Neutrino Mass Spectrum: Present Indication and Future Prospect
Abstract
:1. The Neutrino: An Elusive Misfit
2. Present Landscape of the Neutrino Mass Spectrum
2.1. Neutrino Mass from the Neutrino Oscillation
2.2. Neutrino Mass Constraint from Beta Decay and Cosmology
2.3. A Reconstructive Neutrino Mass Matrix
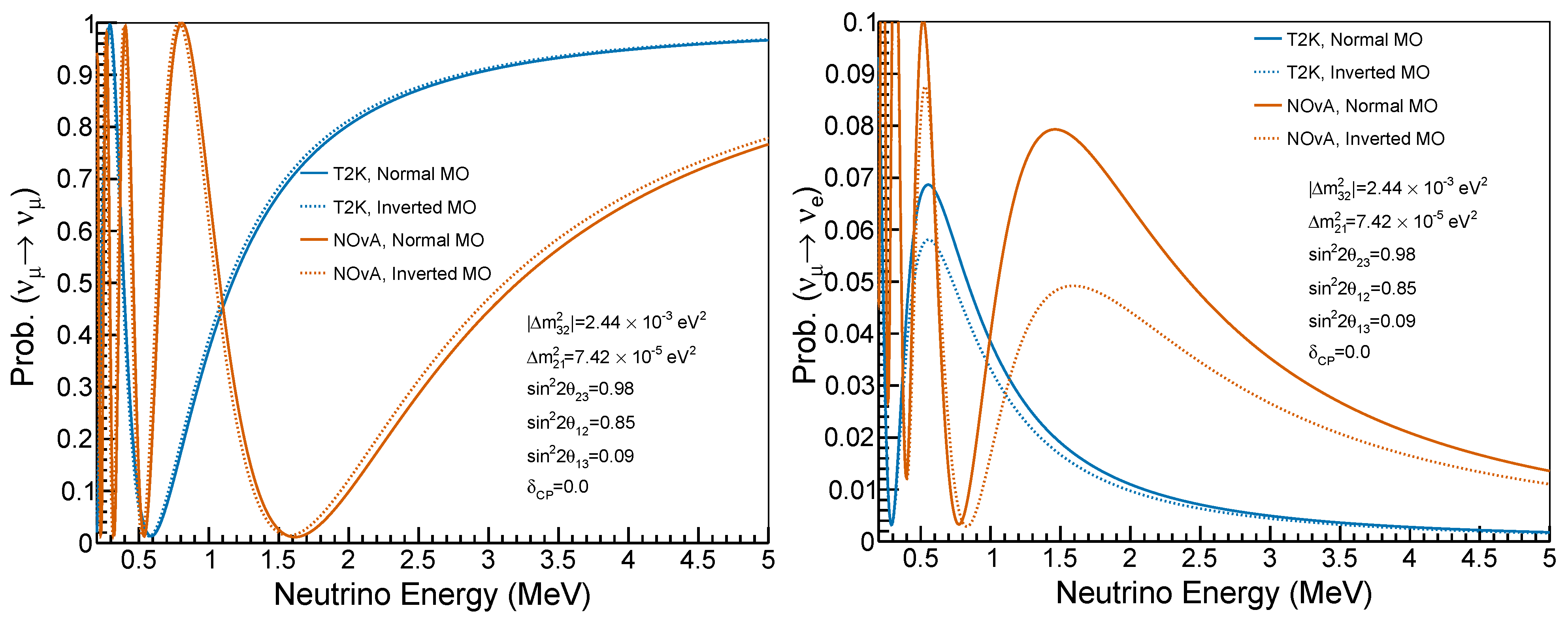
3. Prospect of Neutrino Mass Ordering Determination
- Cosmology constraint will support ;
- The effective neutrino mass from the beta-decay will be found to be ;
- The process will be experimentally observed, and the effective Majorana neutrino mass will be found to be .
4. Discussion
5. Conclusions
Author Contributions
Funding
Acknowledgments
Conflicts of Interest
Abbreviations
| A-LBL | Accelerator-based long-baseline (experiment) |
| BAO | Baryon Acoustics Oscillation |
| CKM | Cabibbo–Kobayashi–Maskawa (matrix) |
| CP | Charge-conjugation and Parity (symmetry) |
| CPT | Charge-conjugation, Parity, and Time reversal (symmetry) |
| FN | Froggatt–Nielsen (mechanism) |
| MO | Mass ordering |
| MSW | Mikheyev–Smirnov–Wolfenstein (effect) |
| PMNS | Pontecorvo–Maki–Nakagawa–Sakata (matrix) |
| R-MBL | Reactor-based medium-baseline (experiment) |
| R-SBL | Reactor-based short-baseline (experiment) |
| SM | Standard Model |
References
- Pauli, W. Dear radioactive ladies and gentlemen. Phys. Today 1978, 31N9, 27. [Google Scholar]
- Reines, F.; Cowan, C.L. The neutrino. Nature 1956, 178, 446–449. [Google Scholar] [CrossRef]
- Goldhaber, M.; Grodzins, L.; Sunyar, A.W. Helicity of Neutrinos. Phys. Rev. 1958, 109, 1015–1017. [Google Scholar] [CrossRef] [Green Version]
- Particle Data Group; Zyla, P.A.; Barnett, R.M.; Beringer, J.; Dahl, O.; Dwyer, D.A.; Groom, D.E.; Lin, C.-J.; Lugovsky, K.S.; Pianori, E.; et al. Review of Particle Physics. Prog. Theor. Exp. Phys. 2020, 2020, 083C01. [Google Scholar] [CrossRef]
- De Salas, P.F.; Gariazzo, S.; Mena, O.; Ternes, C.A.; Tórtola, M. Neutrino Mass Ordering from Oscillations and Beyond: 2018 Status and Future Prospects. Front. Astron. Space Sci. 2018, 5, 36. [Google Scholar] [CrossRef] [Green Version]
- Esteban, I.; Gonzalez-Garcia, M.; Hernandez-Cabezudo, A.; Maltoni, M.; Schwetz, T. Global analysis of three-flavour neutrino oscillations: Synergies and tensions in the determination of θ23, δCP, and the mass ordering. J. High Energy Phys. 2019, 01, 106. [Google Scholar] [CrossRef]
- Esteban, I.; Gonzalez-Garcia, M.; Maltoni, M.; Schwetz, T.; Zhou, A. The fate of hints: Updated global analysis of three-flavor neutrino oscillations. J. High Energy Phys. 2020, 9, 178. [Google Scholar] [CrossRef]
- Esteban, I.; Gonzalez-Garcia, M.; Maltoni, M.; Schwetz, T.; Zhou, A. NuFIT 5.0. 2020. Available online: http://www.nu-fit.org/?q=node/228 (accessed on 1 November 2021).
- Wolfenstein, L. Neutrino Oscillations in Matter. Phys. Rev. D 1978, 17, 2369–2374. [Google Scholar] [CrossRef]
- Mikheyev, S.P.; Smirnov, A.Y. Resonance Amplification of Oscillations in Matter and Spectroscopy of Solar Neutrinos. Sov. J. Nucl. Phys. 1985, 42, 913–917. [Google Scholar]
- Mikheev, S.P.; Smirnov, A.Y. Resonant amplification of neutrino oscillations in matter and solar neutrino spectroscopy. Nuovo Cimento C 1986, 9, 17–26. [Google Scholar] [CrossRef]
- Bellini, G.; Benziger, J.; Bick, D.; Bonetti, S.; Bonfini, G.; Bravo, D.; Buizza Avanzini, M.; Caccianiga, B.; Cadonati, L.; Calaprice, F.; et al. First evidence of pep solar neutrinos by direct detection in Borexino. Phys. Rev. Lett. 2012, 108, 051302. [Google Scholar] [CrossRef] [Green Version]
- Dunne, P. Latest Neutrino Oscillation Results from T2K; Zenodo: Geneva, Switzerland, 2020. [Google Scholar] [CrossRef]
- Himmel, A. New Oscillation Results from the NOvA Experiment; Zenodo: Geneva, Switzerland, 2020. [Google Scholar] [CrossRef]
- Nakajima, Y. Recent Results and Future Prospects from Super-Kamiokande; Zenodo: Geneva, Switzerland, 2020. [Google Scholar]
- Kelly, K.J.; Machado, P.A.N.; Parke, S.J.; Perez-Gonzalez, Y.F.; Funchal, R.Z. Neutrino mass ordering in light of recent data. Phys. Rev. D 2021, 103, 013004. [Google Scholar] [CrossRef]
- Barger, V.D.; Whisnant, K.; Pakvasa, S.; Phillips, R.J.N. Matter Effects on Three-Neutrino Oscillations. Phys. Rev. D 1980, 22, 2718. [Google Scholar] [CrossRef]
- Suekane, F. Neutrino Oscillations: A Practical Guide to Basics and Applications; Lecture Notes in Physics; Springer: Tokyo, Japan, 2015; Volume 898. [Google Scholar] [CrossRef]
- Abe, K.; Abgrall, N.; Aihara, H.; Ajima, Y.; Albert, J.; Allan, D.; Amaudruz, P.A.; Andreopoulos, C.; Andrieu, B.; Anerella, M.; et al. The T2K experiment. Nucl. Instrum. Methods Phys. Res. Sect. A Accel. Spectrom. Detect. Assoc. Equip. 2011, 659, 106–135. [Google Scholar] [CrossRef]
- Ayres, D.; Drake, G.; Goodman, M.; Grudzinski, J.; Guarino, V.; Talaga, R.; Zhao, A.; Stamoulis, P.; Stiliaris, E.; Tzanakos, G.; et al. The NOvA Technical Design Report; Technical Report; Fermi National Accelerator Lab. (FNAL): Batavia, IL, USA, 2007. [Google Scholar]
- Adam, T.; An, F.; An, G.; An, Q.; Anfimov, N.; Antonelli, V.; Baccolo, G.; Baldoncini, M.; Baussan, E.; Bellato, M.; et al. JUNO Conceptual Design Report. arXiv 2015, arXiv:physics.ins-det/1508.07166. [Google Scholar]
- Petcov, S.; Piai, M. The LMA MSW solution of the solar neutrino problem, inverted neutrino mass hierarchy and reactor neutrino experiments. Phys. Lett. B 2002, 533, 94–106. [Google Scholar] [CrossRef] [Green Version]
- Abusleme, A.; Adam, T.; Ahmad, S.; Ahmed, R.; Aiello, S.; Akram, M.; An, F.; An, G.; An, Q.; Andronico, G.; et al. Calibration Strategy of the JUNO Experiment. J. High Energy Phys. 2021, 3, 4. [Google Scholar] [CrossRef]
- Cao, S.; Nath, A.; Ngoc, T.V.; Francis, N.K.; Van, N.H.; Quyen, P.T. Physics potentials with a combined sensitivity of T2K-II, NOνA extension and JUNO. Phys. Rev. D 2021, 103, 112010. [Google Scholar] [CrossRef]
- Curran, S.; Angus, J.; Cockcroft, A. Beta spectrum of tritium. Nature 1948, 162, 302–303. [Google Scholar] [CrossRef] [PubMed]
- Aker, M.; Beglarian, A.; Behrens, J.; Berlev, A.; Besserer, U.; Bieringer, B.; Block, F.; Bornschein, B.; Bornschein, L.; Böttcher, M.; et al. First direct neutrino-mass measurement with sub-eV sensitivity. arXiv 2021, arXiv:hep-ex/2105.08533. [Google Scholar]
- de Gouvea, A.; Jenkins, J. The Physical Range of Majorana Neutrino Mixing Parameters. Phys. Rev. D 2008, 78, 053003. [Google Scholar] [CrossRef] [Green Version]
- Gando, A.; Gando, Y.; Hachiya, T.; Hayashi, A.; Hayashida, S.; Ikeda, H.; Inoue, K.; Ishidoshiro, K.; Karino, Y.; Koga, M.; et al. Search for Majorana Neutrinos near the Inverted Mass Hierarchy Region with KamLAND-Zen. Phys. Rev. Lett. 2016, 117, 082503. [Google Scholar] [CrossRef] [Green Version]
- Wong, Y.Y. Neutrino mass in cosmology: Status and prospects. Annu. Rev. Nucl. Part. Sci. 2011, 61, 69–98. [Google Scholar] [CrossRef] [Green Version]
- Aghanim, N.; Akrami, Y.; Ashdown, M.; Aumont, J.; Baccigalupi, C.; Ballardini, M.; Banday, A.J.; Barreiro, R.B.; Bartolo, N.; Basak, S.; et al. Planck 2018 results. VI. Cosmological parameters. Astron. Astrophys. 2020, 641, A6. [Google Scholar] [CrossRef] [Green Version]
- Mohapatra, R.N.; Senjanovic, G. Neutrino Masses and Mixings in Gauge Models with Spontaneous Parity Violation. Phys. Rev. D 1981, 23, 165. [Google Scholar] [CrossRef]
- Gell-Mann, M.; Ramond, P.; Slansky, R. Complex Spinors and Unified Theories. Conf. Proc. C 1979, 790927, 315–321. [Google Scholar]
- Yanagida, T. Horizontal gauge symmetry and masses of neutrinos. Conf. Proc. C 1979, 7902131, 95–99. [Google Scholar]
- Mohapatra, R.N. Theories of neutrino masses and mixings. arXiv 1999, arXiv:hep-ph/9910365. [Google Scholar]
- Ashtari Esfahani, A.; Asner, D.M.; Böser, S.; Cervantes, R.; Claessens, C.; de Viveiros, L.; Doe, P.J.; Doeleman, S.; Fernandes, J.L.; Fertl, M.; et al. Determining the neutrino mass with cyclotron radiation emission spectroscopy—Project 8. J. Phys. G 2017, 44, 054004. [Google Scholar] [CrossRef]
- Shirai, J. Results and future plans for the KamLAND-Zen experiment. J. Phys. Conf. Ser. 2017, 888, 012031. [Google Scholar] [CrossRef] [Green Version]
- Giuliani, A.; Gomez Cadenas, J.J.; Pascoli, S.; Previtali, E.; Saakyan, R.; Schaeffner, K.; Schoenert, S. Double Beta Decay APPEC Committee Report. arXiv 2019, arXiv:hep-ex/1910.04688. [Google Scholar]
- Brinckmann, T.; Hooper, D.C.; Archidiacono, M.; Lesgourgues, J.; Sprenger, T. The promising future of a robust cosmological neutrino mass measurement. J. Cosmol. Astropart. Phys. 2019, 1, 059. [Google Scholar] [CrossRef] [Green Version]
- Alion, T.; Back, J.J.; Bashyal, A.; Bass, M.; Bishai, M.; Cherdack, D.; Diwan, M.; Djurcic, Z.; Evans, J.; Fernandez-Martinez, E.; et al. Experiment Simulation Configurations Used in DUNE CDR. arXiv 2016, arXiv:physics.ins-det/1606.09550. [Google Scholar]
- Abe, K.; Abe, K.; Aihara, H.; Aimi, A.; Akutsu, R.; Andreopoulos, C.; Anghel, I.; Anthony, L.H.V.; Antonova, M.; Ashida, Y.; et al. Hyper-Kamiokande Design Report. arXiv 2018, arXiv:physics.ins-det/1805.04163. [Google Scholar]
- Froggatt, C.D.; Nielsen, H.B. Hierarchy of quark masses, Cabibbo angles and CP violation. Nucl. Phys. B 1979, 147, 277–298. [Google Scholar] [CrossRef] [Green Version]
- Nir, Y. Flavour physics and CP violation. arXiv 2016, arXiv:1605.00433. [Google Scholar]
- Hall, L.J.; Murayama, H.; Weiner, N. Neutrino mass anarchy. Phys. Rev. Lett. 2000, 84, 2572–2575. [Google Scholar] [CrossRef] [Green Version]
- Haba, N.; Murayama, H. Anarchy and hierarchy. Phys. Rev. D 2001, 63, 053010. [Google Scholar] [CrossRef] [Green Version]
- de Gouvea, A.; Murayama, H. Statistical test of anarchy. Phys. Lett. B 2003, 573, 94–100. [Google Scholar] [CrossRef] [Green Version]










Publisher’s Note: MDPI stays neutral with regard to jurisdictional claims in published maps and institutional affiliations. |
© 2022 by the authors. Licensee MDPI, Basel, Switzerland. This article is an open access article distributed under the terms and conditions of the Creative Commons Attribution (CC BY) license (https://creativecommons.org/licenses/by/4.0/).
Share and Cite
Cao, S.; Hong Van, N.T.; Ngoc, T.V.; Quyen, P.T. Neutrino Mass Spectrum: Present Indication and Future Prospect. Symmetry 2022, 14, 56. https://doi.org/10.3390/sym14010056
Cao S, Hong Van NT, Ngoc TV, Quyen PT. Neutrino Mass Spectrum: Present Indication and Future Prospect. Symmetry. 2022; 14(1):56. https://doi.org/10.3390/sym14010056
Chicago/Turabian StyleCao, Son, Nguyen T. Hong Van, Tran V. Ngoc, and Phan T. Quyen. 2022. "Neutrino Mass Spectrum: Present Indication and Future Prospect" Symmetry 14, no. 1: 56. https://doi.org/10.3390/sym14010056
APA StyleCao, S., Hong Van, N. T., Ngoc, T. V., & Quyen, P. T. (2022). Neutrino Mass Spectrum: Present Indication and Future Prospect. Symmetry, 14(1), 56. https://doi.org/10.3390/sym14010056

