The Precision of the Human Hand: Variability in Pinch Strength and Manual Dexterity
Abstract
1. Introduction
- (1)
- males will have significantly stronger pinch grip in both hands than females, but females will be more dexterous in both hands;
- (2)
- younger participants will be stronger and more dexterous than the older participants;
- (3)
- hand asymmetry will be found in both sexes, with the dominant hand being significantly stronger and more dexterous than the non-dominant hand (i.e., hand dominance), and right-handed will have stronger differences between the two hands compared to left-handed individuals;
- (4)
- frequently practiced manual activities will significantly increase either precision grip strength (i.e., for participants that engage in manual sports or occupations) or dexterity (i.e., for participants that play a musical instrument or engage in precision-based occupations) compared to those who do not frequently engage in these activities.
2. Materials and Methods
2.1. Study Design and Participants
2.2. Data Collection Procedure and Outcome Measurements
2.2.1. Questionnaire
2.2.2. Pinch Strength
2.2.3. Hand Measurements
2.2.4. Pegboard Test
2.3. Statistical Analyses
3. Results
3.1. Pinch Grip Strength
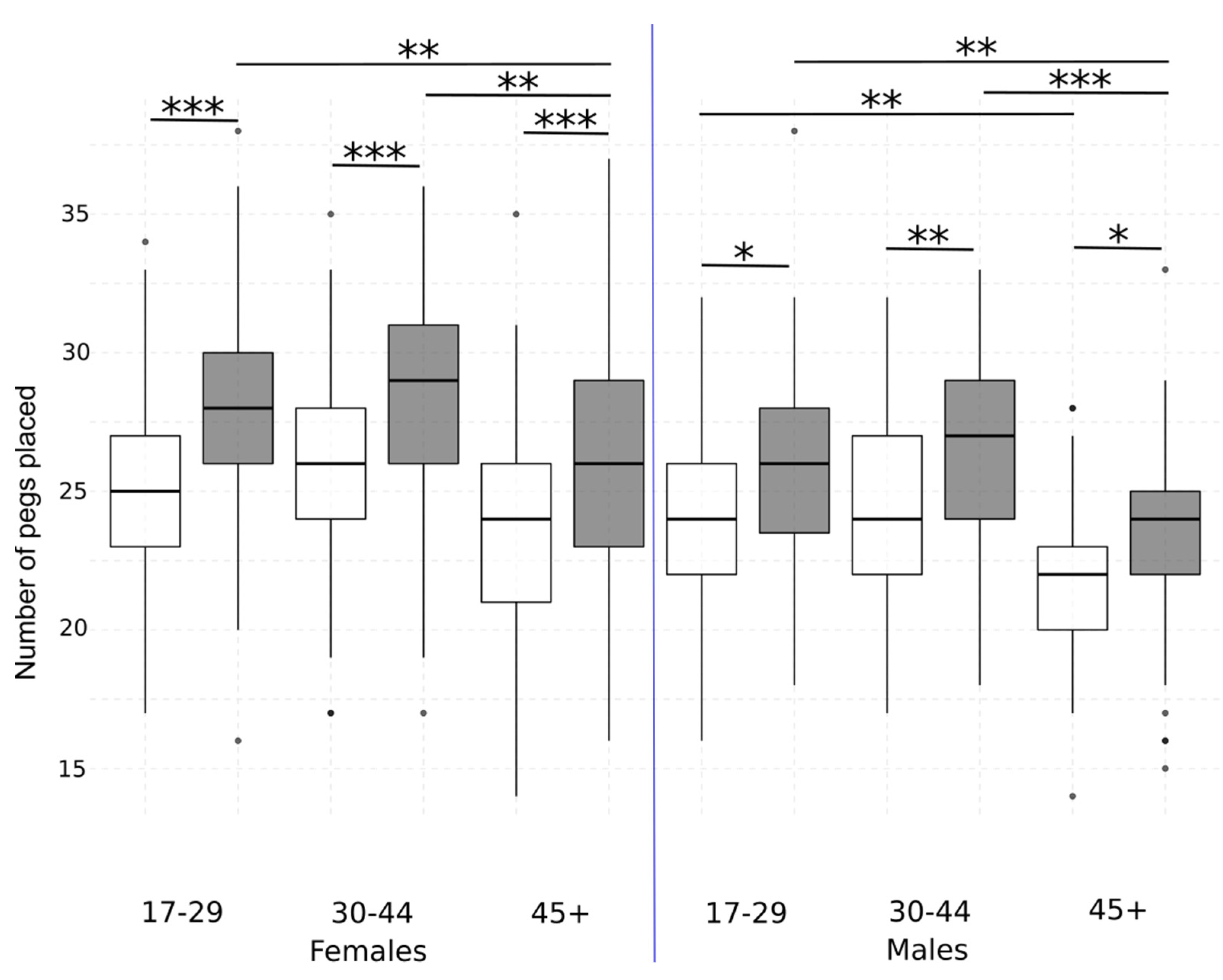
3.2. Pegboard Test
3.3. Correlation between Pinch Grip Strength and Pegboard Test
4. Discussion
Supplementary Materials
Author Contributions
Funding
Institutional Review Board Statement
Informed Consent Statement
Acknowledgments
Conflicts of Interest
References
- Marzke, M.W. Precision grips, hand morphology, and tools. Am. J. Phys. Anthropol. 1997, 102, 91–110. [Google Scholar] [CrossRef]
- Marzke, M.W. Tool making, hand morphology and fossil hominins. Philos. Trans. R. Soc. Lond. B Biol. Sci. 2013, 368, 20120414. [Google Scholar] [CrossRef] [PubMed]
- Almécija, S.; Smaers, J.B.; Jungers, W.L. The evolution of human and ape hand proportions. Nat. Comm. 2015, 6, 1–11. [Google Scholar] [CrossRef] [PubMed]
- Kivell, T.L. Evidence in hand: Recent discoveries and the early evolution of human manual manipulation. Philos. Trans. R. Soc. Lond. B Biol. Sci. 2015, 370, 20150105. [Google Scholar] [CrossRef]
- Greenfield, P.M. Language, tools and brain: The ontogeny and phylogeny of hierarchically organized sequential behavior. Behav. Brain Sci. 1991, 14, 531–595. [Google Scholar] [CrossRef]
- Napier, J.R. Evolution of the human hand. Proc. R. Instn. 1965, 40, 544–557. [Google Scholar]
- Marzke, M.W.; Wullstein, K.L.; Viegas, S.F. Evolution of the power (squeeze) grip and its morphological correlates in hominids. Am. J. Phys. Anthropol. 1992, 89, 283–298. [Google Scholar] [CrossRef] [PubMed]
- Bullock, I.M.; Zheng, J.Z.; De La Rosa, S.; Guertler, C.; Dollar, A.M. Grasp frequency and usage in daily household and machine shop tasks. IEEE Trans. Haptics 2013, 6, 296–308. [Google Scholar] [CrossRef]
- Vergara, M.; Sancho-Bru, J.L.; Gracia-Ibáñez, V.; Pérez-González, A. An introductory study of common grasps used by adults during performance of activities of daily living. J. Hand Ther. 2014, 27, 225–234. [Google Scholar] [CrossRef]
- Feix, T.; Romero, J.; Schmiedmayer, H.B.; Dollar, A.M.; Kragic, D. The grasp taxonomy of human grasp types. IEEE Trans. Hum. Mach. Syst. 2015, 46, 66–77. [Google Scholar] [CrossRef]
- Martin, J.A.; Ramsay, J.; Hughes, C.; Peters, D.M.; Edwards, M.G. Age and grip strength predict hand dexterity in adults. PLoS ONE 2015, 10, e0117598. [Google Scholar] [CrossRef] [PubMed]
- Gachette, R.E.; Lauwers, T. Grip & Pinch Strength in Relation to Anthropometric Data in Adults. J. Orthop. Res. Physiother. 2018, 4, 039. [Google Scholar]
- Mathiowetz, V.; Kashman, N. Grip and Pinch Strength: Normative data for adults. Arch. Phys. Med. Rehabil. 1985, 66, 69–74. [Google Scholar]
- Carmeli, E.; Patish, H.; Coleman, R. The Aging Hand. J. Gerontol. A Biol. Sci. Med. Sci. 2003, 58, 146–152. [Google Scholar] [CrossRef] [PubMed]
- Kornatz, K.W.; Christou, E.A.; Enoka, R.M. Practice reduces motor unit discharge variability in a hand muscle and improves manual dexterity in old adults. J. Appl. Physiol. 2005, 98, 2072–2080. [Google Scholar] [CrossRef]
- Zuo, K.J.; Olson, J.L. The evolution of functional hand replacement: From iron prostheses to hand transplantation. Plast. Surgery 2014, 22, 44–51. [Google Scholar] [CrossRef]
- Ng, P.K.; Saptari, A. A review of shape and size considerations in pinch grips. Theor. Issues Ergon. Sci. 2014, 15, 305–317. [Google Scholar] [CrossRef]
- Michimata, A.; Kondo, T.; Suzukamo, Y.; Chiba, M.; Izumi, S.-I. The Manual Function Test: Norms for 20- to 90-Year-Olds and Effects of Age, Gender, and Hand Dominance on Dexterity. Tohoku J. Exp. Med. 2008, 214, 257–267. [Google Scholar] [CrossRef]
- Maleki-Ghahfarokhi, A.; Dianat, I.; Feizi, H.; Asghari-Jafarabadi, M. Influences of gender, hand dominance, and anthropometric characteristics on different types of pinch strength: A partial least squares (PLS) approach. Appl. Ergon. 2019, 79, 9–16. [Google Scholar] [CrossRef] [PubMed]
- Michael, A.I.; Iyun, A.O.; Olawoye, O.A.; Ademola, S.A.; Nnabuko, R.E.; Oluwatosin, O.M. Normal values of key pinch strength in a healthy Nigerian population. Ann. Ib. Postgrad. 2015, 13, 84–88. [Google Scholar]
- Doğan, N. Hand Function According to Professions Evaluation. Master’s Thesis, Istanbul Science University, Health Sciences Institute, Istanbul, Turkey, 2012; 78p. [Google Scholar]
- Josty, I.C.; Tyler, M.P.H.; Shewell, P.C.; Roberts, A.H.N. Grip and pinch strength variations in different types of workers. J. Hand Surg. 1997, 22, 266–269. [Google Scholar] [CrossRef]
- Peters, M.; Servos, P.; Day, R. Marked sex differences on a fine motor skill task disappear when finger size is used as covariate. J. Appl. Soc. Psychol. 1990, 75, 87. [Google Scholar] [CrossRef] [PubMed]
- Mathiowetz, V.; Weber, K.; Kashman, N.; Volland, G. Adult Norms for the Nine Hole Peg Test of Finger Dexterity. Occup. Ther. J. Res. 1985, 5, 24–38. [Google Scholar] [CrossRef]
- Lindstrom-Hazel, D.K.; VanderVlies Veenstra, N. Examining the Purdue pegboard test for occupational therapy practice. Open J. Occup. Ther. 2015, 3, 5. [Google Scholar] [CrossRef]
- Tiffin, J. Purdue Pegboard: Examiner Manual; London House: Rosemont, IL, USA, 1968. [Google Scholar]
- Yeudall, L.T.; Fromm, D.; Reddon, J.R.; Stefanyk, W.O. Normative data stratified by age and sex for 12 neuropsychological tests. J. Clin. Psychol. 1986, 42, 918–946. [Google Scholar] [CrossRef]
- Sivagnanasunderam, M.; Gonzalez, D.A.; Bryden, P.J.; Young, G.; Forsyth, A.; Roy, E.A. Handedness throughout the lifespan: Cross-sectional view on sex differences as asymmetries change. Front. Psychol. 2015, 5, 1556. [Google Scholar] [CrossRef]
- Ding, H.; Solovieva, S.; Vehmas, T.; Takala, E.-P.; Leino-Arjas, P. Hand osteoarthritis and pinch grip strength among middle-aged female dentists and teachers. Scand. J. Rheumatol. 2010, 39, 84–87. [Google Scholar] [CrossRef] [PubMed]
- Dedeoglu, M.; Gafuroglu, U.; Yilmaz, O.; Bodur, H. The relationship between hand grip and pinch strengths and disease activity, articular damage, pain, and disability in patients with rheumatoid arthritis. Turk. J. Rheumatol. 2013, 28, 69–78. [Google Scholar] [CrossRef]
- Marzke, M.W.; Marzke, R.F. Evolution of the human hand: Approaches to acquiring, analysing and interpreting the anatomical evidence. J. Anat. 2000, 197, 121–140. [Google Scholar] [CrossRef]
- Vieluf, S.; Mahmoodi, J.; Godde, B.; Reuter, E.M.; Voelcker-Rehage, C. The influence of age and work-related expertise on fine motor control. GeroPsych J. Gerontopsychol. Geriatr. Psychiatry 2012, 25, 199. [Google Scholar] [CrossRef]
- Desai, M.; Shah, S. Evaluation of Dexterity and Eye Hand Co-ordination in Garment Industry Workers. J. Exerc. Sci. Physiother. 2020, 16, 40–46. [Google Scholar] [CrossRef]
- Denat, Y.; Kuzgun, H. The Manual Dexterity of Nurses and Factors that Affect It. Athens J. Health Med. Sci. 2020, 7, 145–156. [Google Scholar] [CrossRef]
- Soyupek, F.; Bolukbafil, N.; Yorganciolu, Z.; Gokolu, F. The effect of aerobic exercise on hand strength and dexterity of patients with coronary artery disease. Turk. J. Phys. Med. Rehabil. 2006, 52, 72–75. [Google Scholar]
- Mitchell, A.C.; Bowhay, A.; Pitts, J. Relationship between anthropometric characteristics of indoor rock climbers and top roped climbing performance. J. Strength Cond. Res. 2011, 25, S94–S95. [Google Scholar] [CrossRef]
- Zaggelidis, G. Maximal isometric handgrip strength (HGS) in Greek elite male judo and karate athletes. Sport Sci. Rev. 2016, 25, 320. [Google Scholar] [CrossRef]
- Sims, S.E.; Engel, L.; Hammert, W.C.; Elfar, J.C. Hand sensibility, strength, and laxity of high-level musicians compared to nonmusicians. J. Hand Surg. Am. 2015, 40, 1996–2002. [Google Scholar] [CrossRef] [PubMed][Green Version]
- Sobierajewicz, J.; Naskręcki, R.; Jaśkowski, W.; Van der Lubbe, R.H. Do musicians learn a fine sequential hand motor skill differently than non-musicians? PLoS ONE 2018, 13, e0207449. [Google Scholar] [CrossRef]
- Watson, A.H.D. What can studying musicians tell us about motor control of the hand? J. Anat. 2006, 208, 527–542. [Google Scholar] [CrossRef] [PubMed]
- Wagner, C.H. The pianist’s hand: Anthropometry and biomechanics. Ergonomics 1988, 31, 97–131. [Google Scholar] [CrossRef]
- Parlitz, D.; Peschel, T.; Altenmüller, E. Assessment of dynamic finger forces in pianists: Effects of training and expertise. J. Biomech. 1998, 31, 1063–1067. [Google Scholar] [CrossRef]
- Bardo, A.; Kivell, T.L.; Town, K.; Donati, G.; Ballieux, H.; Stamate, C.; Edginton, T.; Forrester, G.S. Get a grip: Variation in human hand grip strength and implications for human evolution. Symmetry 2021, 13, 1142. [Google Scholar] [CrossRef]
- Cardoso, H.F.V.; Severino, R.S.S. The chronology of epiphyseal union in the hand and foot from dry bone observations. Int. J. Osteoarchaeol. 2010, 20, 737–746. [Google Scholar] [CrossRef]
- Cunningham, C.; Scheuer, L.; Black, S. Developmental Juvenile Osteology, 2nd ed.; Academic Press: Cambridge, MA, USA, 2016. [Google Scholar]
- Jansen, C.W.S.; Simper, V.K.; Stuart Jr, H.G.; Pinkerton, H.M. Measurement of maximum voluntary pinch strength: Effects of forearm position and outcome score. J. Hand Ther. 2003, 16, 326–336. [Google Scholar] [CrossRef]
- Rohlf, F.J. tpsDig2 Software Version 2.31. The State University of New York at Stony Brook, USA. 2017. Available online: http://www.sbmorphometrics.org/soft-dataacq.html (accessed on 10 February 2021).
- Chen, X.; Li, Z.; Wang, Y.; Liu, J. Effect of fruit and hand characteristics on thumb–index finger power-grasp stability during manual fruit sorting. Comput. Electron. Agric. 2019, 157, 479–487. [Google Scholar] [CrossRef]
- Ishak, N.-I.; Hemy, N.; Franklin, D. Estimation of sex from hand and handprint dimensions in a Western Australian population. Forensic Sci. Int. 2012, 221, 154.e1–154.e6. [Google Scholar] [CrossRef] [PubMed]
- Guralnik, J.M.; Fried, L.P.; Simonsick, E.M.; Lafferty, M.E.; Kasper, J.D. The Women’s Health and Aging Study: Health and Social Characteristics of Older Women with Disability; National Institutes of Health, National Institute on Aging: Bethesda, MD, USA, 1995; 206p. [Google Scholar]
- Forrester, G.S.; Davis, R.; Malatesta, G.; Todd, B.K. Evolutionary motor biases and cognition in children with and without autism. Sci. Rep. 2020, 10, 1–10. [Google Scholar] [CrossRef]
- R Core Team. R: A Language and Environment for Statistical Computing; R Foundation for Statistical Computing: Vienna, Austria, 2020; Available online: https://www.R-project.org/ (accessed on 14 July 2021).
- Puh, U. Age-related and sex-related differences in hand and pinch grip strength in adults. Int. J. Rehabil. Res. 2010, 33, 4–11. [Google Scholar] [CrossRef]
- Imrhan, S.N. Trends in finger pinch strength in children, adults, and the elderly. Hum. Factors 1989, 31, 689–701. [Google Scholar] [CrossRef]
- Alba, D.M.; Moyà-Solà, S.; Köhler, M. Morphological affinities of the Australopithecus afarensis hand on the basis of manual proportions and relative thumb length. J. Hum. Evol. 2003, 44, 225–254. [Google Scholar] [CrossRef]
- Su, C.Y.; Chien, T.H.; Cheng, K.F.; Su, C.J. A study of pinch strength in normal Taiwanese adults. Kaohsiung J. Med. Sci. 1995, 11, 69–78. [Google Scholar]
- Courtney, A.J. Hand anthropometry of Hong Kong Chinese females compared to other ethnic groups. Ergonomics 1984, 27, 1169–1180. [Google Scholar] [CrossRef] [PubMed]
- Lazenby, R.; Smashnuk, A. Osteometric variation in the Inuit second metacarpal: A test of Allen’s Rule. Int. J. Osteoarchaeol. 1999, 9, 182–188. [Google Scholar] [CrossRef]
- Betti, L.; Lycett, S.J.; von Cramon-Taubadel, N.; Pearson, O.M. Are human hands and feet affected by climate? A test of A llen’s rule. Am. J. Phys. Anthropol. 2015, 158, 132–140. [Google Scholar] [CrossRef] [PubMed]
- Marmon, A.R.; Pascoe, M.A.; Schwartz, R.S.; Enoka, R.M. Associations among strength, steadiness, and hand function across the adult life span. Med. Sci. Sports Exerc. 2011, 43, 560–567. [Google Scholar] [CrossRef] [PubMed]
- Dayanidhi, S.; Valero-Cuevas, F.J. Dexterous manipulation is poorer at older ages and is dissociated from decline of hand strength. J. Gerontol. A Biol. Med. Sci. 2014, 69, 1139–1145. [Google Scholar] [CrossRef] [PubMed][Green Version]
- Kawabata, H.; Demura, S.; Kitabayashi, T. Superior pinch strength in the dominant versus nondominant hand. Sport Sci. Health 2013, 9, 7–11. [Google Scholar] [CrossRef]
- Shim, J.H.; Roh, S.Y.; Kim, J.S.; Lee, D.C.; Ki, S.H.; Yang, J.W.; Jeon, M.K.; Lee, S.M. Normative measurements of grip and pinch strengths of 21st century Korean population. Arch. Plast. Surg. 2013, 40, 52. [Google Scholar] [CrossRef] [PubMed]
- Mathiowetz, V. Reliability and validity of grip and pinch strength measurements. Crit. Rev. Phys. Rehabil. Med. 1991, 2, 201–212. [Google Scholar]
- Härkönen, R.; Harju, R.; Alaranta, H. Accuracy of the Jamar dynamometer. J. Hand Ther. 1993, 6, 259–262. [Google Scholar] [CrossRef]
- Halpern, C.A.; Fernandez, J.E. The effect of wrist and arm postures on peak pinch strength. J. Hum. Ergol. 1996, 25, 115–130. [Google Scholar]
- Innes, E.V. Handgrip strength testing: A review of the literature. Aust. Occup. Ther. J. 1999, 46, 120–140. [Google Scholar] [CrossRef]
- Chilima, D.M.; Ismail, S.J. Nutrition and handgrip strength of older adults in rural Malawi. Public Health Nutr. 2001, 4, 11–17. [Google Scholar] [CrossRef]
- Hodges, L.; Adams, J. Grip strength and dexterity: A study of variance between right-and left-handed healthy individuals. Br. J. Hand Ther. 2007, 12, 15–21. [Google Scholar] [CrossRef]
- Annett, M. Left, Right, Hand and Brain: The Right Shift Theory; LEA Publishers: London, UK, 1985; 416p. [Google Scholar]
- Porac, C.; Coren, S. Lateral Preferences and Human Behavior; Springer: New York, NY, USA, 1981; 283p. [Google Scholar]
- McManus, I.C. The history and geography of human handedness. In Language Lateralization and Psychosis; Sommer, I.E.C., Kahn, R.S., Eds.; Cambridge University Press: Cambridge, UK, 2009; pp. 37–57. [Google Scholar]
- Llaurens, V.; Raymond, M.; Faurie, C. Why are some people left-handed? An evolutionary perspective Philos. Trans. R. Soc. Lond. B Biol. Sci. 2009, 364, 881–894. [Google Scholar] [CrossRef] [PubMed]
- Faurie, C.; Schiefenhövel, W.; le Bomin, S.; Billiard, S.; Raymond, M. Variation in the frequency of left-handedness in traditional societies. Curr. Anthropol. 2005, 46, 142–147. [Google Scholar] [CrossRef]
- Vigouroux, L.; Domalain, M.; Berton, E. Effect of object width on muscle and joint forces during thumb–index finger grasping. J. Appl. Biomech. 2011, 27, 173–180. [Google Scholar] [CrossRef] [PubMed]
- Barry, A.J.; Murray, W.M.; Kamper, D.G. Development of a dynamic index finger and thumb model to study impairment. J. Biomech. 2018, 77, 206–210. [Google Scholar] [CrossRef] [PubMed]
- Chen, X.; Li, Z.; Wang, Y.; Liu, J.; Zhao, D. Investigation on the cooperative grasping capabilities of human thumb and index finger. Front. Neurorobot. 2019, 13, 92. [Google Scholar] [CrossRef] [PubMed]
- Karakostis, F.A.; Haeufle, D.; Anastopoulou, I.; Moraitis, K.; Hotz, G.; Tourloukis, V.; Harvati, K. Biomechanics of the human thumb and the evolution of dexterity. Curr. Biol. 2021, 31, 1317–1325. [Google Scholar] [CrossRef]
- Niewoehner, W.A.; Bergstrom, A.; Eichele, D.; Zuroff, M.; Clark, J.T. Manual dexterity in Neanderthals. Nature 2003, 422, 395. [Google Scholar] [CrossRef] [PubMed]
- Pickering, R.; Dirks, P.H.; Jinnah, Z.; De Ruiter, D.J.; Churchill, S.E.; Herries, A.I.; Berger, L.R. Australopithecus sediba at 1.977 Ma and implications for the origins of the genus Homo. Science 2011, 333, 1421–1423. [Google Scholar] [CrossRef] [PubMed]
- Feix, T.; Kivell, T.L.; Pouydebat, E.; Dollar, A.M. Estimating thumb–index finger precision grip and manipulation potential in extant and fossil primates. J. R. Soc. Interface. 2015, 12, 20150176. [Google Scholar] [CrossRef] [PubMed]
- Kivell, T.L.; Kibii, J.M.; Churchill, S.E.; Schmid, P.; Berger, L.R. Australopithecus sediba hand demonstrates mosaic evolution of locomotor and manipulative abilities. Science 2011, 333, 1411–1417. [Google Scholar] [CrossRef] [PubMed]
- Neufuss, J.; Robbins, M.M.; Baeumer, J.; Humle, T.; Kivell, T.L. Manual skills for food processing by mountain gorillas (Gorilla beringei beringei) in Bwindi Impenetrable National Park, Uganda. Biol. J. Linn. Soc. 2019, 127, 543–562. [Google Scholar] [CrossRef]
- Bardo, A.; Borel, A.; Meunier, H.; Guéry, J.P.; Pouydebat, E. Behavioral and functional strategies during tool use tasks in bonobos. Am. J. Phys. Anthropol. 2016, 161, 125–140. [Google Scholar] [CrossRef] [PubMed]
- Pouydebat, E.; Reghem, E.; Borel, A.; Gorce, P. Diversity of grip in adults and young humans and chimpanzees (Pan troglodytes). Behav. Brain Res. 2011, 218, 21–28. [Google Scholar] [CrossRef]
- Christel, M. Hands of Primates; Springer: Vienna, Austria, 1993; pp. 91–108. [Google Scholar]
- Fragaszy, D.M.; Crast, J. The Evolution of the Primate Hand; Springer: New York, NY, USA, 2016; pp. 313–344. [Google Scholar]
- Gonzalez Sanchez, V. Development of a Dexterity Assessment Method. Doctoral Dissertation, University of Sheffield, Sheffield, UK, 2016; 172p. [Google Scholar]
- Frederiksen, H.; Hjelmborg, J.; Mortensen, J.; Mcgue, M.; Vaupel, J.W.; Christensen, K. Age trajectories of grip strength: Cross-sectional and longitudinal data among 8342 Danes aged 46 to 102. Ann. Epidemiol. 2006, 16, 554–562. [Google Scholar] [CrossRef] [PubMed]









| Age (Years) | Self-Reported Handedness | Total Participants | Office Work | Precision Manual Work | Forceful Manual Work | Playing a Musical Instrument | Practicing Sport | ||||||
|---|---|---|---|---|---|---|---|---|---|---|---|---|---|
| M | F | M | F | M | F | M | F | M | F | M | F | ||
| 17–29 | R | 79 | 113 | 65 | 94 | 6 | 11 | 8 | 8 | 28 | 44 | 67 | 66 |
| L | 8 | 11 | 6 | 9 | 2 | 1 | 0 | 1 | 5 | 5 | 4 | 6 | |
| 30–44 | R | 62 | 101 | 48 | 86 | 3 | 12 | 11 | 3 | 23 | 30 | 45 | 48 |
| L | 7 | 9 | 6 | 7 | 0 | 1 | 1 | 1 | 2 | 0 | 3 | 3 | |
| 45+ | R | 57 | 95 | 48 | 83 | 6 | 10 | 3 | 2 | 12 | 22 | 36 | 51 |
| L | 6 | 8 | 6 | 8 | 0 | 0 | 0 | 0 | 4 | 2 | 3 | 2 | |
| Total | 219 | 337 | 179 | 287 | 17 | 35 | 23 | 15 | 74 | 103 | 158 | 176 | |
Publisher’s Note: MDPI stays neutral with regard to jurisdictional claims in published maps and institutional affiliations. |
© 2022 by the authors. Licensee MDPI, Basel, Switzerland. This article is an open access article distributed under the terms and conditions of the Creative Commons Attribution (CC BY) license (https://creativecommons.org/licenses/by/4.0/).
Share and Cite
Bardo, A.; Town, K.; Kivell, T.L.; Donati, G.; Ballieux, H.; Stamate, C.; Edginton, T.; Forrester, G.S. The Precision of the Human Hand: Variability in Pinch Strength and Manual Dexterity. Symmetry 2022, 14, 71. https://doi.org/10.3390/sym14010071
Bardo A, Town K, Kivell TL, Donati G, Ballieux H, Stamate C, Edginton T, Forrester GS. The Precision of the Human Hand: Variability in Pinch Strength and Manual Dexterity. Symmetry. 2022; 14(1):71. https://doi.org/10.3390/sym14010071
Chicago/Turabian StyleBardo, Ameline, Katie Town, Tracy L. Kivell, Georgina Donati, Haiko Ballieux, Cosmin Stamate, Trudi Edginton, and Gillian S. Forrester. 2022. "The Precision of the Human Hand: Variability in Pinch Strength and Manual Dexterity" Symmetry 14, no. 1: 71. https://doi.org/10.3390/sym14010071
APA StyleBardo, A., Town, K., Kivell, T. L., Donati, G., Ballieux, H., Stamate, C., Edginton, T., & Forrester, G. S. (2022). The Precision of the Human Hand: Variability in Pinch Strength and Manual Dexterity. Symmetry, 14(1), 71. https://doi.org/10.3390/sym14010071

