Clues about the Nature of Multiquark States
Abstract
1. Rationale
2. Experimental Scenario and Theoretical Framework
2.1. Experimental Scenario
2.2. Theoretical Framework

3. Results
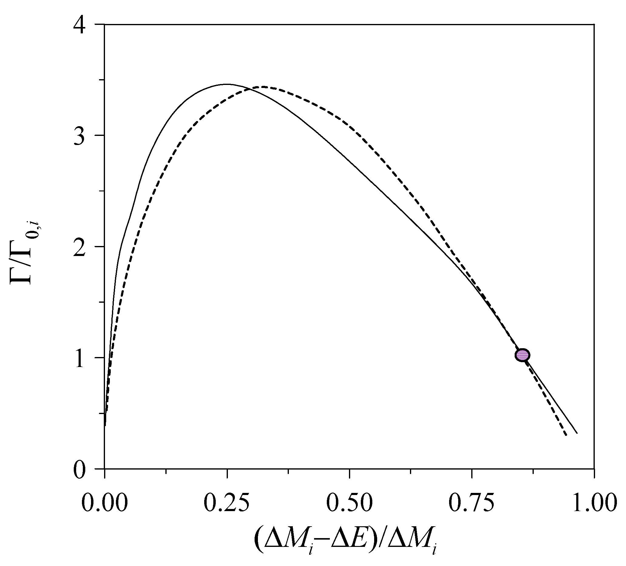
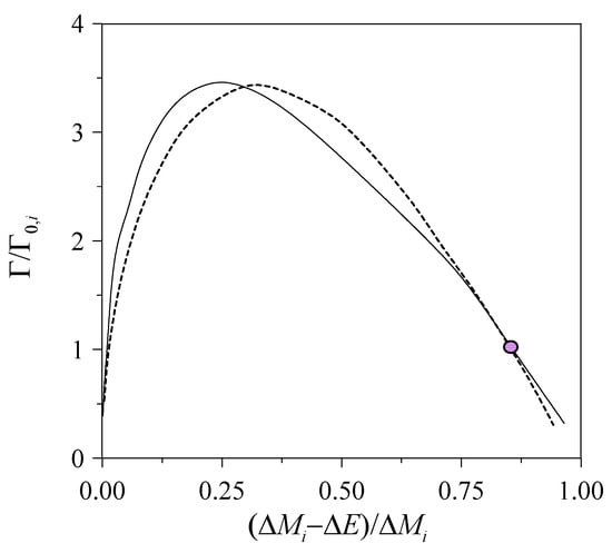
3.1. Dependence of the Decay Width on the Strength of the Transition Potential
3.2. Dependence of the Decay Width on
3.3. Dependence of the Decay Width on
3.4. Dependence of the Decay Width on
4. Outlook
Author Contributions
Funding
Institutional Review Board Statement
Informed Consent Statement
Data Availability Statement
Conflicts of Interest
References
- Liu, Y.-R.; Chen, H.-X.; Chen, W.; Liu, X.; Zhu, S.-L. Pentaquark and Tetraquark States. Prog. Part. Nucl. Phys. 2019, 107, 237–320. [Google Scholar] [CrossRef]
- Aaij, R.; Adeva, B.; Adinolfi, M.; Affolder, A.; Ajaltouni, Z.; Akar, S.; Albrecht, J.; Alessio, F.; Alexander, M.; Ali, S.; et al. (LHCb Collaboration). Observation of J/ψp Resonances Consistent with Pentaquark States in →J/ψK-p Decays. Phys. Rev. Lett. 2015, 115, 072001. [Google Scholar] [CrossRef]
- Aaij, R.; Abellán Beteta, C.; Adeva, B.; Adinolfi, M.; Aidala, C.A.; Ajaltouni, Z.; Akar, S.; Albicocco, P.; Albrecht, J.; Alessio, F.; et al. (LHCb Collaboration). Observation of a Narrow Pentaquark State, Pc(4312)+, and of the Two-Peak Structure of the Pc(4450)+. Phys. Rev. Lett. 2019, 122, 222001. [Google Scholar] [CrossRef]
- Brau, F.; Semay, C.; Silvestre-Brac, B. Unified meson-baryon potential. Phys. Rev. C 2002, 66, 055202. [Google Scholar] [CrossRef]
- Isgur, N. Beyond the adiabatic approximation: The impact of thresholds on the hadronic spectrum. Phys. Rev. D 1999, 60, 054013. [Google Scholar] [CrossRef]
- Ablikim, M.; Achasov, M.N.; Adlarson, P.; Ahmed, S.; Albrecht, M.; Aliberti, R.; Amoroso, A.; An, Q.; Anita; Bai, X.H.; et al. (BESIII Collaboration). Observation of a Near-Threshold Structure in the K+ Recoil-Mass Spectra in e+e−→K+( + D0). Phys. Rev. Lett. 2021, 126, 102001. [Google Scholar] [CrossRef]
- Fredriksson, S.; Jande, M. Diquark Deuteron. Phys. Rev. Lett. 1982, 48, 14–16. [Google Scholar] [CrossRef]
- Vijande, J.; Valcarce, A. Probabilities in nonorthogonal bases: Four-quark systems. Phys. Rev. C 2009, 80, 035204. [Google Scholar] [CrossRef]
- Richard, J.-M.; Valcarce, A.; Vijande, J. Stable heavy pentaquarks in constituent models. Phys. Lett. B 2017, 774, 710–714. [Google Scholar] [CrossRef]
- Close, F. The End of the Constituent Quark Model? AIP Conf. Proc. 2004, 717, 919–936. [Google Scholar]
- Weinstein, J.D.; Isgur, N. K molecules. Phys. Rev. D 1990, 41, 2236–2257. [Google Scholar] [CrossRef]
- Zyla, P.A.; Barnett, R.M.; Beringer, J.; Bonventre, R.J.; Dahl, O.; Dwyer, D.A.; Groom, D.E.; Lin, C.-J.; Lugovsky, K.S.; Pianori, E.; et al. (Particle Data Group). Review of Particle Physics. Prog. Theor. Exp. Phys. 2020, 2020, 083C01. [Google Scholar]
- Braaten, E.; Kusunoki, M. Low-energy universality and the new charmonium resonance at 3870 MeV. Phys. Rev. D 2004, 69, 074005. [Google Scholar] [CrossRef]
- Pilloni, A. Exotic Hadrons as Feshbach Resonances. Act. Phys. Pol. B Proc. Supp. 2014, 7, 463. [Google Scholar] [CrossRef]
- Caramés, T.F.; Valcarce, A.; Vijande, J. Too many X’s, Y’s and Z’s? Phys. Lett. B 2012, 709, 358–361. [Google Scholar] [CrossRef]
- Malfliet, R.A.; Tjon, J.A. Solution of the Faddeev equations for the triton problem using local two particle interactions. Nucl. Phys. A 1969, 127, 161–168. [Google Scholar] [CrossRef]
- Filikhin, I.; Suslov, V.M.; Vlahovic, B. Faddeev calculations for light Ξ−hypernuclei. Math. Model. Geom. 2017, 5, 1–11. [Google Scholar]
- Breit, G.; Wigner, E. Capture of Slow Neutrons. Phys. Rev. 1936, 49, 519–531. [Google Scholar] [CrossRef]
- Ceci, S.; Švarc, A.; Zauner, B.; Manley, D.M.; Capstick, S. Model-independent resonance parameter extraction using the trace of K and T matrices. Phys. Lett. B 2008, 659, 228–233. [Google Scholar] [CrossRef][Green Version]
- Ceci, S.; Korolija, M.; Zauner, B. Model-Independent Extraction of the Pole and Breit-Wigner Resonance Parameters. Phys. Rev. Lett. 2013, 111, 112004. [Google Scholar] [CrossRef]
- Garcilazo, H.; Valcarce, A. Effect of thresholds on the width of three-body resonances. Phys. Lett. B 2017, 772, 394–397. [Google Scholar] [CrossRef]
- Garcilazo, H.; Valcarce, A. Width of a two-body coupled-channel resonance. Eur. Phys. J. C 2018, 78, 259. [Google Scholar] [CrossRef]
- Burns, T.J. Phenomenology of Pc(4380)+, Pc(4450)+ and related states. Eur. Phy. J. A 2015, 51, 152. [Google Scholar] [CrossRef]
- Wu, J.-J.; Lee, T.-S.H.; Zou, B.S. Nucleon resonances with hidden charm in coupled-channels models. Phys. Rev. C 2012, 85, 044002. [Google Scholar] [CrossRef]
- Karliner, M.; Rosner, J.L. Strange pentaquarks and excited Ξ hyperons in Ξb→J/ψΛK− final states. To appear in Science Bulletin. arXiv 2021, arXiv:2104.15077. [Google Scholar]
- Chen, R.; Liu, X.; Li, X.-Q.; Zhu, S.-L. Identifying Exotic Hidden-Charm Pentaquarks. Phys. Rev. Lett. 2015, 115, 132002. [Google Scholar] [CrossRef]
- Karliner, M.; Rosner, J.L. New Exotic Meson and Baryon Resonances from Doubly Heavy Hadronic Molecules. Phys. Rev. Lett. 2015, 115, 122001. [Google Scholar] [CrossRef]
- Choi, S.K.; Olsen, S.L.; Abe, K.; Abe, T.; Adachi, I.; Ahn, B.S.; Aihara, H.; Akai, K.; Akatsu, M.; Akemoto, M.; et al. (Belle Collaboration). Observation of a Narrow Charmoniumlike State in Exclusive B±→K±π+π−J/ψ Decays. Phys. Rev. Lett. 2003, 91, 262001. [Google Scholar] [CrossRef]
- Meng, C.; Sanz-Cillero, J.J.; Shi, M.; Yao, D.-L.; Zheng, H.-Q. Refined analysis on the X(3872) resonance. Phys. Rev. D 2015, 92, 034020. [Google Scholar] [CrossRef]
- Braaten, E.; Lu, M. Effects of charged charm mesons on the line shapes of the X(3872). Phys. Rev. D 2008, 77, 014029. [Google Scholar] [CrossRef]






| State | M (MeV) | (MeV) | Phase Space (MeV) |
|---|---|---|---|
| 345 ± 30 | |||
| 276.7 ± 6.8 | |||
| 405.1 ± 4.9 | |||
| 422.1 ± 4.1 |
| 11 | 100 | 3000 | ||
| 22 | 680 | 642 | ||
| 200 | 195 |
Publisher’s Note: MDPI stays neutral with regard to jurisdictional claims in published maps and institutional affiliations. |
© 2021 by the authors. Licensee MDPI, Basel, Switzerland. This article is an open access article distributed under the terms and conditions of the Creative Commons Attribution (CC BY) license (https://creativecommons.org/licenses/by/4.0/).
Share and Cite
Garcilazo, H.; Valcarce, A. Clues about the Nature of Multiquark States. Symmetry 2021, 13, 1171. https://doi.org/10.3390/sym13071171
Garcilazo H, Valcarce A. Clues about the Nature of Multiquark States. Symmetry. 2021; 13(7):1171. https://doi.org/10.3390/sym13071171
Chicago/Turabian StyleGarcilazo, Humberto, and Alfredo Valcarce. 2021. "Clues about the Nature of Multiquark States" Symmetry 13, no. 7: 1171. https://doi.org/10.3390/sym13071171
APA StyleGarcilazo, H., & Valcarce, A. (2021). Clues about the Nature of Multiquark States. Symmetry, 13(7), 1171. https://doi.org/10.3390/sym13071171

