossRef]
- Jian, M.; Alexandropoulos, G.C.; Basar, E.; Huang, C.; Liu, R.; Liu, Y.; Yuen, C. Reconfigurable intelligent surfaces for wireless communications: Overview of hardware designs, channel models, and estimation techniques. Intell. Converg. Netw. 2022, 3, 1–32. [Google Scholar] [CrossRef]
- Miridakis, N.I.; Tsiftsis, T.A.; Yang, G.; Karkazis, P.A.; Leligou, H.C. Semi-Blind Multiuser Detection under the Presence of Reconfigurable Intelligent Surfaces. IEEE Wireless Commun. Lett. 2021, 11, 106–110. [Google Scholar] [CrossRef]
- Islam, S.M.; Zeng, M.; Dobre, O.A.; Kwak, K.S. Non-orthogonal multiple access (NOMA): How it meets 5G and beyond. arXiv 2019, arXiv:1907.10001. [Google Scholar]
- Huang, Y.; Zhang, C.; Wang, J.; Jing, Y.; Yang, L.; You, X. Signal Processing for MIMO-NOMA: Present and Future Challenges. IEEE Wirel. Commun. 2018, 25, 32–38. [Google Scholar] [CrossRef]
- Thirumavalavan, V.C.; Jayaraman, T.S. BER analysis of reconfigurable intelligent surface assisted downlink power domain NOMA system. In Proceedings of the 2020 International Conference on COMmunication Systems & NETworkS (COMSNETS), Bengaluru, India, 7–11 January 2020; pp. 519–522. [Google Scholar]
- Zhang, C.; Yi, W.; Liu, Y.; Qin, Z.; Chai, K.K. Downlink Analysis for Reconfigurable Intelligent Surfaces Aided NOMA Networks. In Proceedings of the GLOBECOM 2020—2020 IEEE Global Communications Conference, Taipei, Taiwan, 7–11 December 2020; pp. 1–6. [Google Scholar] [CrossRef]
- Al-Nahhal, I.; Dobre, O.A.; Basar, E. Reconfigurable Intelligent Surface-Assisted Uplink Sparse Code Multiple Access. IEEE Commun. Lett. 2021, 25, 2058–2062. [Google Scholar] [CrossRef]
- Li, G.; Liu, H.; Huang, G.; Li, X.; Raj, B.; Kara, F. Effective capacity analysis of reconfigurable intelligent surfaces aided NOMA network. EURASIP J. Wirel. Commun. Netw. 2021, 2021, 198. [Google Scholar] [CrossRef]
- Tahir, B.; Schwarz, S.; Rupp, M. RIS-Assisted Code-Domain MIMO-NOMA. In Proceedings of the 2021 29th European Signal Processing Conference (EUSIPCO), Dublin, Ireland, 23–27 August 2021; pp. 821–825. [Google Scholar]
- Zhang, Z.; Zhang, C.; Jiang, C.; Jia, F.; Ge, J.; Gong, F. Improving Physical Layer Security for Reconfigurable Intelligent Surface Aided NOMA 6G Networks. IEEE Trans. Veh. Technol. 2021, 70, 4451–4463. [Google Scholar] [CrossRef]
- Basar, E.; Di Renzo, M.; De Rosny, J.; Debbah, M.; Alouini, M.-S.; Zhang, R. Wireless Communications through Reconfigurable Intelligent Surfaces. IEEE Access 2019, 7, 116753–116773. [Google Scholar] [CrossRef]
- Agarwal, A.; Chaurasiya, R.; Rai, S.; Jagannatham, A.K. Outage Probability Analysis for NOMA Downlink and Uplink Communication Systems with Generalized Fading Channels. IEEE Access 2020, 8, 220461–220481. [Google Scholar] [CrossRef]
- Salo, J.; El-Sallabi, H.; Vainikainen, P. The Distribution of the Product of Independent Rayleigh Random Variables. IEEE Trans. Antennas Propag. 2006, 54, 639–643. [Google Scholar] [CrossRef]
- Nguyen, H.-N.; Le, C.-B.; Nguyen, N.-T.; Do, D.-T. Study on outage performance gap of two destinations on CR-NOMA network. TELKOMNIKA (Telecommun. Comput. Electron. Control.) 2020, 18, 191–198. [Google Scholar] [CrossRef]
- Do, D.-T.; Le, C.-B. Exploiting performance gap among two users in reconfigurable intelligent surfaces-aided wireless systems. TELKOMNIKA (Telecommun. Comput. Electron. Control.) 2022, 20, 1–8. [Google Scholar] [CrossRef]
- Hemanth, A.; Umamaheswari, K.; Pogaku, A.C.; Do, D.-T.; Lee, B.M. Outage performance analysis of reconfigurable intelligent surfaces-aided NOMA under presence of hardware impairment. IEEE Access 2020, 8, 212156–212165. [Google Scholar] [CrossRef]
- Kara, F.; Kaya, H. BER performances of downlink and uplink NOMA in the presence of SIC errors over fading channels. IET Commun. 2018, 12, 1834–1844. [Google Scholar] [CrossRef]















| Symbol | Description |
|---|---|
| Channel between BS and RIS | |
| Channel between RIS and user equipment (UE) | |
| Power allocation factor assigned to user i | |
| Combined transmited signal | |
| The received signal at user i | |
| Complex Gaussian noise added at user i | |
| Overall gain of the channel of user 1 | |
| Overall gain of the channel of user 2 | |
| Probability of outage of user i for smart reflector (SR) scenario | |
| Probability of outage of user i for FNOMA system | |
| Probability of outage of user i for ONOMA system | |
| Desired rate of user i | |
| Sub-optimal power allocated to user | |
| Optimal power allocated to user |
| Parameters | Value |
|---|---|
| Quantity of users | 2 |
| Quantity of reflecting elements | 4,8,16,32,64,128,256,512 |
| Average channel gain of WU | 1 |
| Average channel gain of SU | 5 |
| Target rate of WU | 1 b/s/Hz |
| Target rate of SU | 1 b/s/Hz |
| Target throughput | 3 b/s/Hz |
| Power factor allocated to WU | 0.1 |
| Power factor allocated to SU | 0.9 |
| Block length | 106 bits |
Publisher’s Note: MDPI stays neutral with regard to jurisdictional claims in published maps and institutional affiliations. |
© 2022 by the authors. Licensee MDPI, Basel, Switzerland. This article is an open access article distributed under the terms and conditions of the Creative Commons Attribution (CC BY) license (https://creativecommons.org/licenses/by/4.0/).
Share and Cite
Jadhav, H.K.; Kumaravelu, V.B. Blind RIS Aided Ordered NOMA: Design, Probability of Outage Analysis and Transmit Power Optimization. Symmetry 2022, 14, 2266. https://doi.org/10.3390/sym14112266
Jadhav HK, Kumaravelu VB. Blind RIS Aided Ordered NOMA: Design, Probability of Outage Analysis and Transmit Power Optimization. Symmetry. 2022; 14(11):2266. https://doi.org/10.3390/sym14112266
Chicago/Turabian StyleJadhav, Hindavi Kishor, and Vinoth Babu Kumaravelu. 2022. "Blind RIS Aided Ordered NOMA: Design, Probability of Outage Analysis and Transmit Power Optimization" Symmetry 14, no. 11: 2266. https://doi.org/10.3390/sym14112266
APA StyleJadhav, H. K., & Kumaravelu, V. B. (2022). Blind RIS Aided Ordered NOMA: Design, Probability of Outage Analysis and Transmit Power Optimization. Symmetry, 14(11), 2266. https://doi.org/10.3390/sym14112266

