Evaluation of Shear Stress Transport, Large Eddy Simulation and Detached Eddy Simulation for the Flow around a Statically Loaded Tire
Abstract
1. Introduction
2. Geometry Model of the Loaded Tire
3. Wind Tunnel Experiment
4. Numerical Simulation Model
4.1. Turbulence Model
4.2. Computational Domain and Boundaries
4.3. Numerical Method
4.4. Computational Mesh
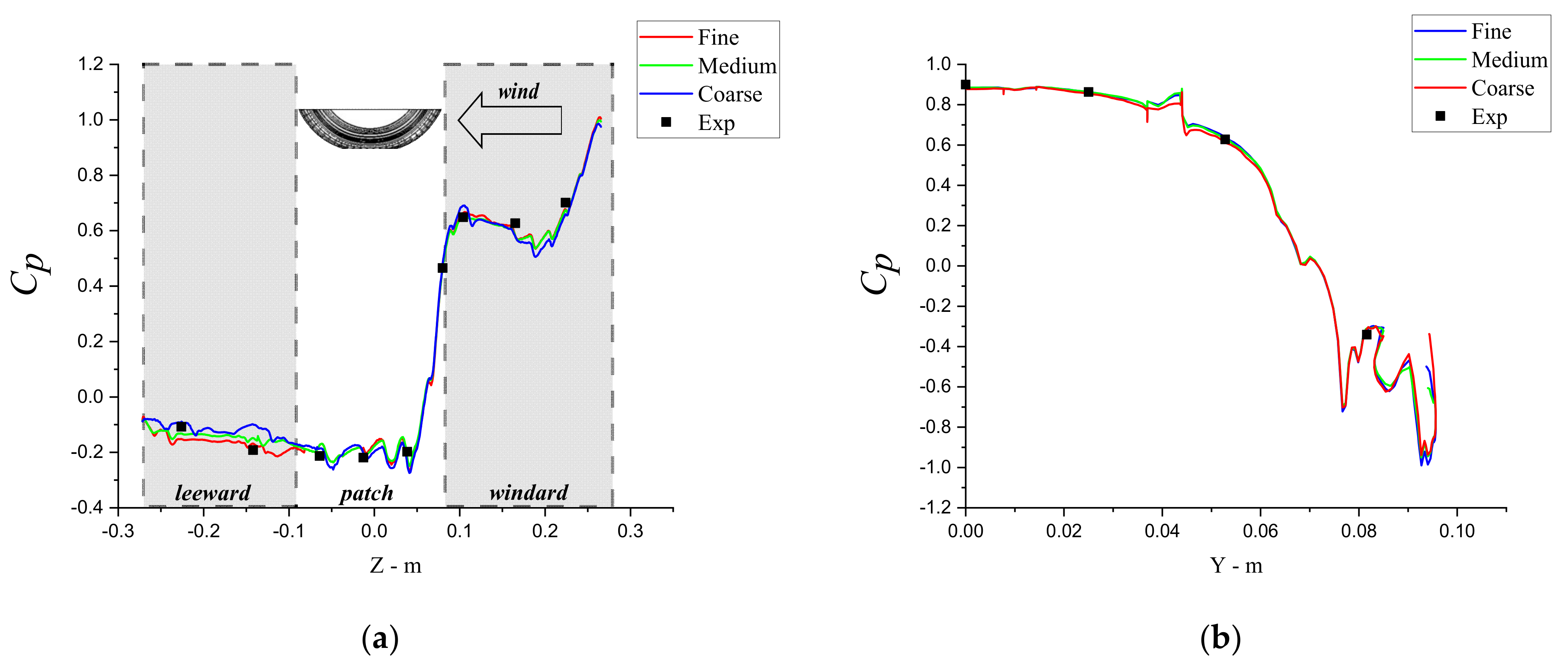
4.5. Mesh Sensitivity
5. Results and Discussion
5.1. Comparisons of Surface Pressure Coefficients
5.2. Comparisons of Flow Field Characteristics
6. Conclusions
Author Contributions
Funding
Institutional Review Board Statement
Informed Consent Statement
Data Availability Statement
Conflicts of Interest
References
- Hobeika, T.; Sebben, S. Tyre pattern features and their effects on passenger vehicle drag. SAE Int. J. Passeng. Cars-Mech. Syst. 2018, 11, 401–413. [Google Scholar] [CrossRef]
- Kawamata, H.S.; Kuroda, S.T.; Oshima, M. Improvement of Practical Electric Consumption by Drag Reducing under cross Wind; SAE Techical Paper 2016-01-1626; SAE International: Warrendale, PA, USA, 2016. [Google Scholar]
- Wickern, G.; Zwicker, K.; Pfadenhauer, M. Rotating wheels-their impact on wind tunnel test techniques and on vehicle drag results. SAE Trans. 1997, 106, 254–270. [Google Scholar]
- Brandt, A.; Berg, H.; Bolzon, M.; Josefsson, L. The Effects of Wheel Design on the Aerodynamic Drag of Passenger Vehicles; SAE Techical Paper 2019-01-0662; SAE International: Warrendale, PA, USA, 2019. [Google Scholar]
- Fackrell, J.E. The Aerodynamics of an Isolated Wheel Rotating in Contact with the Ground. Ph.D. Thesis, University of London, Landon, UK, 1974. [Google Scholar]
- Landström, C.; Walker, T.; Löfdahl, L. Effects of Ground Simulation on the Aerodynamic Coefficients of a Production Car in Yaw Cond; Techical Paper 2010-01-0755; SAE International: Warrendale, PA, USA, 2010. [Google Scholar]
- Wittemeier, F.; Willey, P.; Kuthada, T.; Widdecke, N.; Wiedemann, J. Classification of aerodynamic tyre characteristics. In Proceedings of the International Vehicle Aerodynamics Conference, Loughborough, UK, 14–15 October 2014. [Google Scholar]
- Hobeika, T.; Sebben, S.; Landstrom, C. Investigation of the influence of tyre geometry on the aerodynamics of passenger cars. SAE Int. J. Passeng. Cars-Mech. Syst. 2013, 6, 316–325. [Google Scholar] [CrossRef][Green Version]
- Breńkacz, Ł.; Bagiński, P.; Żywica, G. Experimental research on foil vibrations in a gas foil bearing carried out using an Ultra-High-Speed Camera. Appl. Sci. 2021, 11, 878. [Google Scholar] [CrossRef]
- Abdulwahab, M.R.; Ali, Y.H.; Habeeb, F.J.; Borhana, A.A.; Abdelrhman, A.M.; Al-Obaidi, S.M.A. A review in particle image velocimetry techniques (developments and applications). J. Adv. Res. Fluid Mech. Therm. Sci. 2020, 65, 213–229. [Google Scholar]
- Axon, L.; Garry, K.; Howell, J. An evaluation of CFD for modelling the flow around stationary and rotating isolated wheels. SAE Trans. 1998, 107, 205–215. [Google Scholar]
- Wang, F.; Yin, Z.; Yan, S.; Zhan, J.; Friz, H.; Li, B.; Xie, W. Validation of Aerodynamic Simulation and Wind Tunnel Test of the New Buick Excelle GT. SAE Int. J. Passeng. Cars-Mech. Syst. 2017, 10, 195–202. [Google Scholar] [CrossRef]
- Link, A.; Widdecke, N.; Wittmeier, F.; Wiedemann, J. Measurement of the aerodynamic ventilation drag of passenger car wheels. ATZ Worldw. 2016, 118, 38–43. [Google Scholar] [CrossRef]
- Patel, C.B.; Goyal, S.; Gupta, B.; Saraswat, A. Aero-Acoustics Noise Prediction of 3d Treaded Tyre Using Cfd; SAE Techical Paper 2019-26-0362; SAE International: Warrendale, PA, USA, 2019. [Google Scholar]
- Schnepf, B.; Schütz, T.; Indinger, T. Further investigations on the flow around a rotating, isolated wheel with detailed tread pattern. SAE Int. J. Passeng. Cars-Mech. Syst. 2015, 8, 261–274. [Google Scholar] [CrossRef]
- Wei, Z.; Yang, W.; Xiao, R. Pressure fluctuation and flow characteristics in a two-stage double-suction centrifugal pump. Symmetry 2019, 11, 65. [Google Scholar] [CrossRef]
- Diasinos, S.; Doig, G.; Barber, T.J. On the interaction of a racing car front wing and exposed wheel. Aeronaut. J. 2014, 118, 1385–1407. [Google Scholar] [CrossRef]
- McManus, J.; Zhang, X. A computational study of the flow around an isolated wheel in contact with the ground. J. Fluid Eng. 2006, 128, 520–530. [Google Scholar] [CrossRef]
- Huang, M.; Zhou, H.; Li, K.; Wang, G. A calculational aero-acoustic study of spokes of an isolated nonpneumatic tire. Tire Sci. Tec. 2020, 48, 46–61. [Google Scholar] [CrossRef]
- Ramachandran, D.; Doig, G.C. Unsteady Flow around an Exposed Rotating Wheel. Ph.D. Thesis, University of New South Wales, Sydney, Austrailia, 2012. [Google Scholar]
- Salati, L. Detached Eddies Simulations on a Fully Exposed Rotating Wheel in Contact with a Moving Ground. Master’s Thesis, University of New South Wales, Sydney, Australia, 2012. [Google Scholar]
- Dassanayake, P.R.K.; Ramachandran, D.; Salati, L.; Barber, T.J.; Doig, G.C. Unsteady computational simulation of the flow structure of an isolated wheel in contact with the ground. In Proceedings of the 18th Australasian Fluid Mechanics Conference, Launceston, Australia, 3–7 December 2012. [Google Scholar]
- Wäschle, A. The Influence of Rotating Wheels on Vehicle Aerodynamics-Numerical and Experimental Investigations; SAE Techical Paper 2007-01-0107; SAE International: Warrendale, PA, USA, 2007. [Google Scholar]
- Zhou, H.; Wang, G.; Ding, Y.; Yang, J.; Liang, C.; Fu, J. Effect of friction model and tire maneuvering on tire-pavement contact stress. Adv. Mater. Sci. Eng. 2015, 2015, 1–11. [Google Scholar] [CrossRef]
- Zhou, H.; Jiang, Z.; Wang, G.; Zhang, S. Aerodynamic Characteristics of Isolated Loaded Tires with Different Tread Patterns, Experiment and Simulation. Chin. J. Mech. Eng. 2021, 34, 1–16. [Google Scholar] [CrossRef]
- Roul, R.; Kumar, A. Fluid-structure interaction of wind turbine blade using four different materials, numerical investigation. Symmetry 2020, 12, 1467. [Google Scholar] [CrossRef]
- Liu, Q.; Dong, Y.; Lai, H. Large eddy simulation of compressible parallel jet flow and comparison of four subgrid-scale models. J. Appl. Fluid. Mech. 2019, 12, 1599–1614. [Google Scholar] [CrossRef]
- Gritskevich, M.S.; Garbaruk, A.V.; Schütze, J.; Menter, F. Development of DDES and IDDES formulations for the k-ω shear stress transport model. Flow Turbul. Combust. 2012, 88, 431–449. [Google Scholar] [CrossRef]
- Parfett, A. Flow around Cambered and Yawed Pneumatic Tyres. Ph.D. Thesis, University of Cambridge, Cambridge, UK, 2020. [Google Scholar]
- Dubief, Y.; Delcayre, F. On coherent-vortex identification in turbulence. J. Turbul. 2000, 11, 1–23. [Google Scholar] [CrossRef]
- Wu, Y.; Zhang, W.; Wang, Y.; Zou, Z.; Chen, J. Energy dissipation analysis based on velocity gradient tensor decomposition. Phys. Fluids 2020, 32, 035114. [Google Scholar]



















| Mesh Type | Surface Cell Size | Thickness of First Boundary Layer | Number of Boundary Layers | Number of Total Cells | Time of 100 Iterations | Drag Coefficients |
|---|---|---|---|---|---|---|
| Coarse | 3~8 mm | 0.05 mm | 10 | 4.2 Million | 249.9 s | 0.407 |
| Medium | 1~5 mm | 0.05 mm | 10 | 8.8 Million | 534.4 s | 0.395 |
| Fine | 0.5~3 mm | 0.05 mm | 10 | 14.5 Million | 878.5 s | 0.394 |
Publisher’s Note: MDPI stays neutral with regard to jurisdictional claims in published maps and institutional affiliations. |
© 2021 by the authors. Licensee MDPI, Basel, Switzerland. This article is an open access article distributed under the terms and conditions of the Creative Commons Attribution (CC BY) license (https://creativecommons.org/licenses/by/4.0/).
Share and Cite
Zhou, H.; Li, H.; Chen, Q.; Zhang, L. Evaluation of Shear Stress Transport, Large Eddy Simulation and Detached Eddy Simulation for the Flow around a Statically Loaded Tire. Symmetry 2021, 13, 1319. https://doi.org/10.3390/sym13081319
Zhou H, Li H, Chen Q, Zhang L. Evaluation of Shear Stress Transport, Large Eddy Simulation and Detached Eddy Simulation for the Flow around a Statically Loaded Tire. Symmetry. 2021; 13(8):1319. https://doi.org/10.3390/sym13081319
Chicago/Turabian StyleZhou, Haichao, Huiyun Li, Qingyun Chen, and Lingxin Zhang. 2021. "Evaluation of Shear Stress Transport, Large Eddy Simulation and Detached Eddy Simulation for the Flow around a Statically Loaded Tire" Symmetry 13, no. 8: 1319. https://doi.org/10.3390/sym13081319
APA StyleZhou, H., Li, H., Chen, Q., & Zhang, L. (2021). Evaluation of Shear Stress Transport, Large Eddy Simulation and Detached Eddy Simulation for the Flow around a Statically Loaded Tire. Symmetry, 13(8), 1319. https://doi.org/10.3390/sym13081319
