Attractive and Repulsive Fluctuation-Induced Pressure in Peptide Films Deposited on Semiconductor Substrates
Abstract
1. Introduction
2. Lifshitz Formula for the Casimir Pressure in a Film Deposited on Thick Substrate
3. Dielectric Functions of Different Semiconductors and Peptide along the Imaginary Frequency Axis
4. Computational Results for the Casimir Pressure in Peptide Films
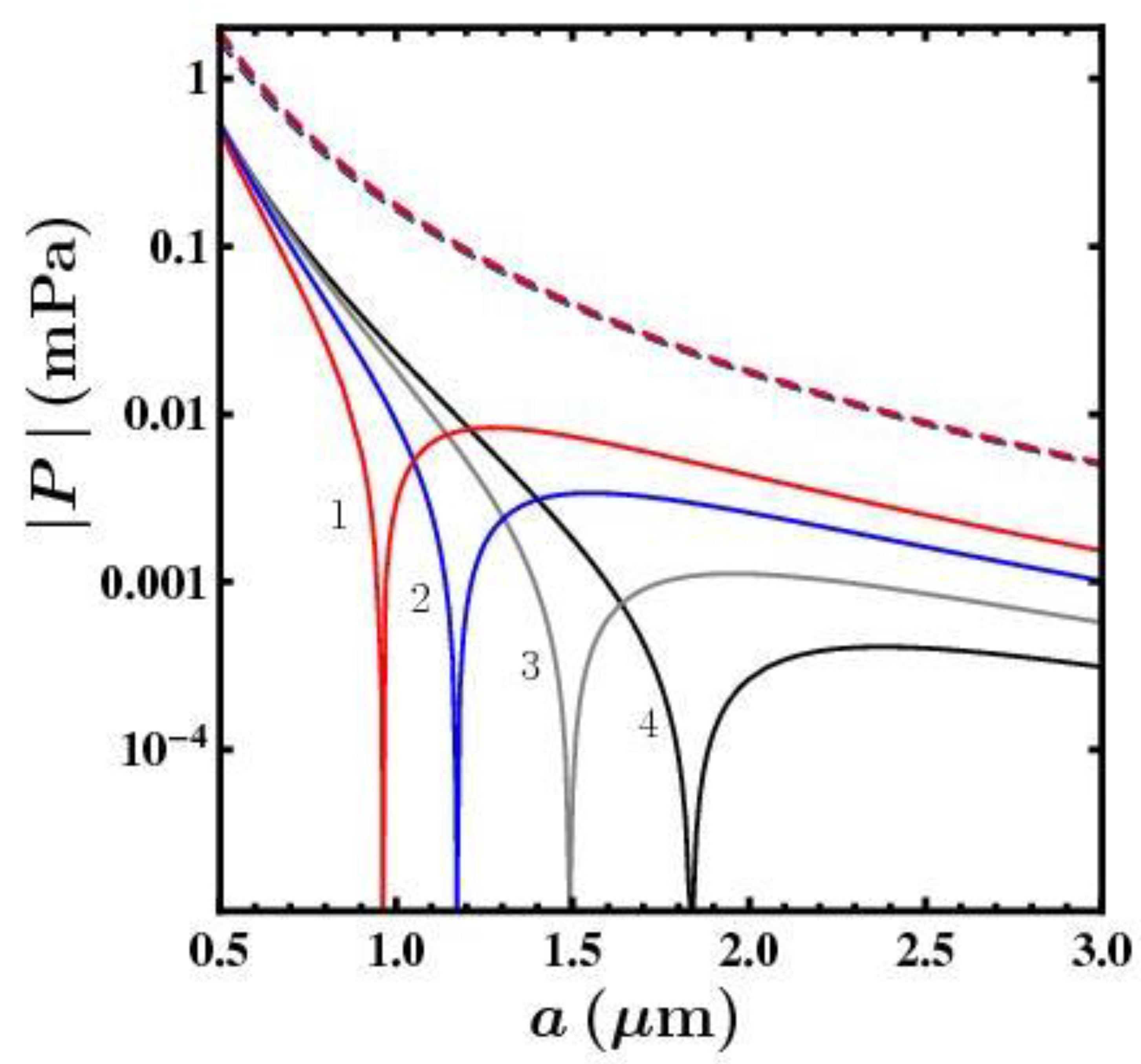
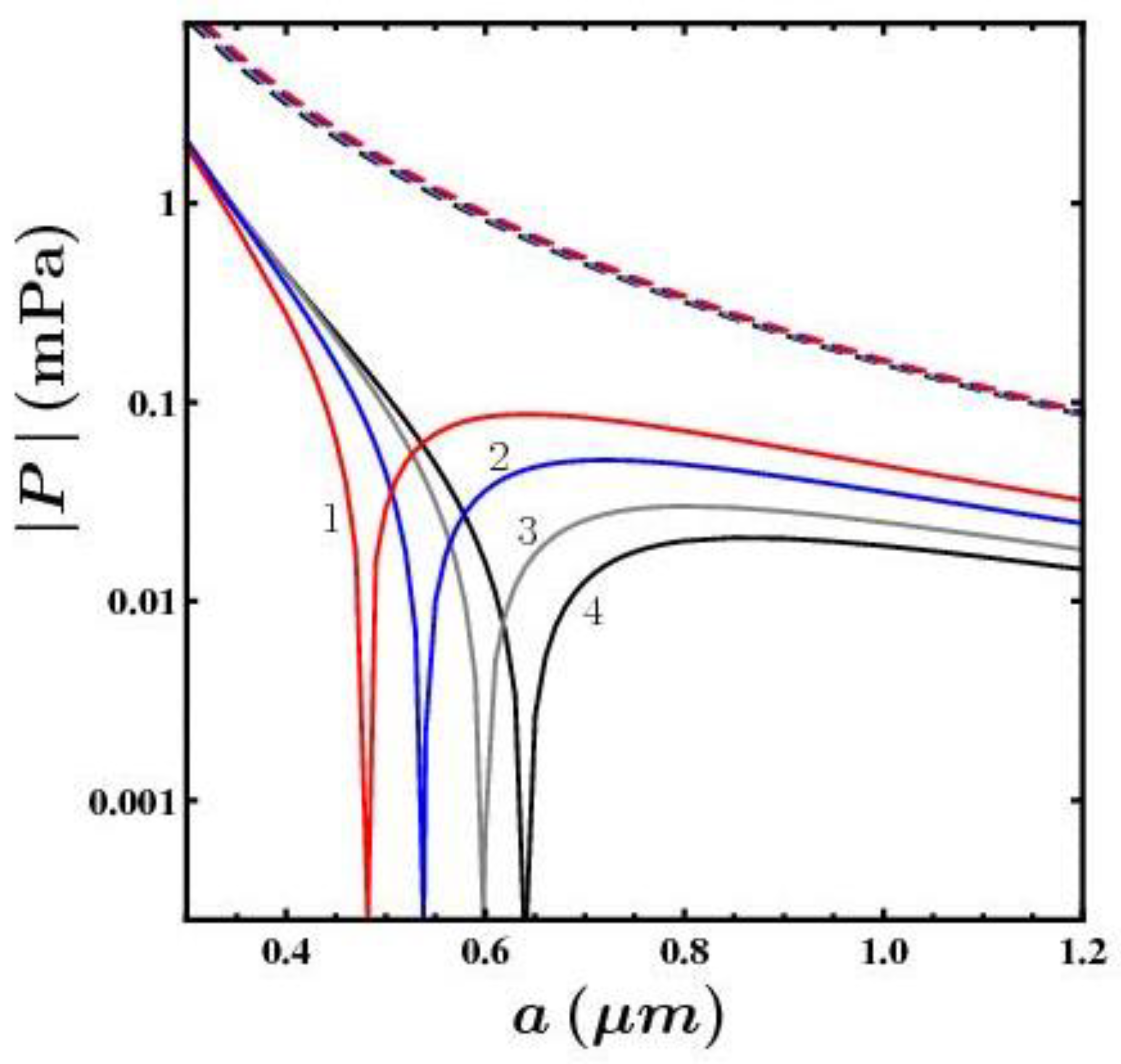
4.1. Gallium Arsenide Substrate
4.2. Germanium Substrate
4.3. Zinc Sulfide Substrate
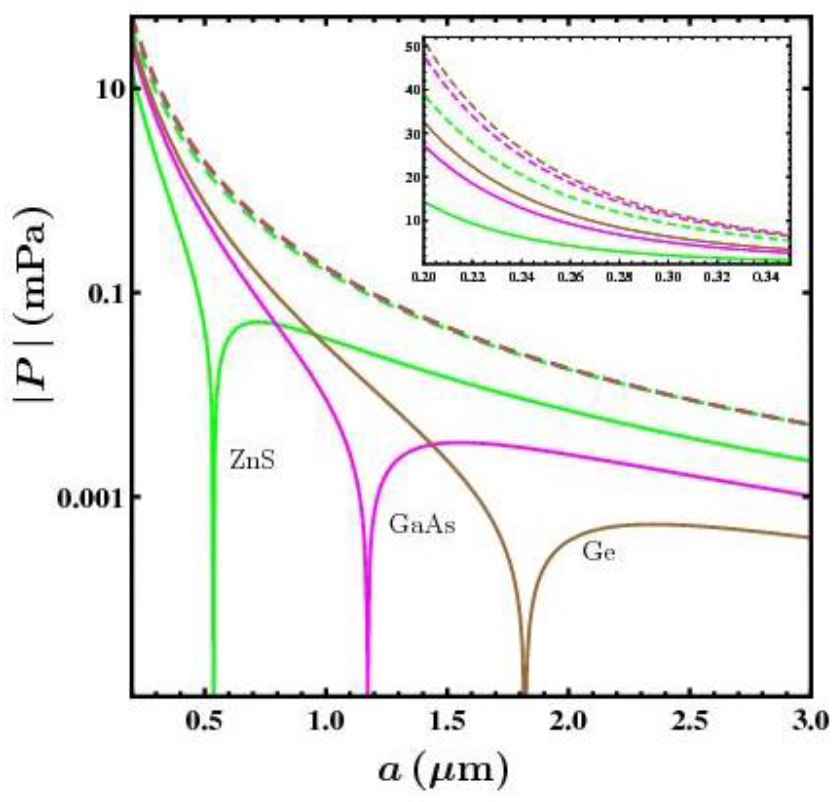
4.4. Comparison between Different Substrates
5. Discussion
6. Conclusions
Author Contributions
Funding
Institutional Review Board Statement
Informed Consent Statement
Data Availability Statement
Conflicts of Interest
References
- Mahanty, J.; Ninham, B.W. Dispersion Forces; Academic Press: London, UK, 1976. [Google Scholar]
- Milton, K.A. The Casimir Effect: Physical Manifestations of Zero-Point Energy; World Scientific: Singapore, 2001. [Google Scholar]
- Parsegian, V.A. Van der Waals Forces: A Handbook for Biologists, Chemists, Engineers, and Physicists; Cambridge University Press: Cambridge, UK, 2005. [Google Scholar]
- Israelachvili, J. Intermolecular and Surface Forces; Academic Press: San Diego, CA, USA, 1992. [Google Scholar]
- Buhmann, S.Y. Disperson Forces; Springer: Berlin, Germany, 2012; Volumes 1 and 2. [Google Scholar]
- Bordag, M.; Klimchitskaya, G.L.; Mohideen, U.; Mostepanenko, V.M. Advances in the Casimir Effect; Oxford University Press: Oxford, UK, 2015. [Google Scholar]
- Sernelius, B.E. Fundamentals of van der Waals and Casimir Interactions; Springer: New York, NY, USA, 2018. [Google Scholar]
- Chan, H.B.; Aksyuk, V.A.; Kleiman, R.N.; Bishop, D.J.; Capasso, F. Quantum mechanical actuation of microelectromechanical system by the Casimir effect. Science 2001, 291, 1941–1944. [Google Scholar] [CrossRef] [PubMed]
- Chan, H.B.; Aksyuk, V.A.; Kleiman, R.N.; Bishop, D.J.; Capasso, F. Nonlinear Micromechanical Casimir Oscillator. Phys. Rev. Lett. 2001, 87, 211801. [Google Scholar] [CrossRef] [PubMed]
- Buks, E.; Roukes, M.L. Stiction, adhesion, and the Casimir effect in micromechanical systems. Phys. Rev. B 2001, 63, 033402. [Google Scholar] [CrossRef]
- Buks, E.; Roukes, M.L. Metastability and the Casimir effect in micromechanical systems. Europhys. Lett. 2001, 54, 220–226. [Google Scholar] [CrossRef]
- Barcenas, J.; Reyes, L.; Esquivel-Sirvent, R. Scaling of micro- and nanodevices actuated by the Casimir force. Appl. Phys. Lett. 2005, 87, 263106. [Google Scholar] [CrossRef]
- Palasantzas, G. Contact angle influence on the pull-in voltage of microswitches in the presence of capillary and quantum vacuum effects. J. Appl. Phys. 2007, 101, 053512. [Google Scholar] [CrossRef]
- Palasantzas, G. Pull-in voltage of microswitch rough plates in the presence of electromagnetic and acoustic Casimir forces. J. Appl. Phys. 2007, 101, 063548. [Google Scholar] [CrossRef]
- Esquivel-Sirvent, R.; Pérez-Pascual, R. Geometry and charge carrier induced stability in Casimir actuated nanodevices. Eur. Phys. J. B 2013, 86, 467. [Google Scholar] [CrossRef]
- Broer, W.; Palasantzas, G.; Knoester, G.; Svetovoy, V.B. Significance of the Casimir force and surface roughness for actuation dynamics of MEMS. Phys. Rev. B 2013, 87, 125413. [Google Scholar] [CrossRef]
- Sedighi, M.; Broer, W.; Palasantzas, G.; Kooi, B.J. Sensitivity of micromechanical actuation on amorphous to crystalline phase transformations under the influence of Casimir forces. Phys. Rev. B 2013, 88, 165423. [Google Scholar] [CrossRef]
- Zou, J.; Marcet, Z.; Rodriguez, A.W.; Reid, M.T.H.; McCauley, A.P.; Kravchenko, I.I.; Lu, T.; Bao, Y.; Johnson, S.G.; Chan, H.B. Casimir forces on a silicon micromechanical chip. Nat. Commun. 2013, 4, 1845. [Google Scholar] [CrossRef] [PubMed]
- Broer, W.; Waalkens, H.; Svetovoy, V.B.; Knoester, J.; Palasantzas, G. Nonlinear Actuation Dynamics of Driven Casimir Oscillators with Rough Surfaces. Phys. Rev. Appl. 2013, 4, 054016. [Google Scholar] [CrossRef]
- Liu, X.-F.; Li, Y.; Jing, H. Casimir switch: Steering optical transparancy with vacuum forces. Sci. Rep. 2016, 6, 27102. [Google Scholar] [CrossRef] [PubMed]
- Tang, L.; Wang, M.; Ng, C.Y.; Nicolic, M.; Chan, C.T.; Rodriguez, A.W.; Chan, H.B. Measurement of nonmonotonic Casimir forces between silicon nanostructures. Nat. Photonics 2017, 11, 97. [Google Scholar] [CrossRef]
- Inui, N. Optical switching of a graphene mechanical switch using the Casimir effect. J. Appl. Phys. 2017, 122, 104501. [Google Scholar] [CrossRef]
- Klimchitskaya, G.L.; Mostepanenko, V.M.; Petrov, V.M.; Tschudi, T. Demonstration of the Optical Chopper Driven by the Casimir Force. Phys. Rev. Appl. 2018, 10, 014010. [Google Scholar] [CrossRef]
- Sharma, S.; Johnson, R.W.; Desai, T.A. Evaluation of the stability of nonfouling ultrathin poly(elhylene glucol) films for silicon-based microdevices. Langmuir 2004, 20, 348–356. [Google Scholar] [CrossRef]
- Natesan, M.; Ulrich, R.G. Protein microarrays, and biomarkers of infection disease. Int. J. Mol. Sci. 2010, 11, 5165–5183. [Google Scholar] [CrossRef]
- Chandra, H.; Reddy, P.J.; Srivastava, S. Protein microarrays and novel detection platforms. Expert Rev. Proteom. 2011, 8, 61–79. [Google Scholar] [CrossRef]
- Panda, S.S.; Katz, H.E.; Tovar, J.D. Solid-state electrical applications of protein and peptide based nanomaterials. Chem. Soc. Rev. 2018, 47, 3640–3658. [Google Scholar] [CrossRef]
- Lee, P.M.; Xiong, Z.; Ho, J. Methods for powering bioelectronic microdevices. Bioelectron. Med. 2018, 1, 201–217. [Google Scholar] [CrossRef]
- Dyubo, D.; Tsybin, O.Y. Computer Simulation of a Surface Charge Nanobiosensor with Internal Signal Integration. Biosensors 2021, 11, 397. [Google Scholar] [CrossRef] [PubMed]
- Baranov, M.A.; Tsybin, O.Y.; Velichko, E.N. Structured biomolecular films for microelectronics. St. Petersburg Polytechnic Univ. J. Phys. Math. 2021, 14, 85–99. [Google Scholar]
- Lifshitz, E.M. The theory of molecular attractive forces between solids. Zh. Eksp. Teor. Fiz. 1955, 29, 94–110, Translated: Sov. Phys. JETP 1956, 2, 73–83. [Google Scholar]
- Lifshitz, E.M.; Pitaevskii, L.P. Statistical Physics; Pt II; Pergamon: Oxford, UK, 1980. [Google Scholar]
- Emig, T.; Graham, N.; Jaffe, R.L.; Kardar, M. Casimir Forces between Arbitrary Compact Objects. Phys. Rev. Lett. 2007, 99, 170403. [Google Scholar] [CrossRef]
- Kenneth, O.; Klich, I. Casimir forces in a T-operator approach. Phys. Rev. B 2008, 78, 014103. [Google Scholar] [CrossRef]
- Rahi, S.J.; Emig, T.; Graham, N.; Jaffe, R.L.; Kardar, M. Scattering theory approach to electrodynamic Casimir forces. Phys. Rev. D 2009, 80, 085021. [Google Scholar] [CrossRef]
- Parsegian, V.A.; Ninham, B.W. Application of the Lifshitz theory to the calculation of van der Waals forces across thin lipid films. Nature 1969, 224, 1197–1198. [Google Scholar] [CrossRef]
- Nir, S. Van der Waals interactions between surfaces of biological interest. Prog. Surf. Sci. 1977, 8, 1–58. [Google Scholar] [CrossRef]
- Roth, C.M.; Neal, B.L.; Lenhoff, A.M. Van der Waals interactions involving proteins. Biophys. J. 1996, 70, 977–987. [Google Scholar] [CrossRef]
- Lu, B.-S.; Podgornik, R. Effective interactions between fluid membranes. Phys. Rev. E 2015, 92, 022112. [Google Scholar] [CrossRef] [PubMed]
- Klimchitskaya, G.L.; Mostepanenko, V.M. Casimir free energy of metallic films: Discriminating between Drude and plasma model approaches. Phys. Rev. A 2015, 92, 042109. [Google Scholar] [CrossRef]
- Klimchitskaya, G.L.; Mostepanenko, V.M. Casimir and van der Waals energy of anisotropic atomically thin metallic films. Phys. Rev. B 2015, 92, 205410. [Google Scholar] [CrossRef]
- Klimchitskaya, G.L.; Mostepanenko, V.M. Casimir free energy and pressure for magnetic metal films. Phys. Rev. B 2016, 94, 045404. [Google Scholar] [CrossRef]
- Klimchitskaya, G.L.; Mostepanenko, V.M. Characteristic properties of the Casimir free energy for metal films deposited on metallic plates. Phys. Rev. A 2016, 93, 042508. [Google Scholar] [CrossRef]
- Klimchitskaya, G.L.; Mostepanenko, V.M. Low-temperature behavior of the Casimir free energy and entropy of metallic films. Phys. Rev. A 2017, 95, 012130. [Google Scholar] [CrossRef]
- Klimchitskaya, G.L.; Mostepanenko, V.M. Casimir free energy of dielectric films: Classical limit, low-temperature behavior and control. J. Phys. Condens. Matter 2016, 29, 275701. [Google Scholar] [CrossRef]
- Baranov, M.A.; Klimchitskaya, G.L.; Mostepanenko, V.M.; Velichko, E.N. Fluctuation-induced free energy of thin peptide films. Phys. Rev. E 2019, 99, 022410. [Google Scholar] [CrossRef]
- Velichko, E.N.; Baranov, M.A.; Mostepanenko, V.M. Change of sign in the Casimir interaction of peptide films deposited on a dielectric substrate. Mod. Phys. Lett. A 2020, 35, 2040020. [Google Scholar] [CrossRef]
- Klimchitskaya, G.L.; Mostepanenko, V.M.; Velichko, E.N. Effect of increased stability of peptide-based coatings in the Casimir regime via nanoparticle doping. Phys. Rev. B 2020, 102, 161405. [Google Scholar] [CrossRef]
- Klimchitskaya, G.L.; Mohideen, U.; Mostepanenko, V.M. The Casimir force between real materials: Experiment and theory. Rev. Mod. Phys. 2009, 81, 1827–1885. [Google Scholar] [CrossRef]
- Klimchitskaya, G.L.; Mohideen, U.; Mostepanenko, V.M. How to modify the van der Waals and Casimir forces without change of the dielectric permittivity. J. Phys. Condens. Matter 2012, 24, 424202. [Google Scholar] [CrossRef] [PubMed][Green Version]
- Woods, L.M.; Dalvit, D.A.R.; Tkatchenko, A.; Rodriguez-Lopez, P.; Rodriguez, A.W.; Podgornik, R. Materials perspective on Casimir and van der Waals interactions. Rev. Mod. Phys. 2016, 88, 045003. [Google Scholar] [CrossRef]
- Mostepanenko, V.M. Casimir Puzzle and Conundrum: Discovery and Search for Resolution. Universe 2021, 7, 84. [Google Scholar] [CrossRef]
- Chen, F.; Klimchitskaya, G.L.; Mostepanenko, V.M.; Mohideen, U. Demonstration of optically modulated dispersion forces. Opt. Express 2007, 15, 4823–4829. [Google Scholar] [CrossRef] [PubMed]
- Chen, F.; Klimchitskaya, G.L.; Mostepanenko, V.M.; Mohideen, U. Control of the Casimir force by the modification of dielectric properties with light. Phys. Rev. B 2007, 76, 035338. [Google Scholar] [CrossRef]
- Klimchitskaya, G.L.; Mostepanenko, V.M. Conductivity of dielectric and thermal atom-wall interaction. J. Phys. A Math. Theor. 2008, 41, 312002. [Google Scholar] [CrossRef][Green Version]
- Chang, C.-C.; Banishev, A.A.; Klimchitskaya, G.L.; Mostepanenko, V.M.; Mohideen, U. Reduction of the Casimir Force from Indium Tin Oxide Film by UV Treatment. Phys. Rev. Lett. 2011, 107, 090403. [Google Scholar] [CrossRef]
- Banishev, A.A.; Chang, C.-C.; Castillo-Garza, R.; Klimchitskaya, G.L.; Mostepanenko, V.M.; Mohideen, U. Modifying the Casimir force between indium tin oxide film and Au sphere. Phys. Rev. B 2012, 85, 045436. [Google Scholar] [CrossRef]
- Mostepanenko, V.M. How to confirm and exclude different models of material properties in the Casimir effect. J. Phys. Condens. Matter 2015, 27, 214013. [Google Scholar] [CrossRef][Green Version]
- Obrecht, J.M.; Wild, R.J.; Antezza, M.; Pitaevskii, L.P.; Stringari, S.; Cornell, E.A. Measurement of the temperature dependence of the Casimir-Polder force. Phys. Rev. Lett. 2007, 98, 063201. [Google Scholar] [CrossRef] [PubMed]
- Geyer, B.; Klimchitskaya, G.L.; Mostepanenko, V.M. Thermal quantum field theory and the Casimir interaction between dielectrics. Phys. Rev. D 2005, 72, 085009. [Google Scholar] [CrossRef]
- Klimchitskaya, G.L.; Mohideen, U.; Mostepanenko, V.M. Casimir-Polder force between an atom and a dielectric plate: Thermodynamics and experiment. J. Phys. A Math. Theor. 2008, 41, 432001. [Google Scholar] [CrossRef][Green Version]
- Klimchitskaya, G.L.; Korikov, C.C. Casimir entropy for magnetodielectrics. J. Phys. Condens. Matter 2015, 27, 214007. [Google Scholar] [CrossRef] [PubMed]
- Klimchitskaya, G.L.; Mostepanenko, V.M. Observability of thermal effects in the Casimir interaction with graphene-coated substrates. Phys. Rev. A 2014, 89, 052512. [Google Scholar] [CrossRef]
- Palik, E.D. (Ed.) Handbook of Optical Constants of Solids; Academic Press: New York, NY, USA, 1985. [Google Scholar]
- Barnes, N.P.; Piltch, M.S. Temperature-dependent Sellmeier coefficients and nonlinear optics average power limits for germanium. J. Opt. Soc. Am. 1979, 69, 178–180. [Google Scholar] [CrossRef]
- Bergström, L. Hamaker constant of inorganic materials. Adv. Coll. Interface Sci. 1979, 70, 125–169. [Google Scholar] [CrossRef]
- Löffler, G.; Schreiber, H.; Steinhauser, O. Calculation of the Dielectric Properties of a Protein and its Solvent: Theory and a Case Study. J. Mol. Biol. 1997, 270, 520–534. [Google Scholar] [CrossRef]
- Adhikari, P.; Wen, A.M.; French, R.H.; Parsegian, V.A.; Steinmetz, N.F.; Podgornik, R.; Ching, W.-Y. Electronic Structure, Dielectric Response, and Surface Charge Distribution of RGD (1FUV) Peptide. Sci. Rep. 2014, 4, 5605. [Google Scholar] [CrossRef]
- Krochta, J.M. Proteins as Raw Materials for Films and Coatings: Definitions, Current Status, and Opportunities. In Protein-Based Films and Coatings; Gennadios, A., Ed.; CRC Press: Boca Raton, FL, USA, 2002; p. 1. [Google Scholar]
- Hough, D.B.; White, L.H. The calculation of Hamaker constant from Lifshitz theory with application to wetting phenomena. Adv. Coll. Interface Sci. 1980, 14, 3–41. [Google Scholar] [CrossRef]





Publisher’s Note: MDPI stays neutral with regard to jurisdictional claims in published maps and institutional affiliations. |
© 2022 by the authors. Licensee MDPI, Basel, Switzerland. This article is an open access article distributed under the terms and conditions of the Creative Commons Attribution (CC BY) license (https://creativecommons.org/licenses/by/4.0/).
Share and Cite
Klimchitskaya, G.L.; Mostepanenko, V.M.; Tsybin, O.Y. Attractive and Repulsive Fluctuation-Induced Pressure in Peptide Films Deposited on Semiconductor Substrates. Symmetry 2022, 14, 2196. https://doi.org/10.3390/sym14102196
Klimchitskaya GL, Mostepanenko VM, Tsybin OY. Attractive and Repulsive Fluctuation-Induced Pressure in Peptide Films Deposited on Semiconductor Substrates. Symmetry. 2022; 14(10):2196. https://doi.org/10.3390/sym14102196
Chicago/Turabian StyleKlimchitskaya, Galina L., Vladimir M. Mostepanenko, and Oleg Yu. Tsybin. 2022. "Attractive and Repulsive Fluctuation-Induced Pressure in Peptide Films Deposited on Semiconductor Substrates" Symmetry 14, no. 10: 2196. https://doi.org/10.3390/sym14102196
APA StyleKlimchitskaya, G. L., Mostepanenko, V. M., & Tsybin, O. Y. (2022). Attractive and Repulsive Fluctuation-Induced Pressure in Peptide Films Deposited on Semiconductor Substrates. Symmetry, 14(10), 2196. https://doi.org/10.3390/sym14102196

