The Search for μ+ → e+γ with 10–14 Sensitivity: The Upgrade of the MEG Experiment
Abstract
:1. Introduction
2. Experimental Components and Methods
2.1. The Experimental Approach
2.2. The Muon Beam and the Target
2.3. The Constant Bending Radius Magnet
2.4. The Detector
2.4.1. The Cylindrical Drift Chamber (CDCH)
2.4.2. The Pixelated Timing Counter (pTC)
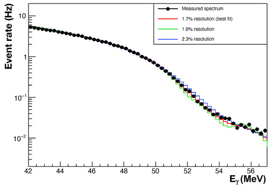
2.4.3. The Liquid Xenon Calorimeter (LXe)
2.4.4. The Radiative Decay Counter (RDC)
2.5. The Trigger and Data Acquisition System
3. Results
4. Discussion
- The DAQ time is 20 weeks per year with 84% live time for three years;
- The muon stopping rate is /s;
- The PDE of VUV-MPPCs is at a constant value of 6%;
- The upstream RDC is not included.
Author Contributions
Funding
Institutional Review Board Statement
Informed Consent Statement
Data Availability Statement
Acknowledgments
Conflicts of Interest
References
- Calibbi, L.; Signorelli, G. Charged Lepton Flavor Violation: An experimental and theoretical introduction. Riv. Del Nuovo C. 2018, 41, 71–174. [Google Scholar] [CrossRef]
- Abi, B.; Albahri, T.; Al-Kilani, S.; Allspach, D.; Alonzi, L.P.; Anastasi, A.; Anisenkov, A.; Azfar, F.; Badgley, K.; Baeßler, S.; et al. Measurement of the Positive Muon Anomalous Magnetic Moment to 0.46 ppm. Phys. Rev. Lett. 2021, 126, 141801. [Google Scholar] [CrossRef] [PubMed]
- Calibbi, L.; López-Ibáñez, M.L.; Melis, A.; Vives, O. Implications of the Muon g-2 result on the flavour structure of the lepton mass matrix. arXiv 2021, arXiv:2104.03296. [Google Scholar]
- Lindner, M.; Platscher, M.; Queiroz, F. A call for new physics: The muon anomalous magnetic moment and lepton flavor violation. Phys. Rep. 2018, 731, 1–82. [Google Scholar] [CrossRef] [Green Version]
- Baldini, A.M.; Bao, Y.; Baracchini, E.; Bemporad, C.; Berg, F.; Biasotti, M.; Boca, G.; Cascella, M.; Cattaneo, P.W.; Cavoto, G.; et al. Search for the lepton flavour violating decay μ+→e+γ with the full dataset of the MEG experiment-MEG Collaboration. Eur. Phys. J. C 2016, 76, 434. [Google Scholar] [CrossRef] [Green Version]
- Kinsho, M.; Ikegami, M.; Kawamura, N.; Kobayashi, H.; Matsumoto, H.; Mibe, T.; Miyake, Y.; Mihara, S.; Nishiguchi, H.; Ohomori, C.; et al. Proposal of an Experimental Search for μ−→e− Conversion in Nuclear Field at Sensitivity of 10−14 with Pulsed Proton Beam from RCS. 2010. Available online: https://j-parc.jp/researcher/Hadron/en/pac_1101/pdf/KEK_J-PARC-PAC2010-13.pdf (accessed on 17 August 2021).
- Abramishvili, R.; Adamov, G.; Akhmetshin, R.R.; Allin, A.; Angélique, J.C.; Anishchik, V.; Aoki, M.; Aznabayev, D.; Bagaturia, I.; Ban, G.; et al. (COMET collaboration) COMET Phase-I Technical Design Report. Prog. Theor. Exp. Phys. 2020, 2020, 033C01. [Google Scholar] [CrossRef] [Green Version]
- Bertl, W.; Engfer, R.; Hermes, E.A.; Kurz, G.; Kozlowski, T.; Kuth, J.; Otter, G.; Rosenbaum, F.; Ryskulov, N.M.; van der Schaaf, A.; et al. (SINDRUM II Collaboration). A search for μ−→e− conversion in muonic gold. Eur. Phys. J. C 2006, 47, 337–346. [Google Scholar] [CrossRef]
- Abrams, R.; Alezander, D.; Ambrosio, G.; Andreev, N.; Ankenbrandt, C.M.; Asner, D.M.; Arnold, D.; Artikov, A.; Barnes, E.; Bartoszek, L.; et al. (Mu2e Collaboration). Mu2e Conceptual Design Report. arXiv 2012, arXiv:1211.7019. [Google Scholar]
- Arndt, K.; Augustin, H.; Baesso, P.; Berger, N.; Berg, F.; Betancourt, C.; Bortoletto, D.; Bravar, A.; Briggl, K.; vom Bruch, D.; et al. Technical design of the phase I Mu3e experiment. arXiv 2021, arXiv:2009.11690. [Google Scholar]
- Bellgardt, U.; Otter, G.; Eichler, R.; Felawka, L.; Niebuhr, C.; Walter, H.K.; Bertl, W.; Lordong, N.; Martino, J.; Egli, S.; et al. Search for the decay μ+→e+e+e−. Nucl. Phys. B 1988, 299, 1–6. [Google Scholar] [CrossRef]
- Kou, E.; Urquijo, P.; Altmannshofer, W.; Beaujean, F.; Bell, G.; Beneke, M.; Bigi, I.I.; Bishara, F.; Blanke, M.; Bobeth, C.; et al. The Belle II Physics Book. Prog. Theor. Exp. Phys. 2019, 2019, 123C01. [Google Scholar] [CrossRef]
- Zhou, H.; Zhang, R.Y.; Han, L.; Ma, W.G.; Guo, L.; Chen, C. Searching for τ→μγ lepton-flavor-violating decay at super Charm-Tau factory. Eur. Phys. J. C 2016, 76, 421. [Google Scholar] [CrossRef] [Green Version]
- Baldini, A.M.; Baracchini, E.; Bemporad, C.; Berg, F.; Biasotti, M.; Boca, G.; Cattaneo, P.W.; Cavoto, G.; Cei, F.; Chiappini, M.; et al. (MEG II Collaboration). The design of the MEG II experiment. Eur. Phys. J. C 2018, 78, 380. [Google Scholar] [CrossRef]
- Adam, J.; Bai, X.; Baldini, A.M.; Baracchini, E.; Bemporad, C.; Boca, G.; Cattaneo, P.W.; Cavoto, G.; Cei, F.; Cerri, C.; et al. The MEG detector for μ+→e+γ decay search. Eur. Phys. J. C 2013, 73, 2365. [Google Scholar] [CrossRef] [Green Version]
- Palo, D.; Hildebrandt, M.; Hofer, A.; Kyle, W.; Lad, D.; Libeiro, T.; Molzon, W. Precise Photographic Monitoring of MEG II Thin-film Muon Stopping Target Position and Shape. Nucl. Instrum. Methods Phys. Res. Sect. A 2019, 944, 162511. [Google Scholar] [CrossRef] [Green Version]
- Cavoto, G.; Chiarello, G.; Hildebrandt, M.; Hofer, A.; Ieki, K.; Meucci, M.; Milana, S.; Pettinacci, V.; Renga, F.; Voena, C. A photogrammetric method for target monitoring inside the MEG II detector. Rev. Sci. Instrum. 2021, 92, 043707. [Google Scholar] [CrossRef] [PubMed]
- Baldini, A.M.; Baracchini, E.; Cavoto, G.; Cascella, M.; Cei, F.; Chiappini, M.; Chiarello, G.; Chiri, C.; Dussoni, S.; Galli, L.; et al. Single-hit resolution measurement with MEG II drift chamber prototypes. J. Instrum. 2016, 11, P07011. [Google Scholar] [CrossRef]
- Garfield++ – Simulation of Gaseous Detectors. Available online: https://garfieldpp.web.cern.ch/garfieldpp/ (accessed on 17 August 2021).
- Ansys® Electronic Desktop 2019. Available online: https://www.ansys.com/ (accessed on 17 August 2021).
- ISEG EHS 8630p-305F. Available online: http://www.iseg-hv.com (accessed on 17 August 2021).
- Baldini, A.M.; Baracchini, E.; Cavoto, G.; Cei, F.; Chiappini, M.; Chiarello, G.; Chiri, C.; Francesconi, M.; Galli, L.; Grancagnolo, F.; et al. Gas Distribution and Monitoring for the Drift Chamber of the MEG-II Experiment. J. Instrum. 2018, 13, P06018. [Google Scholar] [CrossRef] [Green Version]
- Boca, G.; Cattaneo, P.W.; De Gerone, M.; Gatti, F.; Nakao, M.; Nishimura, M.; Ootani, W.; Rossella, M.; Uchiyama, Y.; Usami, M.; et al. Timing resolution of a plastic scintillator counter read out by radiation damaged SiPMs connected in series. Nucl. Instrum. Methods Phys. Res. Sect. A 2021, 999, 165173. [Google Scholar] [CrossRef]
- Boca, G.; Cattaneo, P.W.; De Gerone, M.; Francesconi, M.; Galli, L.; Gatti, F.; Koga, J.; Nakao, M.; Nishimura, M.; Ootani, W.; et al. The laser-based time calibration system for the MEG II pixelated Timing Counter. Nucl. Instrum. Methods Phys. Res. Sect. A 2019, 947, 162672. [Google Scholar] [CrossRef] [Green Version]
- Ieki, K.; Iwamoto, T.; Kaneko, D.; Kobayashi, S.; Matsuzawa, N.; Mori, T.; Ogawa, S.; Onda, R.; Ootani, W.; Sawada, R.; et al. Large-area MPPC with enhanced VUV sensitivity for liquid xenon scintillation detector. Nucl. Instrum. Methods Phys. Res. Sect. A 2019, 925, 148–155. [Google Scholar] [CrossRef] [Green Version]
- Galli, L.; Baldini, A.M.; Cei, F.; Chiappini, M.; Francesconi, M.; Grassi, M.; Hartmann, U.; Meucci, M.; Morsani, F.; Nicolò, D.; et al. WaveDAQ: An highly integrated trigger and data acquisition system. Nucl. Instrum. Methods Phys. Res. Sect. A 2019, 936, 399–400. [Google Scholar] [CrossRef]
- Adam, J.; Bai, X.; Baldini, A.; Baracchini, E.; Bemporad, C.; Boca, G.; Cattaneo, P.W.; Cavoto, G.; Cei, F.; Cerri, C.; et al. Calibration and monitoring of the MEG experiment by a proton beam from a Cockcroft–Walton accelerator. Nucl. Instrum. Methods Phys. Res. Sect. A 2011, 641, 19–32. [Google Scholar] [CrossRef]




| MEG | 380 keV/c | 9.4 mrad | 2.4%/1.7% | 5 mm | 122 ps | 30% | 63% | ||
| MEG II design | 130 keV/c | 5.3 mrad | 1.1%/1.0% | 2.4 mm | 84 ps | 70% | 69% | ||
| MEG II updated | 100 keV/c | 6.7 mrad | 1.7%/1.7% | 2.4 mm | 70 ps | 65% | 69% |
Publisher’s Note: MDPI stays neutral with regard to jurisdictional claims in published maps and institutional affiliations. |
© 2021 by the authors. Licensee MDPI, Basel, Switzerland. This article is an open access article distributed under the terms and conditions of the Creative Commons Attribution (CC BY) license (https://creativecommons.org/licenses/by/4.0/).
Share and Cite
Baldini, A.M.; Baranov, V.; Biasotti, M.; Boca, G.; Cattaneo, P.W.; Cavoto, G.; Cei, F.; Chiappini, M.; Chiarello, G.; Corvaglia, A.; et al. The Search for μ+ → e+γ with 10–14 Sensitivity: The Upgrade of the MEG Experiment. Symmetry 2021, 13, 1591. https://doi.org/10.3390/sym13091591
Baldini AM, Baranov V, Biasotti M, Boca G, Cattaneo PW, Cavoto G, Cei F, Chiappini M, Chiarello G, Corvaglia A, et al. The Search for μ+ → e+γ with 10–14 Sensitivity: The Upgrade of the MEG Experiment. Symmetry. 2021; 13(9):1591. https://doi.org/10.3390/sym13091591
Chicago/Turabian StyleBaldini, Alessandro M., Vladimir Baranov, Michele Biasotti, Gianluigi Boca, Paolo W. Cattaneo, Gianluca Cavoto, Fabrizio Cei, Marco Chiappini, Gianluigi Chiarello, Alessandro Corvaglia, and et al. 2021. "The Search for μ+ → e+γ with 10–14 Sensitivity: The Upgrade of the MEG Experiment" Symmetry 13, no. 9: 1591. https://doi.org/10.3390/sym13091591
APA StyleBaldini, A. M., Baranov, V., Biasotti, M., Boca, G., Cattaneo, P. W., Cavoto, G., Cei, F., Chiappini, M., Chiarello, G., Corvaglia, A., Cuna, F., dal Maso, G., de Bari, A., De Gerone, M., Francesconi, M., Galli, L., Gallucci, G., Gatti, F., Grancagnolo, F., ... Yudin, Y. V. (2021). The Search for μ+ → e+γ with 10–14 Sensitivity: The Upgrade of the MEG Experiment. Symmetry, 13(9), 1591. https://doi.org/10.3390/sym13091591

