Dynamical Properties of Baryons
Abstract
:1. Introduction
2. Experimental Determination of Hadron Form Factors
3. Results
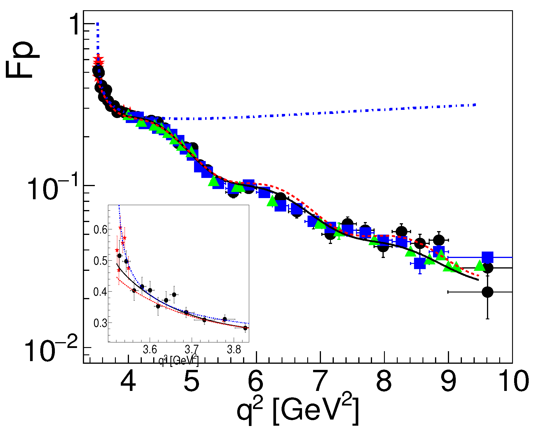
3.1. Recent Highlights on Space-Like Proton Form Factors
3.2. The Time-Like Region
4. Discussion
Author Contributions
Funding
Institutional Review Board Statement
Informed Consent Statement
Data Availability Statement
Conflicts of Interest
References
- Akhiezer, A.; Rekalo, M. Polarization phenomena in electron scattering by protons in the high energy region. Sov. Phys. Dokl. 1968, 13, 572. [Google Scholar]
- Akhiezer, A.; Rekalo, M. Polarization effects in the scattering of leptons by hadrons. Sov. J. Part. Nucl. 1974, 4, 277. [Google Scholar]
- Puckett, A.J.; Brash, E.J.; Jones, M.K.; Luo, W.; Meziane, M.; Pentchev, L.; Perdrisat, C.F.; Punjabi, V.; Wesselmann, F.R.; Afanasev, A.; et al. Polarization Transfer Observables in Elastic Electron Proton Scattering at Q2 = 2.5, 5.2, 6.8, and 8.5 GeV2. Phys. Rev. C 2017, 96, 055203, Erratum in Phys. Rev. C 2018, 98, 019907. [Google Scholar] [CrossRef] [Green Version]
- Rosenbluth, M. High Energy Elastic Scattering of Electrons on Protons. Phys. Rev. 1950, 79, 615–619. [Google Scholar] [CrossRef]
- Tomasi-Gustafsson, E. On radiative corrections for unpolarized electron proton elastic scattering. Phys. Part. Nucl. Lett. 2007, 4, 281–288. [Google Scholar] [CrossRef] [Green Version]
- Matveev, V.; Muradyan, R.; Tavkhelidze, A. Automodelity in strong interactions. Teor. Mat. Fiz. 1973, 15, 332–339. [Google Scholar] [CrossRef]
- Brodsky, S.J.; Farrar, G.R. Scaling Laws at Large Transverse Momentum. Phys. Rev. Lett. 1973, 31, 1153–1156. [Google Scholar] [CrossRef] [Green Version]
- Brash, E.; Cisbani, E.; Jones, M.; Khandaker, M.; Liyanage, N.; Pentchev, L.; Perdrisat, C.; Punjabi, V.; Wojtsekhowski, B. Large Acceptance Proton Form Factor Ratio Measurements up to 14.5 GeV2 Using Recoil-Polarization Method. In JLab Proposal, Experiment E12-07-109; 2009; Available online: https://www.researchgate.net/profile/Mark-Jones-33/publication/265481523_Update_on_E12-07-109_Large_Acceptance_Proton_Form_Factor_Ratio_Measurements_up_to_145_GeV_2_Using_Recoil-Polarization_Method/links/54f9c0ab0cf25371374ff838/Update-on-E12-07-109-Large-Acceptance-Proton-Form-Factor-Ratio-Measurements-up-to-145-GeV-2-Using-Recoil-Polarization-Method.pdf (accessed on 5 August 2021).
- Bonin, B.; Boudard, A.; Fanet, H.; Fergerson, R.W.; Garçon, M.; Giorgetti, C.; Habault, J.; Le Meur, J.; Lombard, R.M.; Lugol, J.C.; et al. Measurement of the inclusive pC Analyzing Power and Cross-section in the 1 GeV Region and Calibration of the New Polarimeter POMME. Nucl. Instrum. Meth. A 1990, 288, 379. [Google Scholar] [CrossRef]
- Cheung, N.E.; Perdrisat, C.F.; Oh, J.; Beard, K.; Punjabi, V.; Yonnet, J.; Beurtey, R.; Boivin, M.; Plouin, F.; Tomasi-Gustafsson, E.; et al. Calibration of the polarimeter POMME at proton energies between 1.05-GeV and 2.4-GeV. Nucl. Instrum. Meth. A 1995, 363, 561–567. [Google Scholar] [CrossRef]
- Azhgirey, L.S.; Arefiev, V.A.; Atanasov, I.; Basilev, S.N.; Bushuev, Y.P.; Glagolev, V.V.; Jones, M.K.; Kirillov, D.A.; Korovin, P.P.; Kumbartzki, G.J.; et al. Measurement of analyzing powers for the reaction + CH2 at pp = 1.75-GeV/c – 5.3-GeV/c. Nucl. Instrum. Meth. A 2005, 538, 431–441. [Google Scholar] [CrossRef]
- Basilev, S.N.; Bushuev, Y.P.; Gavrishchuk, O.P.; Glagolev, V.V.; Kirillov, D.A.; Kostayeva, N.V.; Kovalenko, A.D.; Legostaeva, K.S.; Livanov, A.N.; Philippov, I.A.; et al. Measurement of neutron and proton analyzing powers on C, CH, CH2 and Cu targets in the momentum region 3–4.2 GeV/c. Eur. Phys. J. A 2020, 56, 26. [Google Scholar] [CrossRef] [Green Version]
- Zichichi, A.; Berman, S.; Cabibbo, N.; Gatto, R. Proton anti-proton annihilation into electrons, muons and vector bosons. Nuovo Cim. 1962, 24, 170–180. [Google Scholar] [CrossRef]
- Hoang, A.H. Two loop corrections to fermion pair production vertices. Electroweak interactions and unified theories. In Proceedings of the 31st Rencontres de Moriond, Leptonic Session, Les Arcs, France, 16–23 March 1996; pp. 129–134. [Google Scholar]
- Rekalo, M.P.; Tomasi-Gustafsson, E.; Prout, D. Search for evidence of two photon exchange in new experimental high momentum transfer data on electron deuteron elastic scattering. Phys. Rev. C 1999, 60, 042202. [Google Scholar] [CrossRef]
- Ablikim, M.; Achasov, M.N.; Adlarson, P.; Ahmed, S.; Albrecht, M.; Aliberti, R.; Amoroso, A.; An, Q.; Bai, X.H.; Bai, Y.; et al. Measurement of the e+e− → p cross section in the energy range from 3.0 to 6.5 GeV. Phys. Rev. D 2013, 88, 072009. [Google Scholar] [CrossRef] [Green Version]
- Bardin, G.; Burgun, G.; Calabrese, R.; Capon, G.; Carlin, R.; Dalpiaz, P.; Dalpiaz, P.F.; Derre, J.; Dosselli, U.; Duclos, J.; et al. Determination of the electric and magnetic form-factors of the proton in the timelike region. Nucl. Phys. 1994, B411, 3–32. [Google Scholar] [CrossRef]
- Ablikim, M.; Achasov, M.N.; Adlarson, P.; Ahmed, S.; Albrecht, M.; Alekseev, M.; Amoroso, A.; An, F.F.; An, Q.; Bai, Y.; et al. Measurement of proton electromagnetic form factors in e+e− → p in the energy region 2.00–3.08 GeV. Phys. Rev. Lett. 2020, 124, 042001. [Google Scholar] [CrossRef] [Green Version]
- Ablikim, M.; Achasov, M.N.; Adlarson, P.; Ahmed, S.; Albrecht, M.; Alekseev, M.; Amoroso, A.; An, F.F.; An, Q.; Bai, Y.; et al. Study of the process e+e− → p via initial state radiation at BESIII. Phys. Rev. D 2019, 99, 092002. [Google Scholar] [CrossRef] [Green Version]
- Bianconi, A.; Tomasi-Gustafsson, E. Periodic interference structures in the timelike proton form factor. Phys. Rev. Lett. 2015, 114, 232301. [Google Scholar] [CrossRef] [Green Version]
- Lees, J.P.; Poireau, V.; Tisser, V.; Grauges, E.; Palano, A.; Eigen, G.; Stugu, B.; Brown, D.N.; Kerth, L.T.; Kolomensky, Y.G.; et al. Study of e+ + e− → p + via initial-state radiation at BABAR. Phys. Rev. D 2013, 87, 092005. [Google Scholar] [CrossRef] [Green Version]
- Tomasi-Gustafsson, E.; Bianconi, A.; Pacetti, S. New fit of timelike proton electromagnetic form factors from e+e− colliders. Phys. Rev. C 2021, 103, 035203. [Google Scholar] [CrossRef]
- Akhmetshin, R.R.; Amirkhanov, A.N.; Anisenkov, A.V.; Aulchenko, V.M.; Banzarov, V.S.; Bashtovoy, N.S.; Berkaev, D.E.; Bondar, A.E.; Bragin, A.V.; Eidelman, S.I.; et al. Observation of a fine structure in e+e− to hadron production at the nucleon-antinucleon threshold. Phys. Lett. 2019, B794, 64–68. [Google Scholar] [CrossRef]
- Kuraev, E.; Tomasi-Gustafsson, E.; Dbeyssi, A. A Model for space and time-like proton (neutron) form factors. Phys. Lett. 2012, B712, 240–244. [Google Scholar] [CrossRef]
- Bijker, R.; Iachello, F. Re-analysis of the nucleon space- and time-like electromagnetic form-factors in a two-component model. Phys. Rev. C 2004, 69, 068201. [Google Scholar] [CrossRef] [Green Version]
- Rekalo, M.P. The reaction π + N → e+e− + π. Sov. J. Nucl.Phys. 1965, 1, 760–765. [Google Scholar]
- Adamuscin, C.; Kuraev, E.; Tomasi-Gustafsson, E.; Maas, F. Testing axial and electromagnetic nucleon form factors in time-like regions in the processes + n → π− + ℓ+ℓ− and + p → π0 + ℓ+ℓ−, ℓ = e,μ. Phys. Rev. C 2007, 75, 045205. [Google Scholar] [CrossRef] [Green Version]
- Barucca, G.; Davì, F.; Lancioni, G.; Mengucci, P.; Montalto, L.; Natali, P.P.; Paone, N.; Rinaldi, D.; Scalise, L.; Krusche, B.; et al. PANDA Phase One. Eur. Phys. J. A 2021, 57, 184. [Google Scholar] [CrossRef]




Publisher’s Note: MDPI stays neutral with regard to jurisdictional claims in published maps and institutional affiliations. |
© 2021 by the authors. Licensee MDPI, Basel, Switzerland. This article is an open access article distributed under the terms and conditions of the Creative Commons Attribution (CC BY) license (https://creativecommons.org/licenses/by/4.0/).
Share and Cite
Tomasi-Gustafsson, E.; Bianconi, A.; Pacetti, S. Dynamical Properties of Baryons. Symmetry 2021, 13, 1480. https://doi.org/10.3390/sym13081480
Tomasi-Gustafsson E, Bianconi A, Pacetti S. Dynamical Properties of Baryons. Symmetry. 2021; 13(8):1480. https://doi.org/10.3390/sym13081480
Chicago/Turabian StyleTomasi-Gustafsson, Egle, Andrea Bianconi, and Simone Pacetti. 2021. "Dynamical Properties of Baryons" Symmetry 13, no. 8: 1480. https://doi.org/10.3390/sym13081480
APA StyleTomasi-Gustafsson, E., Bianconi, A., & Pacetti, S. (2021). Dynamical Properties of Baryons. Symmetry, 13(8), 1480. https://doi.org/10.3390/sym13081480

