Acyl(imidoyl)ketenes: Reactive Bidentate Oxa/Aza-Dienes for Organic Synthesis
Abstract
1. Introduction
2. Immediate Transformations of Acyl(imidoyl)ketenes via Intramolecular Reactions
2.1. Intramolecular Cyclization of Acyl(imidoyl)ketenes to Quinoline-4(1H)-Ones
2.2. Intramolecular Cyclization of Acyl(imidoyl)ketenes to Furo[3,2-c]isoquinoline-2-Ones and 4-Aminofuran-2-Ones
2.3. Intramolecular Cyclization of Acyl(imidoyl)ketenes to Furo[3,2-b]quinoxalines
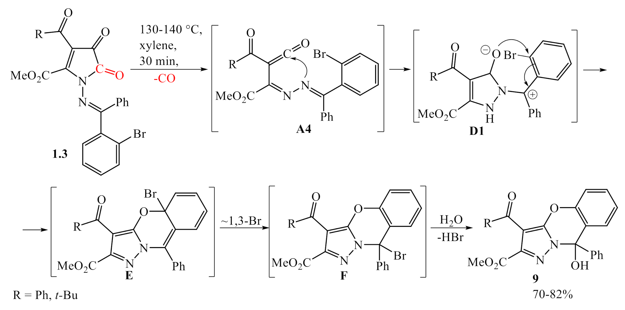
2.4. Intramolecular Cyclization of Acyl(imidoyl)ketenes to Benzo[e]pyrazolo[5,1-b][1,3]oxazines
2.5. Intramolecular Cyclization of Acyl(imidoyl)ketenes to 1,8-Naphthyridines and 4H-Pyrido[1,2-a]pyrimidines
3. Immediate Transformations of Acyl(imidoyl)ketenes via Intermolecular Reactions
3.1. Dimerization Reactions of Acyl(imidoyl)ketenes
3.1.1. Cyclodimerization Reactions of Acyl(imidoyl)ketenes via [4+2]-Cycloaddition
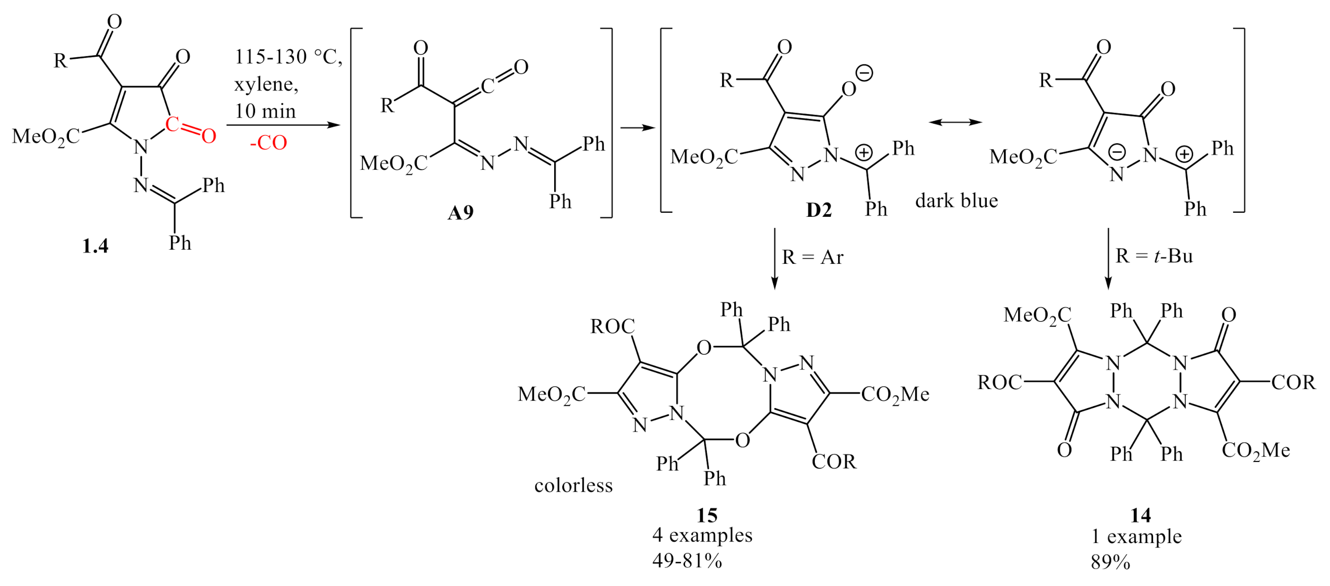
3.1.2. Dimerization Reactions of Acyl(imidoyl)ketenes via Intramolecular Cyclization of Them to Zwitterions
3.2. Interception Reactions of Acyl(imidoyl)ketenes
3.2.1. Interception Reactions of Acyl(imidoyl)ketenes with Alkenes
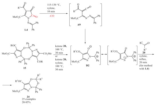
3.2.2. Interception Reactions of Acyl(imidoyl)ketenes with Carbonyl Compounds
3.2.3. Interception Reactions of Acyl(imidoyl)ketenes with Nitriles and Isocyanides
3.2.4. Interception Reactions of Acyl(imidoyl)ketenes with Carbodiimides and Schiff Bases
3.2.5. Interception Reactions of Acyl(imidoyl)ketenes with Water
4. Conclusions
Author Contributions
Funding
Institutional Review Board Statement
Informed Consent Statement
Conflicts of Interest
References
- Burke, M.; Schreiber, S. A Planning Strategy for Diversity-Oriented Synthesis. Angew. Chem. Int. Ed. 2004, 43, 46–58. [Google Scholar] [CrossRef]
- Collins, S.; Bartlett, S.; Nie, F.; Sore, H.F.; Spring, D.R. Diversity-oriented synthesis of macrocycle libraries for drug discovery and chemical biology. Synthesis 2016, 48, 1457–1473. [Google Scholar] [CrossRef]
- Schneider, G. Automating drug discovery. Nat. Rev. Drug Discov. 2018, 17, 97–113. [Google Scholar] [CrossRef] [PubMed]
- Pavlinov, I.; Gerlacha, E.M.; Aldrich, L.N. Next generation diversity-oriented synthesis: A paradigm shift from chemical diversity to biological diversity. Org. Biomol. Chem. 2019, 17, 1608–1623. [Google Scholar] [CrossRef] [PubMed]
- Dandapani, S.; Marcaurelle, L.A. Current strategies for diversity-oriented synthesis. Curr. Opin. Chem. Biol. 2010, 14, 362–370. [Google Scholar] [CrossRef] [PubMed]
- Yi, S.; Varun, B.V.; Choi, Y.; Park, S.B. A Brief Overview of Two Major Strategies in Diversity-Oriented Synthesis: Build/Couple/Pair and Ring-Distortion. Front. Chem. 2018, 6, 507. [Google Scholar] [CrossRef]
- Kidd, S.L.; Osberger, T.J.; Mateu, N.; Sore, H.F.; Spring, D.R. Recent Applications of Diversity-Oriented Synthesis Toward Novel, 3-Dimensional Fragment Collections. Front. Chem. 2018, 6, 460. [Google Scholar] [CrossRef]
- Jiang, X.; Hao, X.; Jing, L.; Wu, G.; Kang, D.; Liu, X.; Zhan, P. Recent applications of click chemistry in drug discovery. Expert Opin. Drug. Discov. 2019, 4, 779–789. [Google Scholar] [CrossRef]
- Gerry, C.J.; Schreiber, S.L. Recent achievements and current trajectories of diversity-oriented synthesis. Curr. Opin. Chem. Biol. 2020, 56, 1–9. [Google Scholar] [CrossRef]
- Greer, A.; Wauchope, O.R.; Farina, N.S.; Haberfield, P.; Liebman, J.F. Paradigms and paradoxes: Mechanisms for possible enhanced biological activity of bilaterally symmetrical chemicals. Struct. Chem. 2006, 17, 347–350. [Google Scholar] [CrossRef]
- Bai, W.-J.; Wang, X. Appreciation of symmetry in natural product synthesis. Nat. Prod. Rep. 2017, 34, 1345–1358. [Google Scholar] [CrossRef] [PubMed]
- Bellus, D.; Aizpurua, J.M.; Kowalczyk, J.J.; Austin, W.F.; Moore, H.W.; Danheiser, R.L.; Oiarbide, M.; Dudley, G.B.; Palomo, C.; Ebner, S.; et al. Science of Synthesis, 23: Category 3, Compounds with Four and Three Carbon Heteroatom Bonds, 1st ed.; Edition Thieme Verlagsgrouppe: Stuttgart, Germany; New York, NY, USA; Rio, Brazil, 2006. [Google Scholar] [CrossRef]
- Tidwell, T.T. Ketenes, 2nd ed.; Wiley-Interscience: Hoboken, NJ, USA, 2006. [Google Scholar] [CrossRef]
- Fulloon, B.E.; Wentrup, C. Fluoroquinolones from Imidoylketenes and Iminopropadienones, R–N=C=C=C=O. Aust. J. Chem. 2009, 62, 115–120. [Google Scholar] [CrossRef]
- McNab, H.; Hill, L.; Imam, S.; O’Neill, W. Regioselective Synthesis of Quinolin-4-ones by Pyrolysis of Anilinomethylene Derivatives of Meldrum’s Acid. Synlett 2009, 2009, 1847–1851. [Google Scholar] [CrossRef]
- Presset, M.; Coquerel, Y.; Rodriguez, J. Microwave-assisted domino and multicomponent reactions with cyclic acylketenes: Expeditious syntheses of oxazinones and oxazindiones. Org. Lett. 2009, 11, 5706–5709. [Google Scholar] [CrossRef]
- Reber, K.P.; Tilley, S.D.; Sorensen, E.J. Bond formations by intermolecular and intramolecular trappings of acylketenes and their applications in natural product synthesis. Chem. Soc. Rev. 2009, 38, 3022–3034. [Google Scholar] [CrossRef]
- Alajarin, M.; Bonillo, B.; Sanchez-Andrada, P.; Vidal, A. Tandem 1,5-hydride shift/1,5-S,N-cyclization with ethylene extrusion of 1,3-oxathiolane-substituted ketenimines and carbodiimides. An experimental and computational study. J. Org. Chem. 2010, 75, 3737–3750. [Google Scholar] [CrossRef]
- Gaywood, A.P.; Hill, L.; Imam, S.H.; McNab, H.; Neumajer, G.; O’Neill, W.J.; Matyus, P. Cyclisation reactions of some pyridazinylimidoylketenes. New J. Chem. 2010, 34, 236–242. [Google Scholar] [CrossRef]
- Presset, M.; Coquerel, Y.; Rodriguez, J. Periselectivity switch of acylketenes in cycloadditions with 1-azadienes: Microwave-assisted diastereoselective domino three-component Synthesis of α-spiro-δ-lactams. Org. Lett. 2010, 12, 4212–4215. [Google Scholar] [CrossRef]
- Leber, S.; Kollenz, G.; Wentrup, C. Synthesis of functionalized macrocyclic derivatives of trioxabicyclo[3.3.0]nonadiene. Beilstein J. Org. Chem. 2012, 8, 738–743. [Google Scholar] [CrossRef]
- Nunes, C.M.; Reva, I.; Pinho e Melo, T.M.V.D.; Fausto, R. UV-Laser photochemistry of isoxazole isolated in a low-temperature matrix. J. Org. Chem. 2012, 77, 8723–8732. [Google Scholar] [CrossRef]
- Galvez, J.; Castillo, J.-C.; Quiroga, J.; Rajzmann, M.; Rodriguez, J.; Coquerel, Y. Divergent chemo-, regio-, and diastereoselective normal electrondemand povarov-type reactions with α-oxo-ketene dienophiles. Org. Lett. 2014, 16, 4126–4129. [Google Scholar] [CrossRef]
- Khlebnikov, A.F.; Novikov, M.S.; Pakalnis, V.V.; Iakovenko, R.O.; Yufit, D.S. Domino reactions of 2H-azirines with acylketenes from furan-2,3-diones: Competition between the formation of ortho-fused and bridged heterocyclic systems. Beilstein J. Org. Chem. 2014, 10, 784–793. [Google Scholar] [CrossRef]
- Zavyalov, K.V.; Novikov, M.S.; Khlebnikov, A.F.; Pakalnis, V.V. Selective syntheses of 2H-1,3-oxazines and 1H-pyrrol-3(2H)-ones via temperature-dependent Rh(II)-carbenoid-mediated 2H-azirinering expansion. Tetrahedron 2014, 70, 3377–3384. [Google Scholar] [CrossRef]
- Cookson, R.; Barrett, T.N.; Barrett, A.G.M. β-Keto-dioxinones and β,δ-diketo-dioxinones in biomimetic resorcylate total synthesis. Acc. Chem. Res. 2015, 48, 628–642. [Google Scholar] [CrossRef] [PubMed]
- Miyamaru, S.; Umezu, K.; Ito, A.; Shimizu, M. Synthesis of multisubstituted dihydroquinoxaline derivatives by tandem N-alkylation and addition reactions of 3-oxoquinoxaline-2-carboxylates. Eur. J. Org. Chem. 2015, 2015, 3327–3337. [Google Scholar] [CrossRef]
- Rezvanian, A. An expedient synthesis strategy to the 1,4-dihydropyridines and pyrido[1,2-a]quinoxalines: Iodine catalyzed one-pot four-component domino reactions. Tetrahedron 2016, 72, 6428–6435. [Google Scholar] [CrossRef]
- Azev, Y.A.; Kodess, M.I.; Ezhikova, M.A.; Ermakova, O.S.; Berseneva, V.S.; Bakulev, V.A. Reactions of quinoxalin-2-one with β-diketones: A new approach to 6a,7-dihydro-5H-pyrido[1,2-a]quinoxaline-6,8-diones. Mendeleev Commun. 2017, 27, 97–98. [Google Scholar] [CrossRef]
- Azev, Y.A.; Ermakova, O.S.; Berseneva, V.S.; Kodess, M.I.; Ezhikova, M.A.; Ganebnykh, I.N. Synthesis of the 6-oxidopyrido[1,2-a]quinoxalinium derivatives from quinoxalin-2-one and aldehydes—New examples of domino reactions. Mendeleev Commun. 2017, 27, 637–639. [Google Scholar] [CrossRef]
- Hu, Z.; Dong, J.; Men, Y.; Lin, Z.; Cai, J.; Xu, X. Silver-catalyzed chemoselective [4+2] annulation of two isocyanides: A general route to pyridone-fused carbo- and heterocycles. Angew. Chem. Int. Ed. 2017, 56, 1805–1809. [Google Scholar] [CrossRef]
- Kollenz, G.; Wentrup, C. From dipivaloylketene to tetraoxaadamantanes. Beilstein J. Org. Chem. 2018, 14, 1–10. [Google Scholar] [CrossRef]
- Soozani, A.; Keivanloo, A.; Bakherad, M. One-pot palladium-catalyzed synthesis of functionalized 10H-pyrido[1,2-a]quinoxalin-10-ones under copper-free conditions. Tetrahedron 2018, 74, 150–156. [Google Scholar] [CrossRef]
- Galaverna, R.; McBride, T.; Pastre, J.C.; Browne, D.L. Exploring the generation and use of acylketenes with continuous flow processes. React. Chem. Eng. 2019, 9, 1559–1564. [Google Scholar] [CrossRef]
- Luo, J.; Chen, G.-S.; Chen, S.-J.; Liu, Y.-L. Catalyst-free formal [4+1]/[4+2] cyclization cascade sequence of isocyanides with two molecules of acylketene formed in situ from thermal-induced Wolff rearrangement of 2-diazo-1,3-diketones. Sci. Bull. 2020, 65, 670–677. [Google Scholar] [CrossRef]
- Kollenz, G.; Igel, H.; Ziegler, E. Uber reaktionen mit cyclischen oxalylverbindungen, 6. mitt.: Synthesen von heterocyclen, 161. Mitt. Monatsh. Chem. 1972, 103, 450–459. [Google Scholar] [CrossRef]
- Briehl, H.; Lukosch, A.; Wentrup, C. Reactive nitrogenous molecules from Meldrum’s acid derivatives, pyrrole-2,3-diones, and isoxazolones. J. Org. Chem. 1984, 49, 2772–2779. [Google Scholar] [CrossRef]
- Sano, T. Syntheses of heterocyclic compounds containing nitrogen utilizing dioxopyrrolines. J. Syn. Org. Chem. JPN 1984, 42, 340–354. [Google Scholar] [CrossRef]
- Kappe, C.O.; Kollenz, G.; Wentrup, C. A Nitroketene to Nitrile Oxide Transformation. J. Chem. Soc. Chem. Commun. 1992, 485–486. [Google Scholar] [CrossRef]
- George, L.; Netsch, K.-P.; Penn, G.; Kollenz, G.; Wentrup, C. Oxoketene–oxoketene, imidoylketene–imidoylketene and oxoketenimine–imidoylketene rearrangements. 1,3-Shifts of phenyl groups. Org. Biomol. Chem. 2006, 4, 558–564. [Google Scholar] [CrossRef]
- Vasvari-Debreczy, L.; Hermecz, I.; Meszaros, Z.; Dvortsak, P.; Toth, G. Nitrogen bridgehead compounds. Part 6. Ring transformation. Part 3. Thermal cyclization of diethyl 2-(2-pyridylaminomethylene)-succinates and -glutarates. J. Chem. Soc. Perkin Trans. 1980, 1, 227–232. [Google Scholar] [CrossRef]
- Wernik, M.; Hartmann, P.E.; Sipos, G.; Darvas, F.; Boese, A.D.; Dallinger, D.; Kappe, C.O. On the Regioselectivity of the Gould−Jacobs reaction: Gasphase versus solution-phase thermolysis. Eur. J. Org. Chem. 2020, 2020, 7051–7061. [Google Scholar] [CrossRef]
- Kappe, C.O.; Kollenz, G.; Leung-Toung, R.; Wentrup, C. Methyleneketene-lmidoylketene-oxoketenimine rearrangements. J. Chem. Soc. Chem. Commun. 1992, 487–488. [Google Scholar] [CrossRef]
- Kappe, C.O.; Kollenz, G.; Netsch, K.-P.; Leung-Toung, R.; Wentrup, C. Imidoylketene-azetin-2-one-oxoketenimine rearrangement. J. Chem. Soc. Chem. Commun. 1992, 488–490. [Google Scholar] [CrossRef]
- Tsuda, Y.; Horiguchi, Y.; Sano, T. Diels-Alder reaction in a polar system. Thermal cycloaddition of 1-phenyl-2-ethoxycarbonyl-3-benzoyl-Δ2-pyrroline-4,5-dione with butadienes. Heterocycles 1976, 4, 1355–1360. [Google Scholar] [CrossRef]
- Maslivets, A.N.; Krasnykh, O.P.; Smirnova, L.I.; Andreichikov, Y.S. Five-membered dioxoheterocycles. XII. Thermolysis of 1-aryl-4-aroyl-5-methoxycarbonyl-2,3-dihydro-2,3-pyrrolediones. J. Org. Chem. USSR 1989, 25, 941–948. (In Russian) [Google Scholar]
- Abd EI-Nabi, H.A.; Kollenz, G. Reactions of cyclic oxalyl compounds XXXIX. Reactions of 4-ethoxycarbonyl-5-phenyl-2,3-dihydrofuran-2,3-dione with heterocumulenes and Schiff bases. Monatsh. Chem. 1997, 128, 381–387. [Google Scholar] [CrossRef]
- Silaichev, P.S.; Kudrevatykh, N.V.; Maslivets, A.N. Five-membered 2,3-dioxoheterocycles: LXXXIII. Synthesis and thermolysis of 1-aryl-4,5-diaroyl-1H-pyrrole-2,3-diones. Russ. J. Org. Chem. 2012, 48, 249–252. [Google Scholar] [CrossRef]
- Boteva, A.A.; Krasnykh, O.P.; Fefilova, I.V.; Babushkina, E.B.; Slepukhin, P.A. Methyl 3-aroyl-4-oxo-1,4-dihydroquinoline-2-carboxylates: Synthesis and molecular and crystal structures. Russ. Chem. Bull. 2014, 63, 731–738. [Google Scholar] [CrossRef]
- Sarıpınar, E.; Karatas, S. Synthesis and thermolysis of the 2,3-dihydro-1H-pyrole-2,3-diones, pseudopericyclic reactions of formyl(N-phenylimidoyl)ketene: Experimental data and PM3 calculations. J. Heterocycl. Chem. 2005, 42, 787–796. [Google Scholar] [CrossRef]
- Aliev, Z.G.; Krasnykh, O.P.; Maslivets, A.N.; Stepanov, O.S.; Andreichikov, Y.S.; Atovmyan, L.O. Chemistry of acyl(imidoyl)ketenes. 4. Synthesis and crystal and molecular structure of 3-benzoyl-4-benzylamino-5-phenyl-5H-furan-2-one. Russ. Chem. Bull. 1999, 48, 2127–2130. [Google Scholar] [CrossRef]
- Aliev, Z.G.; Maslivets, A.N.; Golovnina, O.V.; Krasnykh, O.P.; Atovmyan, L.O. Chemistry of acyl(imidoyl)ketenes. 6. Synthesis and the molecular structure of ethyl 2-oxo-2,5-dihydrofuro[2,3-b]quinoxaline-3-carboxylate. Russ. Chem. Bull. 2001, 50, 1317–1319. [Google Scholar] [CrossRef]
- Mashevskaya, I.V.; Mokrushin, I.G.; Bozdyreva, K.S.; Maslivets, A.N. Five-membered 2,3-dioxoheterocycles: LXXIII. Synthesis and thermolysis of 3-acylpyrrolo[1,2-a]quinoxaline-1,2,4(5H)-triones. Russ. J. Org. Chem. 2011, 47, 253–257. [Google Scholar] [CrossRef]
- Kasatkina, S.O.; Stepanova, E.E.; Maslivets, A.N. Synthesis of pyrimido[1,6-a]quinoxalines via intermolecular trapping of thermally generated acyl(quinoxalin-2-yl)ketenes by Schiff bases. Beilstein J. Org. Chem. 2018, 14, 1734–1742. [Google Scholar] [CrossRef]
- Lisowskaya, N.A.; Alajarin, M.; Sanchez-Andrada, P. New cyclization mode of [N-(diarylmethyleneamino)carbonimidoyl]ketenes: Synthesis of 9H-pyrazolo[3,2-b][1,3]benzoxazines. Eur. J. Org. Chem. 2006, 2006, 1468–1475. [Google Scholar] [CrossRef]
- Maslivets, A.N.; Aliev, Z.G.; Krasnykh, O.P.; Golovnina, O.V.; Atovmyan, L.O. Chemistry of acyl(imidoyl)ketenes. 8. Thermolysis of 3-Alkoxycarbonyl-5-phenyl-1,2,4,5-tetrahydropyrrolo[1,2-a]quinoxaline-1,2,4-triones. Structure of 2-(3-oxo-4-phenyl-3,4-dihydro-2-quinoxalinyl)-2,4-di(ethoxycarbonyl)-6-phenyl-2,3,5,6-tetrahydro-1H-pyrido[1,2-a]quinoxaline-1,3,5-trione. Chem. Heterocycl. Compd. 2004, 40, 1295–1299. [Google Scholar] [CrossRef]
- Silaichev, P.S.; Maslivets, A.N. Two methods for generation of aroyl(quinoxalin-2-yl)ketene. Russ. J. Org. Chem. 2012, 48, 1261–1262. [Google Scholar] [CrossRef]
- Lisovenko, N.Y.; Krasnykh, O.P.; Aliev, Z.G.; Vostrov, E.S.; Tarasova, O.P.; Maslivets, A.N. Intermolecular cyclodimerization of aroyl(imidoyl)ketenes generated by thermolysis of 5-aryl-4-imidoyl2,3-dihydro-2,3-furandiones. Chem. Heterocycl. Compd. 2001, 37, 1314–1316. [Google Scholar] [CrossRef]
- Maslivets, A.N.; Lisovenko, N.Y.; Krasnykh, O.P.; Tarasova, O.P.; Aliev, Z.G.; Atovmyan, L.O. Chemistry of acyl(imidoyl)ketenes. 7. Synthesis and thermolysis of 5-aryl-4-quinoxalinyl-2,3-dihydrofuran-2,3-diones. Russ. Chem. Bull. 2002, 51, 850–853. [Google Scholar] [CrossRef]
- Lisovenko, N.Y.; Yukova, Y.V.; Makhmudov, R.R. Synthesis and analgesic activity of substituted pyridoquinoxalinyl arylates and their hydrolysis products. Pharm. Chem. J. 2014, 47, 593–595. [Google Scholar] [CrossRef]
- Maslivets, V.A.; Maslivets, A.N. Five-membered 2,3-dioxo heterocycles: LXXXVIII. Reaction of 3-aroylpyrrolo[1,2-d][1,4]benzoxazine-1,2,4(4H)-triones with N,N′-dicyclohexylcarbodiimide under thermolysis conditions. Russ. J. Org. Chem. 2012, 48, 1233–1237. [Google Scholar] [CrossRef]
- Bozdyreva, K.S.; Smirnova, I.V.; Maslivets, A.N. Five-membered 2,3-dioxo heterocycles: L. Synthesis and thermolysis of 3-aroyl- and 3-hetaroyl-5-phenyl-1,2,4,5-tetrahydropyrrolo[1,2-a]quinoxalin-1,2,4-triones. Russ. J. Org. Chem. 2005, 41, 1081–1088. [Google Scholar] [CrossRef]
- Semenova, T.D.; Krasnykh, O.P. Chemistry of acyl(imidoyl)ketenes: IX. Synthesis and thermolysis of 3-aroyl-8-chloro-1,2-dihydro-4H-pyrrolo[2,1-c][1,4]benzoxazine-1,2,4-triones. Russ. J. Org. Chem. 2005, 41, 1222–1227. [Google Scholar] [CrossRef]
- Zhulanov, V.E.; Dmitriev, M.V.; Maslivets, A.N.; Rubin, M. New method for in-situ generation of enolate-iminium 1,4-dipoles for [4+2] and [4+1] dipolar heterocycloaddition reactions. RSC Adv. 2016, 6, 90239–90247. [Google Scholar] [CrossRef]
- Zhulanov, V.Е.; Vigovskaya, V.A.; Dmitriev, M.V.; Silaichev, P.S.; Maslivets, A.N.; Rubin, M. Dipyrazolodioxadiazocines as shelf-stable “ready-to-use” precursors for an in situ generation of enolate-iminium 1,4-dipoles: A straightforward atom-economical approach to pyrazolo[5,1-d][1,3,5]dioxazines. Org. Biomol. Chem. 2020, 18, 3382–3391. [Google Scholar] [CrossRef] [PubMed]
- Kollenz, G. Zur Fischer-indol-umlagerung sterisch gehinderter systeme, 6. Mitt.: Reaktionen mit cyclischen oxalylverbindungen, 22. Mitt. Monatsh. Chem. 1978, 109, 249–257. [Google Scholar] [CrossRef]
- Zhulanov, V.E.; Dmitriev, M.V.; Maslivets, A.N. Thermolysis of 1-(methylideneamino)-1H-pyrrole-2,3-diones. Synthesis of pyrazolooxazines by [4+2]-cycloaddition of azomethine imines to alkenes. Russ. J. Org. Chem. 2017, 53, 1531–1536. [Google Scholar] [CrossRef]
- Nekrasov, D.D.; Obukhova, A.S.; Lisovenko, N.Y.; Roubtsov, A.E. Effect of substituents in the cumulene and aryl fragments of aroylketenes on the stereoselectivity of Diels-Alder heteroreaction with mono-, bi-, and polycyclic terpenoids containing a carbonyl group. Chem. Heterocycl. Compd. 2010, 46, 413–418. [Google Scholar] [CrossRef]
- Lisovenko, N.Y.; Maslivets, A.N.; Aliev, Z.G. Five-membered 2,3-dioxo heterocycles: XLVI. Reaction of 5-aryl-4-quinoxalinyl-2,3-dihydrofuran-2,3-diones with aldehydes and ketones. Molecular and crystalline structure of 5-(3-p-tolylquinoxalin-2-yl)-4H-1,3-dioxine-2-spiro-2′-adamantan-4-one. Russ. J. Org. Chem. 2004, 40, 1053–1057. [Google Scholar] [CrossRef]
- Kasatkina, S.; Stepanova, E.; Dmitriev, M.; Mokrushin, I.; Maslivets, A. Divergent synthesis of (quinoxalin-2-yl)-1,3-oxazines and pyrimido[1,6-a]quinoxalines via the cycloaddition reaction of acyl(quinoxalinyl)ketenes. Tetrahedron Lett. 2019, 60, 151088. [Google Scholar] [CrossRef]
- Maslivets, V.A.; Maslivets, A.N. Two pathways in the cycloaddition of 4-nitrobenzaldehyde to acyl(imidoyl)ketene. Russ. J. Org. Chem. 2013, 49, 1092–1093. [Google Scholar] [CrossRef]
- Lisovenko, N.Y.; Nekrasov, D.D.; Karmanov, V.I. Thermolytic transformations of 5-aryl-4-quinoxalin-2-ylfuran-2,3-diones in the presence of N-cyano compounds. Chem. Heterocycl. Compd. 2012, 48, 1357–1360. [Google Scholar] [CrossRef]
- Lisovenko, N.Y.; Maslivets, A.N.; Aliev, Z.G. Five-membered 2,3-dioxo heterocycles: LII. Reactions of 5-aryl-4-(quinoxalin-2-yl)-2,3-dihydrofuran-2,3-diones with Schiff bases and dicyclohexylcarbodiimide. Crystalline and molecular structure of substituted 2-(4-oxo-3,4-dihydro-2H-1,3-oxazin-5-yl)quinoxalines. Russ. J. Org. Chem. 2007, 43, 117–120. [Google Scholar] [CrossRef]
- Aliev, Z.G.; Krasnykh, O.P.; Maslivets, A.N.; Andreichikov, Y.S.; Atovmyan, L.O. Chemistry of acyl(imidoyl)ketenes. 3. Synthesis and structure of l-p-bromophenyl-2-p-methoxyphenyl-4-p-toluoyl-1,2-dihydropyrimidino[4,3-c][1,4]benzoxazine-3,5-dione. Russ. Chem. Bull. 1999, 48, 608–611. [Google Scholar] [CrossRef]




























Publisher’s Note: MDPI stays neutral with regard to jurisdictional claims in published maps and institutional affiliations. |
© 2021 by the authors. Licensee MDPI, Basel, Switzerland. This article is an open access article distributed under the terms and conditions of the Creative Commons Attribution (CC BY) license (https://creativecommons.org/licenses/by/4.0/).
Share and Cite
Lystsova, E.A.; Khramtsova, E.E.; Maslivets, A.N. Acyl(imidoyl)ketenes: Reactive Bidentate Oxa/Aza-Dienes for Organic Synthesis. Symmetry 2021, 13, 1509. https://doi.org/10.3390/sym13081509
Lystsova EA, Khramtsova EE, Maslivets AN. Acyl(imidoyl)ketenes: Reactive Bidentate Oxa/Aza-Dienes for Organic Synthesis. Symmetry. 2021; 13(8):1509. https://doi.org/10.3390/sym13081509
Chicago/Turabian StyleLystsova, Ekaterina A., Ekaterina E. Khramtsova, and Andrey N. Maslivets. 2021. "Acyl(imidoyl)ketenes: Reactive Bidentate Oxa/Aza-Dienes for Organic Synthesis" Symmetry 13, no. 8: 1509. https://doi.org/10.3390/sym13081509
APA StyleLystsova, E. A., Khramtsova, E. E., & Maslivets, A. N. (2021). Acyl(imidoyl)ketenes: Reactive Bidentate Oxa/Aza-Dienes for Organic Synthesis. Symmetry, 13(8), 1509. https://doi.org/10.3390/sym13081509

