IoT Botnet Detection Using Salp Swarm and Ant Lion Hybrid Optimization Model
Abstract
1. Introduction
2. Related Works
3. Preliminaries
3.1. Salp Swarm Optimization
| Algorithm 1 SSA algorithm pseudo-code. |
|
Input: n is the # salps, d is the # dimensions) Output:Near optimal solution (F) Initialization step x_i (i = 1, 2, . . . , n) considering ub and lb while (maximum iterations is not reached) do Computer the fitness value of each individual Define F as the best individual Update by Equation (3) for (each individual ) do if l == 1 then Change the position of the leader individual by Equation (2) else Change the position of the follower individual by Equation (4) end if Change the positions of the individuals based on the bounds of variables end while return F |
3.2. Ant Lion Optimization
| Algorithm 2 ALO algorithm pseudo-code. |
|
Input: Search space, fitness function, # ants and ant lions, # iterations (), ,. Output: The best ant lion and its fitness. 1. Initialize a random n ant positions and n ant lion positions. 2. Compute the fitness of all ants and ant lions. 3. Find the best ant lion 4. whiledo for all do (i) Use a roulette wheel to select an ant lion (building trap); as in Equations (9) and (10). (ii) Slide ants towards the ant lion; as in Equations (11) and (12). (iii) Create a random walk for anti and normalize it; as in Equation (14). end for - Compute the fitness of all ants. - Replace an ant lion with a fitter ant. - Update elite if an ant lion becomes fitter than the elite. end while 5. Select the optimal ant lion position. |
- t: the current iteration
- T: the maximum iterations
- : the position of ant lion j at iteration t
- : the position ant i at iteration t
- : is the minimum of all variables at tth iteration.
- : indicates the vector including the maximum of all variables at tth iteration.
- w: a constant defined based on the current iteration ( when , when , when , when , and when ). The constant w can adjust the accuracy level of exploitation.
- I: I is a ratio defined based on w using the equation
- : minimum random walk of ithvariable.
- : maximum random walk of ithvariable.
4. The SSA–ALO Hybrid Model for Feature Selection
- It applies a roulette wheel as a selection mechanism of individuals. This affects the swarm of ants.
- It changes the size of the random walk adaptively as in SSA. This affects the ant lions swarm.
- The size of the random walks is adaptive as in ALO. This affects the population of ants.
- All members of the population are repositioned, rather than only the ant population, as in ALO.
| Algorithm 3 The proposed hybrid SSA–ALO algorithm. |
|
Input: Search space, fitness function, # ants and ant lions, # iterations (). Output: The optimal ant lion and its fitness. 1. Initialize the random n ant positions and n ant lion positions. 2. Compute the fitness of all ants and ant lions. 3. Find the fittest ant lion (the elite) 4. while do for alldo (i) choose an ant lion using roulette wheel (building trap). (ii) Slide ants towards the ant lion. (iii) build a random walk for and normalize it. end for - Compute the fitness of all ants. - Change the position of an ant lion with a fitter ant (catching a prey). - Select the leading salp from the ant lion population based on its fitness. - Update the exploration rate parameter - Update ant lion positions - Update elite if an ant lion becomes fitter than the elite. end while 5. Select the optimal ant lion position. |
- It is arget-driven, which is realized from SSA, where the best solution is the leader and remaining solutions are the followers. This helps to improve the ant lions walk.
- The random steps of both SSA and ALO are reduced over time.
- The fitter ants are replaced with an ant lion as in ALO concepts.
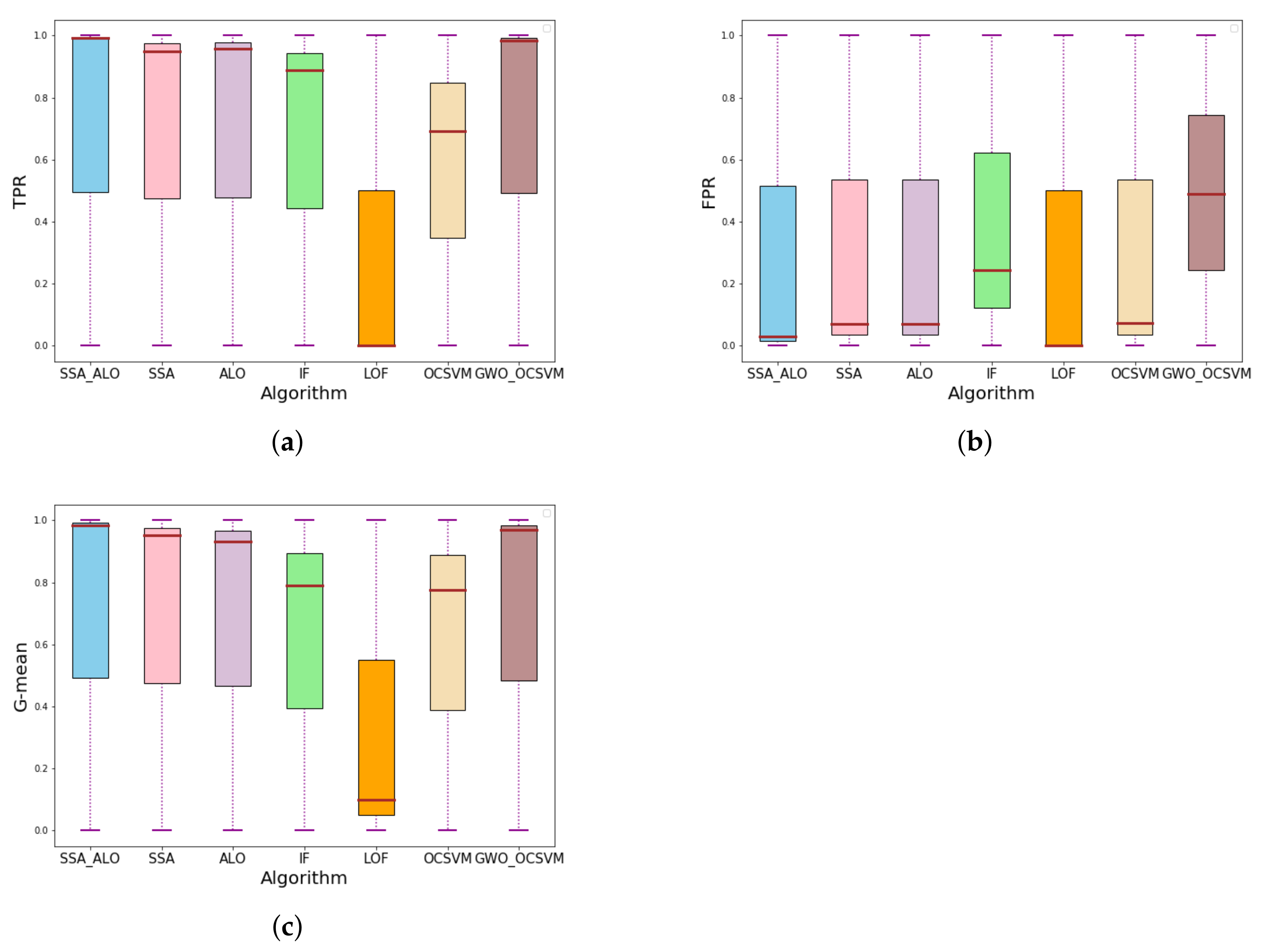
5. Experiments, Results, and Discussion
6. Analysis of the Most Relevant Features
- Security camera:
- 1.
- H_L1_mean
- 2.
- HH_L5_radius
- 3.
- HH_L3_weight
- 4.
- HH_L3_magnitude
- 5.
- HH_L3_radius
- 6.
- HH_L1_mean
- 7.
- HH_L0.1_mean
- 8.
- HH_L0.1_magnitude
- 9.
- HH_L0.1_radius
- 10.
- HH_iit_L0.1_variance
- 11.
- HH_iit_L0.1_mean
- Baby Monitor:
- 1.
- HH_L3_pcc
- 2.
- HH_L0.1_magnitude
- 3.
- HH_L0.1_radius
- 4.
- HH_L0.1_pcc
- 5.
- HH_iit_L1_weight
- 6.
- HpHp_L3_magnitude
- 7.
- HpHp_L3_radius
- Doorbell
- 1.
- HH_L3_magnitude
- 2.
- HH_L1_std
- 3.
- HH_L1_radius
- 4.
- HH_L0.1_weight
- 5.
- HH_L0.1_mean
- 6.
- HH_L0.1_pcc
- 7.
- HH_L0.01_std
- 8.
- HH_iit_L3_mean
- 9.
- HH_iit_L1_weight
- 10.
- HH_iit_L0.1_variance
- 11.
- HpHp_L0.1_radius
- 12.
- HpHp_L0.01_magnitude
- Webcam
- 1.
- MI_dir_L0.1_mean
- 2.
- MI_dir_L0.01_mean
- 3.
- H_L5_variance
- 4.
- H_L0.1_mean
- 5.
- HH_L3_mean
- 6.
- HH_L3_pcc
- 7.
- HH_L0.1_pcc
- 8.
- HH_L0.01_radius
- 9.
- HpHp_L1_magnitude
- 10.
- HpHp_L0.1_radius
- 11.
- HpHp_L0.01_std
- Thermostat
- 1.
- HH_L3_weight
- 2.
- HH_L0.1_weight
- 3.
- HH_L0.1_radius
- 4.
- HH_iit_L1_weight
- 5.
- HpHp_L3_mean
7. Conclusions and Future Work
- Developing a parallel version of the hybrid SSA–ALO to work on a distributed framework.
- Using the proposed method on other applications such as those from genetic and microarray.
Author Contributions
Funding
Institutional Review Board Statement
Informed Consent Statement
Data Availability Statement
Acknowledgments
Conflicts of Interest
References
- Alieyan, K.; Almomani, A.; Abdullah, R.; Almutairi, B.; Alauthman, M. Botnet and Internet of Things (IoTs): A Definition, Taxonomy, Challenges, and Future Directions. In Research Anthology on Combating Denial-of-Service Attacks; IGI Global: Hershey, PA, USA, 2021; pp. 138–150. [Google Scholar]
- Hamid, H.; Noor, R.M.; Omar, S.N.; Ahmedy, I.; Anjum, S.S.; Shah, S.A.A.; Kaur, S.; Othman, F.; Tamil, E.M. IoT-based botnet attacks systematic mapping study of literature. Scientometrics 2021, 126, 2759–2800. [Google Scholar] [CrossRef]
- Dange, S.; Chatterjee, M. IoT Botnet: The Largest Threat to the IoT Network. In Data Communication and Networks; Springer: Berlin/Heidelberg, Germany, 2020; pp. 137–157. [Google Scholar]
- Viriyasitavat, W.; Da Xu, L.; Bi, Z.; Hoonsopon, D. Blockchain technology for applications in internet of things—Mapping from system design perspective. IEEE Internet Things J. 2019, 6, 8155–8168. [Google Scholar] [CrossRef]
- Nguyen, H.T.; Ngo, Q.D.; Le, V.H. A novel graph-based approach for IoT botnet detection. Int. J. Inf. Secur. 2020, 19, 567–577. [Google Scholar] [CrossRef]
- Qaddoura, R.; Al-Zoubi, A.; Almomani, I.; Faris, H. A Multi-Stage Classification Approach for IoT Intrusion Detection Based on Clustering with Oversampling. Appl. Sci. 2021, 11, 3022. [Google Scholar] [CrossRef]
- Idrissi, I.; Boukabous, M.; Azizi, M.; Moussaoui, O.; El Fadili, H. Toward a deep learning-based intrusion detection system for IoT against botnet attacks. IAES Int. J. Artif. Intell. 2021, 10, 110. [Google Scholar]
- Qaddoura, R.; Al-Zoubi, A.M.; Faris, H.; Almomani, I. A Multi-Layer Classification Approach for Intrusion Detection in IoT Networks Based on Deep Learning. Sensors 2021, 21, 2987. [Google Scholar] [CrossRef] [PubMed]
- Aljarah, I.; Mafarja, M.; Heidari, A.A.; Faris, H.; Mirjalili, S. Multi-Verse Optimizer: Theory, Literature Review, and Application in Data Clustering; Nature-Inspired Optimizers: Berlin/Heidelberg, Germany, 2020; pp. 123–141. [Google Scholar]
- Faris, H.; Aljarah, I.; Al-Madi, N.; Mirjalili, S. Optimizing the learning process of feedforward neural networks using lightning search algorithm. Int. J. Artif. Intell. Tools 2016, 25, 1650033. [Google Scholar] [CrossRef]
- Mafarja, M.; Heidari, A.A.; Faris, H.; Mirjalili, S.; Aljarah, I. Dragonfly Algorithm: Theory, Literature Review, and Application in Feature Selection; Nature-Inspired Optimizers: Berlin/Heidelberg, Germany, 2020; pp. 47–67. [Google Scholar]
- Al Shorman, A.; Faris, H.; Aljarah, I. Unsupervised intelligent system based on one class support vector machine and Grey Wolf optimization for IoT botnet detection. J. Ambient. Intell. Humaniz. Comput. 2020, 11, 2809–2825. [Google Scholar] [CrossRef]
- Khurma, R.A.; Aljarah, I.; Sharieh, A.; Mirjalili, S. Evolopy-fs: An open-source nature-inspired optimization framework in python for feature selection. In Evolutionary Machine Learning Techniques; Springer: Berlin/Heidelberg, Germany, 2020; pp. 131–173. [Google Scholar]
- Pamukov, M.E.; Poulkov, V.K.; Shterev, V.A. Negative selection and neural network based algorithm for intrusion detection in iot. In Proceedings of the 2018 41st International Conference on Telecommunications and Signal Processing (TSP), Athens, Greece, 4–6 July 2018; pp. 1–5. [Google Scholar]
- Mehmood, A.; Mukherjee, M.; Ahmed, S.H.; Song, H.; Malik, K.M. NBC-MAIDS: Naïve Bayesian classification technique in multi-agent system-enriched IDS for securing IoT against DDoS attacks. J. Supercomput. 2018, 74, 5156–5170. [Google Scholar] [CrossRef]
- Xiao, L.; Wan, X.; Lu, X.; Zhang, Y.; Wu, D. IoT security techniques based on machine learning: How do IoT devices use AI to enhance security? IEEE Signal Process. Mag. 2018, 35, 41–49. [Google Scholar] [CrossRef]
- Shaikh, F.; Bou-Harb, E.; Crichigno, J.; Ghani, N. A machine learning model for classifying unsolicited iot devices by observing network telescopes. In Proceedings of the 2018 14th International Wireless Communications & Mobile Computing Conference (IWCMC), Limassol, Cyprus, 25–29 June 2018; pp. 938–943. [Google Scholar]
- Liu, L.; Xu, B.; Zhang, X.; Wu, X. An intrusion detection method for internet of things based on suppressed fuzzy clustering. EURASIP J. Wirel. Commun. Netw. 2018, 2018, 1–7. [Google Scholar] [CrossRef]
- Rathore, S.; Park, J.H. Semi-supervised learning based distributed attack detection framework for IoT. Appl. Soft Comput. 2018, 72, 79–89. [Google Scholar] [CrossRef]
- Moustafa, N.; Turnbull, B.; Choo, K.K.R. An ensemble intrusion detection technique based on proposed statistical flow features for protecting network traffic of internet of things. IEEE Internet Things J. 2018, 6, 4815–4830. [Google Scholar] [CrossRef]
- Hamamoto, A.H.; Carvalho, L.F.; Sampaio, L.D.H.; Abrão, T.; Proença, M.L., Jr. Network anomaly detection system using genetic algorithm and fuzzy logic. Expert Syst. Appl. 2018, 92, 390–402. [Google Scholar] [CrossRef]
- Bin Ahmad, M.; Akram, A.; Asif, M.; Ur-Rehman, S. Using genetic algorithm to minimize false alarms in insider threats detection of information misuse in windows environment. Math. Probl. Eng. 2014, 2014, 179109. [Google Scholar] [CrossRef]
- Hajimirzaei, B.; Navimipour, N.J. Intrusion detection for cloud computing using neural networks and artificial bee colony optimization algorithm. ICT Express 2019, 5, 56–59. [Google Scholar] [CrossRef]
- Ali, M.H.; Al Mohammed, B.A.D.; Ismail, A.; Zolkipli, M.F. A new intrusion detection system based on fast learning network and particle swarm optimization. IEEE Access 2018, 6, 20255–20261. [Google Scholar] [CrossRef]
- Selvakumar, B.; Muneeswaran, K. Firefly algorithm based feature selection for network intrusion detection. Comput. Secur. 2019, 81, 148–155. [Google Scholar]
- Panigrahi, A.; Patra, M.R. A Layered Approach to Network Intrusion Detection Using Rule Learning Classifiers with Nature-Inspired Feature Selection. In Progress in Computing, Analytics and Networking; Springer: Berlin/Heidelberg, Germany, 2018; pp. 215–223. [Google Scholar]
- Raza, S.; Wallgren, L.; Voigt, T. SVELTE: Real-time intrusion detection in the Internet of Things. Ad Hoc Netw. 2013, 11, 2661–2674. [Google Scholar] [CrossRef]
- Li, J.; Zhao, Z.; Li, R.; Zhang, H. Ai-based two-stage intrusion detection for software defined iot networks. IEEE Internet Things J. 2018, 6, 2093–2102. [Google Scholar] [CrossRef]
- Xue, Y.; Jia, W.; Zhao, X.; Pang, W. An evolutionary computation based feature selection method for intrusion detection. Secur. Commun. Netw. 2018, 2018, 2492956. [Google Scholar] [CrossRef]
- Popoola, E.; Adewumi, A.O. Efficient Feature Selection Technique for Network Intrusion Detection System Using Discrete Differential Evolution and Decision. IJ Netw. Secur. 2017, 19, 660–669. [Google Scholar]
- Guendouzi, W.; Boukra, A. GAB-BBO: Adaptive Biogeography Based Feature Selection Approach for Intrusion Detection. Int. J. Comput. Intell. Syst. 2017, 10, 914–935. [Google Scholar] [CrossRef][Green Version]
- Gharaee, H.; Hosseinvand, H. A new feature selection IDS based on genetic algorithm and SVM. In Proceedings of the 2016 8th International Symposium on Telecommunications (IST), Tehran, Iran, 27–28 September 2016; pp. 139–144. [Google Scholar]
- Mirjalili, S.; Gandomi, A.H.; Mirjalili, S.Z.; Saremi, S.; Faris, H.; Mirjalili, S.M. Salp Swarm Algorithm: A bio-inspired optimizer for engineering design problems. Adv. Eng. Softw. 2017, 114, 163–191. [Google Scholar] [CrossRef]
- Mirjalili, S. The ant lion optimizer. Adv. Eng. Softw. 2015, 83, 80–98. [Google Scholar] [CrossRef]
- Meidan, Y.; Bohadana, M.; Mathov, Y.; Mirsky, Y.; Shabtai, A.; Breitenbacher, D.; Elovici, Y. N-baiot—Network-based detection of iot botnet attacks using deep autoencoders. IEEE Pervasive Comput. 2018, 17, 12–22. [Google Scholar] [CrossRef]
- Asuncion, A.; Newman, D. UCI Machine Learning Repository; University of California: Irvine, CA, USA, 2007. [Google Scholar]
- Domingues, R.; Filippone, M.; Michiardi, P.; Zouaoui, J. A comparative evaluation of outlier detection algorithms: Experiments and analyses. Pattern Recognit. 2018, 74, 406–421. [Google Scholar] [CrossRef]









| BASHLITE | Mirai | ||||||
|---|---|---|---|---|---|---|---|
| Scanning | Spamming | Flooding | Scanning | Flooding | |||
| Auto Scan | Junk | COMBO | TCP | UDP | Auto Scan | TCP | UDP |
| 255,111 | 261,789 | 515,156 | 859,850 | 946,366 | 537,979 | 1,377,120 | 1,753,303 |
| 255,111 | 776,945 | 1,806,216 | 537,979 | 3,130,423 | |||
| Value | Measure | Aggregated by | # Features |
|---|---|---|---|
| The size of outbound packets | Mean Variance | Source IP, Source MAC-IP, Channel, Socket | 8 |
| Packet count | Number | Source IP, Source MAC-IP, Channel, Socket | 4 |
| Packet jitter | Mean, Variance, Number | Channel | 3 |
| Packet size | Magnitude, Radius, Covariance, Correlation Coefficient | Channel Socket | 8 |
| Model of Device | Type of Device | Benign | BASHLITE | Mirai | Tot Attacks | ||||||||
|---|---|---|---|---|---|---|---|---|---|---|---|---|---|
| Combo | Junk | Scan | TCP | UDP | Ack | Scan | Syn | UDP | UDPPlain | ||||
| Danmini | Doorbell | 40,395 | 59,718 | 29,068 | 29,849 | 92,141 | 105,874 | 102,195 | 107,685 | 122,573 | 237,665 | 81,982 | 968,750 |
| Ennio | Doorbell | 34,692 | 53,014 | 29,797 | 28,120 | 101,536 | 103,933 | 0 | 0 | 0 | 0 | 0 | 316,400 |
| Ecobee | Thermostat | 13,111 | 53,012 | 30,312 | 27,494 | 95,021 | 104,791 | 113,285 | 43,192 | 116,807 | 151,481 | 87,368 | 822,763 |
| Philips B120N/10 | Baby monitor | 160,137 | 58,152 | 28,349 | 27,859 | 92,581 | 105,782 | 91,123 | 103,621 | 118,128 | 217,034 | 80,808 | 923,437 |
| Provision PT-737E | Sec. camera | 55,169 | 61,380 | 30,898 | 29,297 | 104,510 | 104,011 | 60,554 | 96,781 | 65,746 | 156,248 | 56,681 | 766,106 |
| Provision PT-838 | Sec. camera | 91,555 | 57,530 | 29,068 | 28,397 | 89,387 | 104,658 | 57,997 | 97,096 | 61,851 | 158,608 | 53,785 | 738,377 |
| SH XCS7-1002-WHT | Sec. camera | 42,784 | 54,283 | 28,579 | 27,825 | 88,816 | 103,720 | 111,480 | 45,930 | 125,715 | 151,879 | 78,244 | 816,471 |
| SH XCS7-1003-WHT | Sec. camera | 17,936 | 59,398 | 27,413 | 28,572 | 98,075 | 102,980 | 107,187 | 43,674 | 122,479 | 157,084 | 84,436 | 831,298 |
| Samsung SNH 1011 N | Webcam | 46,817 | 58,669 | 28,305 | 27,698 | 97,783 | 110,617 | 0 | 0 | 0 | 0 | 0 | 323,072 |
| 502,596 | 515,156 | 261,789 | 255,111 | 859,850 | 946,366 | 643,821 | 537,979 | 733,299 | 1,229,999 | 523,304 | 6,506,674 | ||
| Device Type | Training | Optimization | Testing | ||
|---|---|---|---|---|---|
| No. of Benign Instances | No. of Benign Instances | No. of Malicious Instances | No. of Benign Instances | No. of Malicious Instances | |
| Baby monitor | 53,379 | 53,379 | 307,812 | 53,379 | 615,625 |
| Doorbell | 25,029 | 25,029 | 428,383 | 25,029 | 856,767 |
| Security camera | 69,148 | 69,148 | 1,050,750 | 69,148 | 2,101,502 |
| Thermostat | 4371 | 4370 | 274,254 | 4370 | 548,509 |
| Webcam | 15,607 | 15,605 | 107,690 | 15,605 | 215,382 |
| Device Type | SSA–ALO | SSA | ALO | IF [37] | LOF [37] | OCSVM [12] | GWO-OCSVM [12] | |||||||
|---|---|---|---|---|---|---|---|---|---|---|---|---|---|---|
| TPR | FPR | TPR | FPR | TPR | FPR | TPR | FPR | TPR | FPR | TPR | FPR | TPR | FPR | |
| Thermostat | 0.995 | 0.002 | 0.993 | 0.003 | 0.991 | 0.002 | 0.992 | 0.101 | 0.001 | 0.001 | 0.498 | 0.139 | 0.960 | 0.009 |
| Webcam | 0.999 | 0.022 | 0.999 | 0.145 | 0.999 | 0.169 | 0.999 | 0.692 | 0.001 | 0.001 | 0.999 | 0.186 | 0.999 | 0.037 |
| Baby monitor | 0.989 | 0.002 | 0.948 | 0.049 | 0.977 | 0.061 | 0.618 | 0.003 | 0.004 | 0.004 | 0.234 | 0.001 | 0.991 | 0.016 |
| Doorbell | 0.998 | 0.068 | 0.972 | 0.120 | 0.982 | 0.097 | 0.826 | 0.010 | 0.001 | 0.001 | 0.923 | 0.003 | 0.995 | 0.083 |
| Security camera | 0.974 | 0.051 | 0.831 | 0.039 | 0.836 | 0.027 | 0.999 | 0.419 | 0.001 | 0.001 | 0.813 | 0.039 | 0.982 | 0.098 |
| Average | 0.991 | 0.029 | 0.949 | 0.071 | 0.957 | 0.071 | 0.887 | 0.245 | 0.002 | 0.002 | 0.693 | 0.074 | 0.985 | 0.489 |
| Device Type | G-Mean | ||||||
|---|---|---|---|---|---|---|---|
| SSA–ALO | SSA | ALO | IF [37] | LOF [37] | OCSVM [12] | GWO-OCSVM [12] | |
| Thermostat | 0.996 | 0.995 | 0.994 | 0.944 | 0.032 | 0.655 | 0.975 |
| Webcam | 0.988 | 0.924 | 0.911 | 0.555 | 0.032 | 0.902 | 0.981 |
| Baby monitor | 0.993 | 0.949 | 0.958 | 0.785 | 0.063 | 0.479 | 0.987 |
| Doorbell | 0.964 | 0.925 | 0.942 | 0.904 | 0.032 | 0.959 | 0.956 |
| Security camera | 0.961 | 0.894 | 0.901 | 0.762 | 0.032 | 0.884 | 0.941 |
| Average | 0.984 | 0.952 | 0.931 | 0.789 | 0.099 | 0.776 | 0.968 |
| Device Type | Average Detection Time (s) | ||||||
|---|---|---|---|---|---|---|---|
| SSA–ALO | SSA | ALO | IF [37] | LOF [37] | OCSVM [12] | GWO-OCSVM [12] | |
| Thermostat | 0.035 | 0.390 | 0.420 | 3.325 | 1.107 | 0.087 | 0.047 |
| Webcam | 0.091 | 0.821 | 0.199 | 11.589 | 2.875 | 0.406 | 0.156 |
| Baby monitor | 0.433 | 0.749 | 0.552 | 49.698 | 33.317 | 1.889 | 0.622 |
| Doorbell | 1.447 | 1.963 | 2.331 | 18.208 | 7.753 | 1.570 | 1.099 |
| Security camera | 22.659 | 29.856 | 31.588 | 42.398 | 29.579 | 36.549 | 27.837 |
Publisher’s Note: MDPI stays neutral with regard to jurisdictional claims in published maps and institutional affiliations. |
© 2021 by the authors. Licensee MDPI, Basel, Switzerland. This article is an open access article distributed under the terms and conditions of the Creative Commons Attribution (CC BY) license (https://creativecommons.org/licenses/by/4.0/).
Share and Cite
Abu Khurma, R.; Almomani, I.; Aljarah, I. IoT Botnet Detection Using Salp Swarm and Ant Lion Hybrid Optimization Model. Symmetry 2021, 13, 1377. https://doi.org/10.3390/sym13081377
Abu Khurma R, Almomani I, Aljarah I. IoT Botnet Detection Using Salp Swarm and Ant Lion Hybrid Optimization Model. Symmetry. 2021; 13(8):1377. https://doi.org/10.3390/sym13081377
Chicago/Turabian StyleAbu Khurma, Ruba, Iman Almomani, and Ibrahim Aljarah. 2021. "IoT Botnet Detection Using Salp Swarm and Ant Lion Hybrid Optimization Model" Symmetry 13, no. 8: 1377. https://doi.org/10.3390/sym13081377
APA StyleAbu Khurma, R., Almomani, I., & Aljarah, I. (2021). IoT Botnet Detection Using Salp Swarm and Ant Lion Hybrid Optimization Model. Symmetry, 13(8), 1377. https://doi.org/10.3390/sym13081377

