Gravitational Decoupling in Higher Order Theories
Abstract
1. Introduction
2. Minimal Geometric Deformation in General Relativity
3. Einstein–Weyl Gravity
4. Gravitational Decoupling in Einstein–Weyl Gravity
5. Homotopy Analysis Method
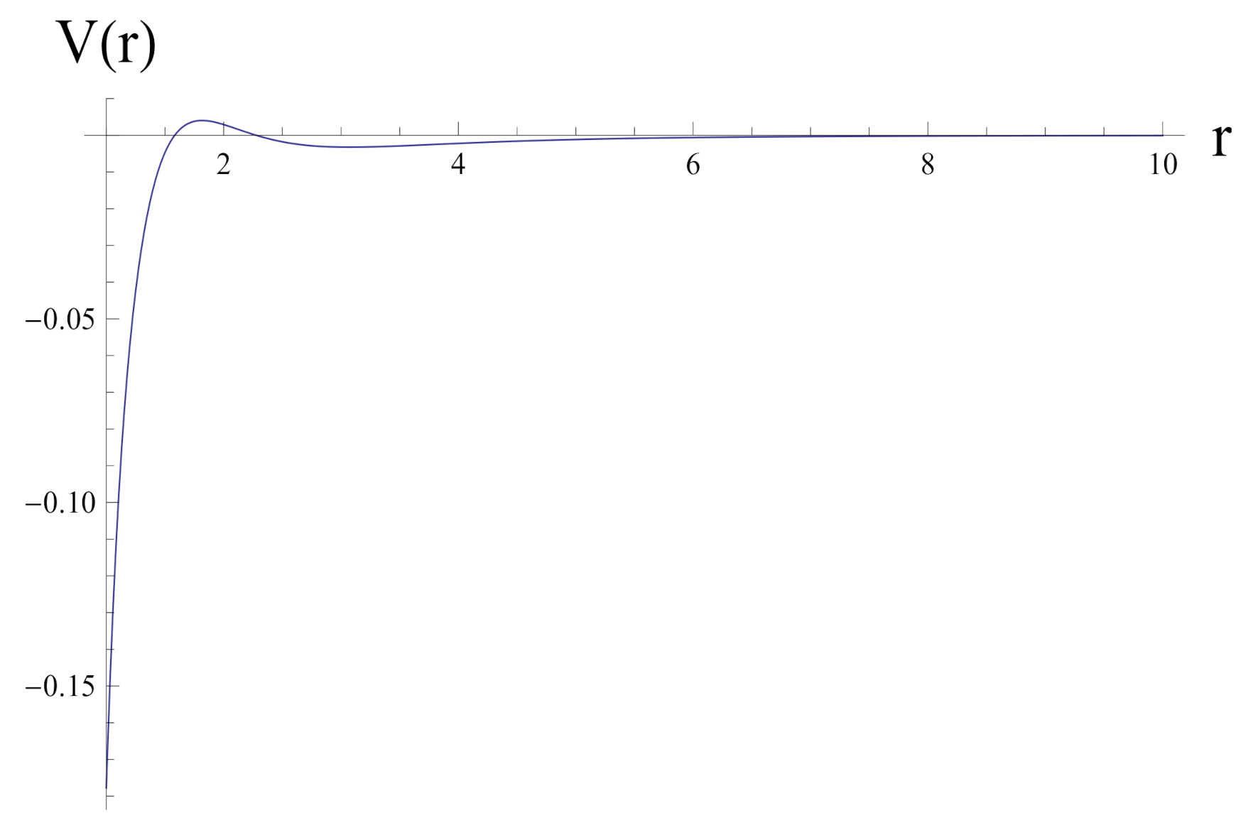
6. Hairy Black Hole in Einstein–Weyl Gravity
7. Discussion and Conclusions
Funding
Institutional Review Board Statement
Informed Consent Statement
Data Availability Statement
Conflicts of Interest
Abbreviations
| MGD | Minimal Geometric Deformation |
| HAM | Homotopy Analysis Method |
| GR | General Relativity |
Appendix A
References
- Lake, K. All static spherically symmetric perfect-fluid solutions of Einstein’s equations. Phys. Rev. D 2003, 67, 104015. [Google Scholar] [CrossRef]
- Boonserm, B.; Visser, M.; Weinfurtner, S. Generating perfect fluid spheres in general relativity. Phys. Rev. D 2005, 71, 124037. [Google Scholar] [CrossRef]
- Contopoulos, I.G.; Esposito, F.P.; Kleidis, K.; Papadopoulos, D.B.; Witten, L. Generating solutions to the Einstein field equations. Int. J. Mod. Phys. D 2016, 25, 1650022. [Google Scholar] [CrossRef]
- Sultana, J. Generating time dependent conformally coupled Einstein-scalar solutions. Gen. Relativ. Grav. 2015, 47, 73. [Google Scholar] [CrossRef]
- Stephani, H.; Kramer, D.; MacCallum, M.; Hoenselaers, C.; Herlt, E. Exact Solutions to Einstein’s Field Equations. In Exact Solutions of Einstein’s Field Equations, 2nd ed.; Cambridge University Press: Cambridge, UK, 2003. [Google Scholar]
- Randall, L.; Sundrum, R. Large Mass Hierarchy from a Small Extra Dimension. Phys. Rev. Lett. 1999, 83, 3370. [Google Scholar] [CrossRef]
- Randall, L.; Sundrum, R. An Alternative to Compactification. Phys. Rev. Lett. 1999, 83, 4690. [Google Scholar] [CrossRef]
- Ovalle, J. Searching Exact Solutions for Compact Stars in Braneworld: A conjecture. Mod. Phys. Lett. A 2008, 23, 3247. [Google Scholar] [CrossRef]
- Ovalle, J. Braneworld Stars: Anisotropy Minimally Projected Onto the Brane. In Gravitation and Astrophysics (ICGA9); Luo, J., Ed.; World Scientific: Singapore, 2010; pp. 173–182. [Google Scholar]
- Casadio, R.; Ovalle, J.; de Rocha, R. The minimal geometric deformation approach extended. Class. Quantum Grav. 2015, 32, 215020. [Google Scholar] [CrossRef]
- Ovalle, J. Extending the geometric deformation: New black hole solutions. Int. J. Mod. Phys. Conf. Ser. 2016, 41, 1660132. [Google Scholar] [CrossRef]
- Ovalle, J.; Linares, F. Tolman IV solution in the Randall-Sundrum braneworld. Phys. Rev. D 2013, 88, 104026. [Google Scholar] [CrossRef]
- Ovalle, J.; Gergely, L.A.; Casadio, R. Brane-world stars with solid crust and vacuum exterior. Class. Quantum Grav. 2015, 32, 045015. [Google Scholar] [CrossRef]
- da Rocha, R. Black hole acoustics in the minimal geometric deformation of a de Laval nozzle. Eur. Phys. J. 2017, C77, 355. [Google Scholar] [CrossRef]
- Contreras, E.; Bargueño, P. Minimal geometric deformation decoupling in 2+1 dimensional space–times. Eur. Phys. J. 2018, C78, 558. [Google Scholar] [CrossRef]
- Contreras, E.; Bargueño, P. Minimal Geometric Deformation in asymptotically (A-)dS space-times and the isotropic sector for a polytropic black hole. Eur. Phys. J. 2018, C78, 985. [Google Scholar] [CrossRef]
- Panotopoulos, G.; Rincòn, A. Minimal geometric deformation in a cloud of strings. Eur. Phys. J. 2018, C78, 851. [Google Scholar] [CrossRef]
- Rincòn, A.; Gabbanelli, L.; Contreras, E.; Tello-Ortiz, F. Minimal geometric deformation in a Reissner Nordström background. Eur. Phys. J. 2019, C79, 873. [Google Scholar] [CrossRef]
- da Rocha, R. MGD Dirac Stars. Symmetry 2020, 12, 508. [Google Scholar] [CrossRef]
- da Rocha, R. Minimal geometric deformation of Yang-Mills-Dirac stellar configurations. Phys. Rev. D 2020, 102, 024011. [Google Scholar] [CrossRef]
- Tello-Ortiz, F.; Rincòn, A.; Bhar, P.; Gomez-Leyton, Y. Durgapal IV model considering the minimal geometric deformation approach. Chin. Phys. C 2020, 44, 105102. [Google Scholar] [CrossRef]
- Vacaru, S.I. Decoupling of Field Equations in Einstein and Modified Gravity. J. Phys. Conf. Ser. 2013, 453, 012021. [Google Scholar] [CrossRef]
- Maurya, S.K.; Errehymy, A.; Singh, N.K.; Tello-Ortiz, F.; Daoud, M. Gravitational decoupling minimal geometric deformation model in modified f(R,T) gravity theory. Phys. Dark Univ. 2020, 30, 100640. [Google Scholar] [CrossRef]
- Sharif, M.; Saba, S. Gravitational decoupled Durgapal-Fuloria anisotropic solutions in modified Gauss-Bonnet gravity. Chin. J. Phys. 2020, 63, 348. [Google Scholar] [CrossRef]
- Sharif, M.; Saba, S. Extended gravitational decoupling approach in f(G) gravity. Int. J. Mod. Phys. D 2020, 29, 2050041. [Google Scholar] [CrossRef]
- Maurya, S.K.; Tello-Ortiz, F. Decoupling gravitational sources by MGD approach in Rastall gravity. Phys. Dark Univ. 2020, 29, 100577. [Google Scholar] [CrossRef]
- Ovalle, J.; Casadio, R.; de Rocha, R.; Sotomayor, A.; Stuchlik, Z. Einstein-Klein-Gordon system by gravitational decoupling. Europhys. Lett. 2018, 124, 20004. [Google Scholar] [CrossRef]
- Ovalle, J.; Sotomayor, A. A simple method to generate exact physically acceptable anisotropic solutions in general relativity. Eur. Phys. J. Plus 2018, 133, 428. [Google Scholar] [CrossRef]
- Stelle, K.S. Renormalization of higher-derivative quantum gravity. Phys. Rev. D 1977, 16, 953. [Google Scholar] [CrossRef]
- Smilga, A.V. Supersymmetric field theory with benign ghosts. J. Phys. A 2014, 47, 052001. [Google Scholar] [CrossRef]
- Lü, H.; Perkins, A.; Pope, C.N.; Stelle, K.S. Black Holes in Higher Derivative Gravity. Phys. Rev. Lett. 2015, 114, 171601. [Google Scholar] [CrossRef]
- Lü, H.; Perkins, A.; Pope, C.N.; Stelle, K.S. Spherically symmetric solutions in higher-derivative gravity. Phys. Rev. D 2015, 92, 124019. [Google Scholar] [CrossRef]
- Nelson, W. Static solutions for fourth order gravity. Phys. Rev. D 2010, 82, 104026. [Google Scholar] [CrossRef]
- Liao, S.J. On the Proposed Homotopy Analysis Techniques for Nonlinear Problems and Its Application. Ph.D. Dissertation, Shanghai Jiao Tong University, Shanghai, China, 1992. [Google Scholar]
- Ovalle, J. Decoupling gravitational sources in general relativity: From perfect to anisotropic fluids. Phys. Rev. D 2017, 95, 104019. [Google Scholar] [CrossRef]
- Kokkotas, K.; Konoplya, R.A.; Zhidenko, A. Non-Schwarzschild black-hole metric in four dimensional higher derivative gravity: Analytical approximation. Phys. Rev. D 2017, 96, 064007. [Google Scholar] [CrossRef]
- Hermann, M.; Saravi, M. Nonlinear Ordinary Differential Equations: Analytical Approximations and Numerical Methods; Springer: New Delhi, India, 2016. [Google Scholar]
- Liao, S.J. Beyond Perturbation: Introduction to the Homotopy Analysis Method; Chapman & Hall/CRC Press: Boca Raton, FL, USA, 2003. [Google Scholar]
- Liao, S.J. An explicit, totally analytic approximate solution for Blasius’ viscous flow problems. Int. J. Nonlinear Mech. 1999, 34, 759. [Google Scholar] [CrossRef]
- Liao, S.J. On the homotopy analysis method for nonlinear problems. Appl. Math. Comput. 2004, 147, 499. [Google Scholar] [CrossRef]
- Liao, S.J. A General Approach to Obtain Series Solutions of Nonlinear Differential Equations. Stud. Appl. Math. 2007, 119, 297. [Google Scholar] [CrossRef]
- Liao, S.J. Notes on the homotopy analysis method: Some definitions and theorems. Commun. Nonlinear Sci. Numer. Simul. 2009, 14, 983. [Google Scholar] [CrossRef]
- Gorder, R.A.V.; Vajravelu, K. Analytic and numerical solutions to the Lane–Emden equation. Phys. Lett. A 2008, 372, 6060. [Google Scholar] [CrossRef]
- Abbanbandy, S. Soliton solutions for the Fitzhugh–Nagumo equation with the homotopy analysis method. Appl. Math. Model. 2008, 32, 2706. [Google Scholar] [CrossRef]
- Sajiad, M.; Hayat, T. Comparison of HAM and HPM methods in nonlinear heat conduction and convection equations. Nonlinear Anal. Real World Appl. 2008, 9, 2296. [Google Scholar] [CrossRef]
- Chen, Y.M.; Liu, J.K. A study of homotopy analysis method for limit cycle of van der Pol equation. Commun. Nonlinear Sci. Numer. Simul. 2009, 14, 1861. [Google Scholar] [CrossRef]
- Jafari, H.; Seifi, S. Homotopy analysis method for solving linear and nonlinear fractional diffusion-wave equation. Commun. Nonlinear Sci. Numer. Simul. 2009, 14, 2006. [Google Scholar] [CrossRef]
- Alomari, A.K.; Noorani, M.S.M.; Nazar, R. Explicit series solutions of some linear and nonlinear Schrodinger equations via the homotopy analysis method. Commun. Nonlinear Sci. Numer. Simul. 2009, 14, 1196. [Google Scholar] [CrossRef]
- Domairry, G.; Fazeli, M. Homotopy analysis method to determine the fin efficiency of convective straight fins with temperature-dependent thermal conductivity. Commun. Nonlinear Sci. Numer. Simul. 2009, 14, 489. [Google Scholar] [CrossRef]
- Bataineh, A.S.; Noorani, M.S.M.; Hashim, I. Approximate analytical solutions of systems of PDEs by homotopy analysis method. Comput. Math. Appl. 2008, 55, 2913. [Google Scholar] [CrossRef]
- Yabushita, K.; Yamashita, M.; Tsuboi, K. An analytic solution of projectile motion with the quadratic resistance law using the homotopy analysis method. Phys. A Math. Theor. 2007, 40, 8403. [Google Scholar] [CrossRef]
- Bataineh, A.S.; Noorani, M.S.M.; Hashim, I. Solving systems of ODEs by homotopy analysis method. Commun. Nonlinear Sci. Num. Simul. 2008, 13, 2060. [Google Scholar] [CrossRef]
- Turkyilmazoglu, M. Approximate analytical solution of the nonlinear system of differential equations having asymptotically stable equilibrium. Filomat 2017, 31, 2633. [Google Scholar] [CrossRef]
- Gorder, R.A. On the utility of the homotopy analysis method for non-analytic and global solutions to nonlinear differential equations. Numer. Algor. 2017, 76, 151. [Google Scholar] [CrossRef][Green Version]
- Hassan, H.N.; El-Tawil, M.A. A new technique of using homotopy analysis method for solving high-order nonlinear differential equations. Math. Meth. Appl. Sci. 2011, 34, 728. [Google Scholar] [CrossRef]
- Gorder, R.A.V.; Vajravelu, K. On the selection of auxiliary functions, operators, and convergence control parameters in the application of the Homotopy Analysis Method to nonlinear differential equations: A general approach. Commun. Nonlinear Sci. Numer. Simulat. 2009, 14, 4078. [Google Scholar] [CrossRef]
- Shan, Y.; Chaolu, T. A method to select the initial guess solution, auxiliary linear operator and set of basic functions of homotopy analysis method. In Proceedings of the 2010 International Conference on Intelligent Computing and Integrated Systems, Guilin, China, 22–24 October 2010. [Google Scholar] [CrossRef]
- Sultana, J. Obtaining analytical approximations to black hole solutions in higher-derivative gravity using the homotopy analysis method. Eur. Phys. J. Plus 2019, 134, 111. [Google Scholar] [CrossRef]
- Ovalle, J.; Casadio, R.; Contreras, E.; Sotomayor, A. Hairy black holes by gravitational decoupling. Phys. Dark Univ. 2021, 31, 100744. [Google Scholar] [CrossRef]
- Sultana, J. Hairy black holes in Einstein–Weyl gravity. Phys. Rev. D 2020, 101, 084027. [Google Scholar] [CrossRef]
- de Rham, C.; Gabadadze, G. Generalization of the Fierz-Pauli action. Phys. Rev. D 2010, 82, 044020. [Google Scholar] [CrossRef]
- de Rham, C.; Gabadadze, G.; Tolley, A.J. Resummation of Massive Gravity. Phys. Rev. Lett. 2011, 106, 231101. [Google Scholar] [CrossRef]
- Ghosh, S.G.; Tannukij, L.; Wongjun, P. A class of black holes in dRGT massive gravity and their thermodynamical properties. Eur. Phys. J. C 2016, 76, 119. [Google Scholar] [CrossRef]
- Kodama, H.; Arraut, I. Stability of the Schwarzschild—De Sitter black hole in the dRGT massive gravity theory. Prog. Theor. Exp. Phys. 2014, 2014, 023E02. [Google Scholar] [CrossRef]
- Langlois, D.; Naruko, A. Cosmological solutions of massive gravity on de Sitter. Class. Quantum Grav. 2012, 29, 202001. [Google Scholar] [CrossRef]
- Panpanich, S.; Burikham, P. Fitting rotation curves of galaxies by de Rham-Gabadadze-Tolley massive gravity. Phys. Rev. D 2018, 98, 064008. [Google Scholar]
- Gregoris, D. A critical assessment of black hole solutions with a linear term in their redshift function. Eur. Phys. J. C 2021, 81, 684. [Google Scholar] [CrossRef]
- Mannheim, P.D.; Kazanas, D. Exact vacuum solution to conformal Weyl gravity and galactic rotation curves. Astrophys. J. 1989, 342, 635. [Google Scholar] [CrossRef]
- Saffari, R.; Rahvar, S. f(R) gravity: From the Pioneer anomaly to cosmic acceleration. Phys. Rev. D 2008, 77, 104028. [Google Scholar] [CrossRef]
- Kiselev, V.V. Quintessence and black holes. Class. Quantum Grav. 2003, 20, 1187. [Google Scholar] [CrossRef]






Publisher’s Note: MDPI stays neutral with regard to jurisdictional claims in published maps and institutional affiliations. |
© 2021 by the author. Licensee MDPI, Basel, Switzerland. This article is an open access article distributed under the terms and conditions of the Creative Commons Attribution (CC BY) license (https://creativecommons.org/licenses/by/4.0/).
Share and Cite
Sultana, J. Gravitational Decoupling in Higher Order Theories. Symmetry 2021, 13, 1598. https://doi.org/10.3390/sym13091598
Sultana J. Gravitational Decoupling in Higher Order Theories. Symmetry. 2021; 13(9):1598. https://doi.org/10.3390/sym13091598
Chicago/Turabian StyleSultana, Joseph. 2021. "Gravitational Decoupling in Higher Order Theories" Symmetry 13, no. 9: 1598. https://doi.org/10.3390/sym13091598
APA StyleSultana, J. (2021). Gravitational Decoupling in Higher Order Theories. Symmetry, 13(9), 1598. https://doi.org/10.3390/sym13091598

