Bright Soliton Behaviours of Fractal Fractional Nonlinear Good Boussinesq Equation with Nonsingular Kernels
Abstract
:1. Introduction
2. Preliminaries
3. Proposed Method
3.1. Strategy of Solution for the Caputo–Fabrizio Case
3.2. Strategy for the Solution of the Atangana–Baleanu Case
4. Theoretical Investigation
4.1. Existence and Uniqueness Theorems
4.1.1. Exponential Decay Kernel Operator
4.1.2. Uniqueness
4.2. Existence Theory for ABC Operator
4.2.1. Existence
4.2.2. Uniqueness
5. Stability Analysis
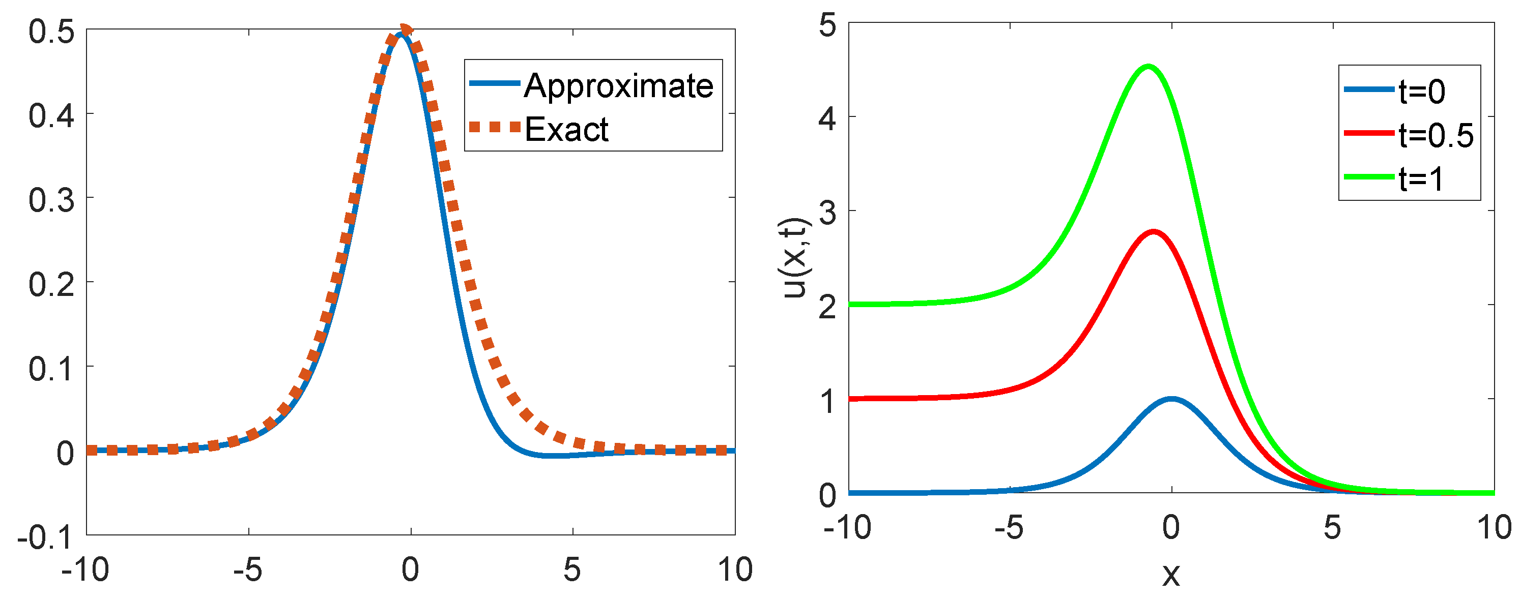
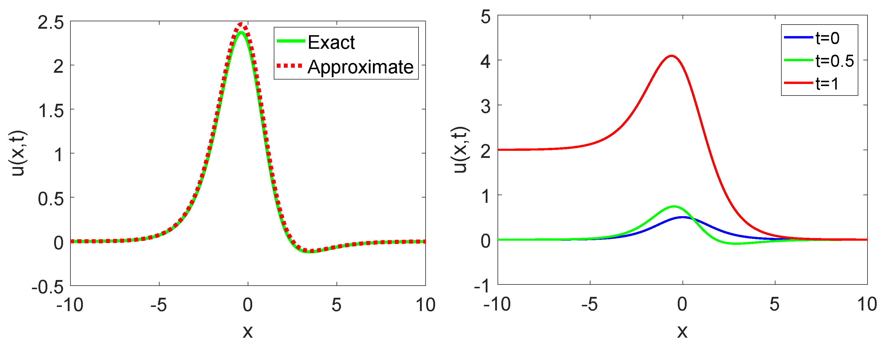
6. Numerical Examples
Discussion and Error Analysis
| (x,t) | Exact | u | ∣ Exact−u∣ | (x,t) | Exact | u | ∣ Exact−u∣ |
|---|---|---|---|---|---|---|---|
| (−5,0.05) | 0.0143 | 0.1189 | 3.2593 | (−4.5,0.05) | 0.1303 | 0.0232 | 8.2544 |
| (−4,0.05) | 0.0378 | 0.1485 | 1.9948 | (−3.5,0.05) | 0.0608 | 0.1766 | 4.4540 |
| (−3,0.05) | 0.0963 | 0.2192 | 8.6756 | (−2.5,0.05) | 0.1635 | 0.1635 | 3.5154 |
| (−2,0.05) | 0.1756 | 0.1755 | 8.6007 | (−1.5,0.05) | 0.3117 | 0.4684 | 1.9665 |
| (−1,0.05) | 0.4049 | 0.5737 | 1.6855 | (−0.5,0.05) | 0.4776 | 0.6508 | 7.427 |
| (0,0.05) | 0.4993 | 0.6676 | 1.250 | (1,0.05) | 0.3802 | 0.5047 | 9.9831 |
| (1.5,0.05) | 0.2849 | 0.3796 | 1.9665 | (2,0.05) | 0.1988 | 0.2662 | 1.2075 |
| (2.5,0.05) | 0.1319 | 0.1776 | 1.3197 | (3,0.05) | 0.0847 | 0.1145 | 8.6756 |
| (3.5,0.05) | 0.0532 | 0.0722 | 4.4540 | (4,0.05) | 0.0329 | 0.0449 | 1.9948 |
| (4.5,0.05) | 0.0202 | 0.0277 | 8.2544 | (5,0.05) | 0.01239 | 0.0170 | 3.2592 |
| (x,t) | Exact | u | ∣ Exact−u∣ | (x,t) | Exact | u | ∣ Exact−u∣ |
|---|---|---|---|---|---|---|---|
| (−5,0.05) | 0.0142 | 0.1178 | 3.2490 | (−4.5,0.05) | 0.1303 | 0.0132 | 8.2431 |
| (−4,0.05) | 0.0378 | 0.1385 | 1.9846 | (−3.5,0.05) | 0.0608 | 0.1661 | 4.4438 |
| (−3,0.05) | 0.0963 | 0.2088 | 8.6216 | (−2.5,0.05) | 0.1635 | 0.1521 | 3.5001 |
| (−2,0.05) | 0.1756 | 0.1450 | 8.5013 | (−1.5,0.05) | 0.3117 | 0.4480 | 1.9562 |
| (−1,0.05) | 0.4049 | 0.5632 | 1.6550 | (−0.5,0.05) | 0.4776 | 0.6428 | 7.411 |
| (0,0.05) | 0.4993 | 0.6316 | 1.201 | (1,0.05) | 0.3802 | 0.4947 | 9.9430 |
| (1.5,0.05) | 0.2849 | 0.3694 | 1.9575 | (2,0.05) | 0.1988 | 0.2460 | 1.1975 |
| (2.5,0.05) | 0.1319 | 0.1673 | 1.3092 | (3,0.05) | 0.0847 | 0.1041 | 8.6351 |
| (3.5,0.05) | 0.0532 | 0.0712 | 4.4330 | (4,0.05) | 0.0329 | 0.0348 | 1.9847 |
| (4.5,0.05) | 0.0202 | 0.0176 | 8.2430 | (5,0.05) | 0.01239 | 0.0169 | 3.2491 |
7. Conclusions
Author Contributions
Funding
Data Availability Statement
Acknowledgments
Conflicts of Interest
References
- Boussinesq, J. Thorie des ondes et des remous qui se propagent le long d’un canal rectangulaire horizontal, en communiquant au liquide contenu dans ce canal des vitesses sensiblement pareilles de la surface au fond. J. Mathématiques Pures Appliquées 1872, 17, 55–108. [Google Scholar]
- Wazwaz, M. Construction of Soliton solutions and periodic Solutions of Boussinesq Equation by the Modified Decomposition Method. Chaos Solitons Fractals 2017, 12, 1549–1556. [Google Scholar] [CrossRef]
- Hirota, R. Direct methods in soliton theory. In Solitons; Bullogh, R.k., Caudrey, P.J., Eds.; Springer: Berlin, Germany, 1980. [Google Scholar]
- Hirota, R. Exact N-soliton solutions of the wave equation of long waves in shallow-water and in nonlinear lattices. J. Math. Phys. 1973, 14, 810–814. [Google Scholar] [CrossRef]
- Debnath, L. Nonlinear Partial Differential Equations for Scientists and Engineers; Birkhauser: Berlin, Germany, 1998. [Google Scholar]
- Khater, M.M.A.; Salama, S.A. Plenty of analytical and semi-analytical wave solutions of shallow water beneath gravity. J. Ocean Eng. Sci. 2022, 7, 237–243. [Google Scholar] [CrossRef]
- Jaradat, I.; Alquran, M. A variety of physical structures to the generalized equal-width equation derived from Wazwaz-Benjamin-Bona-Mahony model. J. Ocean Eng. Sci. 2022, 7, 244–247. [Google Scholar] [CrossRef]
- Khater, M.M.A.; Salama, S.A. Semi–analytical and numerical simulations of the modified Benjamin–Bona–Mahony model. J. Ocean Eng. Sci. 2022, 7, 264–271. [Google Scholar] [CrossRef]
- Khaliq, S.; Ullah, A.; Ahmad, S.; Akgül, A.; Yusuf, A.; Sulaiman, T.A. Some novel analytical solutions of a new extented (2+1)-dimensional Boussinesq equation using a novel method. J. Ocean Eng. Sci. 2022, in press. [Google Scholar] [CrossRef]
- Rahman, H.U.; Asjad, M.I.; Munawar, N.; Parvaneh, F.; Muhammad, T. Traveling wave solutions to the Boussinesq equation via Sardar sub-equation technique. AIMS Math. 2022, 7, 11134–11149. [Google Scholar] [CrossRef]
- Kaptsov, O.V. Construction of exact solutions of the Bousseniseq equation. J. Appl. Mech. Tech. Phys. 1998, 39, 389–392. [Google Scholar] [CrossRef]
- Andreev, V.K.; Kaptsov, O.V.; Pukhnachov, V.V.; Rodionov, A.A. Applications of Group-Theoretical Methods in Hydrodynamics; Kluwer Academic Publishers: Boston, Germany, 1998. [Google Scholar]
- Durur, H.; Tasbozan, O.; Kurt, A. New Analytical Solutions of Conformable Time Fractional Bad and Good Modified Boussinesq Equations. Appl. Math. Nonlinear Sci. 2020, 5, 447–454. [Google Scholar] [CrossRef]
- Manoranjan, S.; Ortega, T.; Sanz-Serna, J. Soliton and antisoliton interactions in the “good” Boussinesq equation. J. Math. Phys. 1988, 9, 29. [Google Scholar] [CrossRef]
- Alqahtani, R.T.; Ahmad, S.; Akgül, A. Mathematical analysis of biodegradation model under nonlocal operator in Caputo sense. Mathematics 2021, 9, 2787. [Google Scholar] [CrossRef]
- Ahmad, S.; Ullah, A.; Partohaghighi, M.; Saifullah, S.; Akgül, A.; Jarad, F. Oscillatory and complex behaviour of Caputo-Fabrizio fractional order HIV-1 infection model. AIMS Math. 2022, 7, 4778–4792. [Google Scholar] [CrossRef]
- Arefin, M.A.; Khatun, M.A.; Uddin, M.H.; Inc, M. Investigation of adequate closed form travelling wave solution to the space-time fractional non-linear evolution equations. J. Ocean Eng. Sci. 2022, 7, 292–303. [Google Scholar] [CrossRef]
- Akram, T.; Abbas, M.; Riaz, M.B.; Izani, A.I.; Ali, N.M. Development and analysis of new approximation of extended cubic B-spline to the non-linear time fractional Klein-Gordon equation. Fractal 2020, 2, 8. [Google Scholar]
- Xu, C.; Liu, Z.; Liao, M.; Yao, L. Theoretical analysis and computer simulations of a fractional order bank data model incorporating two unequal time delays. Expert Syst. Appl. 2022, 199, 116859. [Google Scholar] [CrossRef]
- Xu, C.; Aouiti, C.; Liu, Z.; Li, P.; Yao, L. Bifurcation Caused by Delay in a Fractional–Order Coupled Oregonator Model in Chemistry. MATCH Commun. Math. Comput. Chem. 2022, 88, 371–396. [Google Scholar] [CrossRef]
- Atangana, A. Fractal-fractional differentiation and integration: Connecting fractal calculus and fractional calculus to predict complex system. Chaos Solitons Fractals 2017, 102, 396–406. [Google Scholar] [CrossRef]
- Saifullah, S.; Ali, A.; Goufo, E.F.D. Investigation of complex behaviour of fractal fractional chaotic attractor with mittag-leffler Kernel. Chaos Soliton Fractals 2021, 152, 111332. [Google Scholar] [CrossRef]
- Zhang, L.; Ahmad, S.; Ullah, A.; Akgül, A.; Akgül, E.K. Analysis of Hidden Attractors of Non-Equilibrium Fractal Fractional Chaotic System with one Signum Function. Fractals 2022, 30, 2240139. [Google Scholar] [CrossRef]
- Xu, C.; Saifullah, S.; Ali, A. Theoretical and numerical aspects of Rubella disease model involving fractal fractional exponential decay kernel. Results Phys. 2022, 34, 105287. [Google Scholar] [CrossRef]
- Ahmad, S.; Ullah, A.; Akgül, A.; De la Sen, M. Study of HIV disease and its association with immune cells under nonsingular and nonlocal fractal-fractional operator. Complexity 2021, 2021, 1904067. [Google Scholar] [CrossRef]
- Saifullah, S.; Ali, A.; Shah, K.; Promsakon, C. Investigation of fractal fractional nonlinear Drinfeld–Sokolov–Wilson system with non-singular operators. Results Phys. 2022, 33, 105145. [Google Scholar] [CrossRef]
- Ullah, A.; Ahmad, S.; Inc, M. Fractal fractional analysis of modified KdV equation under three different kernels. J. Ocean Eng. Sci. 2022, in press. [Google Scholar]






Publisher’s Note: MDPI stays neutral with regard to jurisdictional claims in published maps and institutional affiliations. |
© 2022 by the authors. Licensee MDPI, Basel, Switzerland. This article is an open access article distributed under the terms and conditions of the Creative Commons Attribution (CC BY) license (https://creativecommons.org/licenses/by/4.0/).
Share and Cite
Sadiq, G.; Ali, A.; Ahmad, S.; Nonlaopon, K.; Akgül, A. Bright Soliton Behaviours of Fractal Fractional Nonlinear Good Boussinesq Equation with Nonsingular Kernels. Symmetry 2022, 14, 2113. https://doi.org/10.3390/sym14102113
Sadiq G, Ali A, Ahmad S, Nonlaopon K, Akgül A. Bright Soliton Behaviours of Fractal Fractional Nonlinear Good Boussinesq Equation with Nonsingular Kernels. Symmetry. 2022; 14(10):2113. https://doi.org/10.3390/sym14102113
Chicago/Turabian StyleSadiq, Gulaly, Amir Ali, Shabir Ahmad, Kamsing Nonlaopon, and Ali Akgül. 2022. "Bright Soliton Behaviours of Fractal Fractional Nonlinear Good Boussinesq Equation with Nonsingular Kernels" Symmetry 14, no. 10: 2113. https://doi.org/10.3390/sym14102113
APA StyleSadiq, G., Ali, A., Ahmad, S., Nonlaopon, K., & Akgül, A. (2022). Bright Soliton Behaviours of Fractal Fractional Nonlinear Good Boussinesq Equation with Nonsingular Kernels. Symmetry, 14(10), 2113. https://doi.org/10.3390/sym14102113

