Bayesian Inference for the Parameters of Kumaraswamy Distribution via Ranked Set Sampling
Abstract
:1. Introduction
2. Estimations of the Parameters Using SRS
2.1. Maximum Likelihood Estimations Based on SRS
2.2. Bayes Estimations Based on SRS
| Algorithm 1 The Metropolis-Hastings-within-Gibbs algorithm |
Input:M: total number of iterations. Output:, and . Initial , and . while do Generate and from and , two normal distributions, where and are diagonal elements of the variance–covariance matrix. Generate from the Uniform distribution . if then . Here, is the probability density of . else Generate from the Uniform distribution . if then . Here, is the probability density of . else |
3. Estimations of the Parameters Using RSS
3.1. Maximum Likelihood Estimations Based on RSS
3.2. Bayes Estimations Based on RSS
4. Estimations of the Parameters Using MRSSU
4.1. Maximum Likelihood Estimations Based on MRSSU
4.2. Bayes Estimations Based on MRSSU
5. Simulation Result
| Algorithm 2 The random number generator for based on SRS |
Input:, and s. Output:. initial . while do Generate . |
| Algorithm 3 The random number generator for based on RSS |
Input:, , n and m. Output:. initial and . while do while do Use Algorithm 2 (input ) to generate . Rank from smallest to largest to get . . . . |
| Algorithm 4 The random number generator for based on MRSSU |
Input:, , n and m. Output:. initial and . while do while do Use Algorithm 2 (input ) to generate . Rank from smallest to largest to get . . . . |
- Scheme I (Sch I):
- Scheme II (Sch II):
- Scheme III (Sch II):
- Prior 1:
- Prior 2:
6. Data Analysis
7. Conclusions
Author Contributions
Funding
Data Availability Statement
Conflicts of Interest
References
- Kumaraswamy, P. A generalized probability density function for double-bounded random processes. J. Hydrol. 2008, 46, 79–88. [Google Scholar] [CrossRef]
- Jones, M.C. Kumaraswamy’s distribution: A beta-type distribution with some tractability advantages. Stat. Methodol. 2009, 6, 70–81. [Google Scholar] [CrossRef]
- Ponnambalam, K.; Seifi, A.; Vlach, J. Probabilistic design of systems with general distributions of parameters. J. Abbr. 2001, 29, 527–536. [Google Scholar] [CrossRef]
- Dey, S.; Mazucheli, J.; Nadarajah, S. Kumaraswamy distribution: Different methods of estimation. Comput. Appl. Math. 2018, 37, 2094–2111. [Google Scholar] [CrossRef]
- Sindhu, T.N.; Feroze, N.; Aslam, M. Bayesian analysis of the Kumaraswamy distribution under failure censoring sampling scheme. Int. J. Adv. Sci. Technol. 2013, 51, 39–58. [Google Scholar]
- Abd El-Monsef, M.M.E.; Hassanein, W.A.A.E.L. Assessing the lifetime performance index for Kumaraswamy distribution under first-failure progressive censoring scheme for ball bearing revolutions. Qual. Reliab. Eng. Int. 2020, 36, 1086–1097. [Google Scholar] [CrossRef]
- Gholizadeh, R.; Khalilpor, M.; Hadian, M. Bayesian estimations in the Kumaraswamy distribution under progressively type II censoring data. Int. J. Eng. Sci. Technol. 2011, 3, 47–65. [Google Scholar] [CrossRef] [Green Version]
- Sultana, F.; Tripathi, Y.M.; Rastogi, M.K.; Wu, S.J. Parameter estimation for the Kumaraswamy distribution based on hybrid censoring. Am. J. Math. Manag. Sci. 2018, 37, 243–261. [Google Scholar] [CrossRef]
- Kohansal, A.; Nadarajah, S. Stress–strength parameter estimation based on type-II hybrid progressive censored samples for a Kumaraswamy distribution. IEEE Trans. Reliab. 2019, 68, 1296–1310. [Google Scholar] [CrossRef]
- Sultana, F.; Tripathi, Y.M.; Wu, S.J.; Sen, T. Inference for Kumaraswamy Distribution Based on Type I Progressive Hybrid Censoring. Ann. Data Sci. 2020, 1–25. [Google Scholar] [CrossRef]
- Tu, J.; Gui, W. Bayesian Inference for the Kumaraswamy Distribution under Generalized Progressive Hybrid Censoring. Entropy 2020, 22, 1032. [Google Scholar] [CrossRef]
- Saulo, H.; Leão, J.; Bourguignon, M. The kumaraswamy birnbaum-saunders distribution. J. Stat. Theory Pract. 2012, 6, 745–759. [Google Scholar] [CrossRef]
- Iqbal, Z.; Tahir, M.M.; Riaz, N.; Ali, S.A.; Ahmad, M. Generalized Inverted Kumaraswamy Distribution: Properties and Application. Open J. Stat. 2017, 7, 645. [Google Scholar] [CrossRef] [Green Version]
- Khan, M.S.; King, R.; Hudson, I.L. Transmuted kumaraswamy distribution. Stat. Transit. New Ser. 2016, 17, 183–210. [Google Scholar] [CrossRef]
- McIntyre, G.A. A method for unbiased selective sampling, using ranked sets. Aust. J. Agric. Res. 1952, 3, 385–390. [Google Scholar] [CrossRef]
- McIntyre, G.A. Ranked set sampling: Ranking error models and estimation of visual judgment error variance. Biom. J. J. Math. Methods Biosci. 2004, 46, 255–263. [Google Scholar]
- Al-Saleh, M.F.; Al-Hadrami, S.A. Parametric estimation for the location parameter for symmetric distributions using moving extremes ranked set sampling with application to trees data. Environmetrics Off. J. Int. Environmetrics Soc. 2003, 14, 651–664. [Google Scholar] [CrossRef]
- Mahmood, T. On developing linear profile methodologies: A ranked set approach with engineering application. J. Eng. Res. 2020, 8, 203–225. [Google Scholar]
- Sevil, Y.C.; Yildiz, T.Ö. Performances of the Distribution Function Estimators Based on Ranked Set Sampling Using Body Fat Data. Türkiye Klin. Biyoistatistik 2020, 12, 218–228. [Google Scholar] [CrossRef]
- Bocci, C.; Petrucci, A.; Rocco, E. Ranked set sampling allocation models for multiple skewed variables: An application to agricultural data. Environ. Ecol. Stat. 2010, 17, 333–345. [Google Scholar] [CrossRef]
- Biradar, B.S.; Santosha, C.D. Estimation of the mean of the exponential distribution using maximum ranked set sampling with unequal samples. Open J. Stat. 2014, 4, 641. [Google Scholar] [CrossRef] [Green Version]
- Provost, F.; Fawcett, T. Data science and its relationship to Big Data and data-driven decision making. Big Data 2013, 1, 51–59. [Google Scholar] [CrossRef]
- Liang, F.; Paulo, R.; Molina, G.; Clyde, M.A.; Berger, J.O. Mixtures of g priors for Bayesian variable selection. J. Am. Stat. Assoc. 2008, 103, 410–423. [Google Scholar] [CrossRef]
- Caraka, R.E.; Yusra, Y.; Toharudin, T.; Chen, R.C.; Basyuni, M.; Juned, V.; Gio, P.U.; Pardamean, B. Did Noise Pollution Really Improve during COVID-19? Evidence from Taiwan. Sustainability 2021, 13, 5946. [Google Scholar] [CrossRef]
- Salimans, T.; Kingma, D.; Welling, M. Markov chain monte carlo and variational inference: Bridging the gap. In Proceedings of the 32nd International Conference on Machine Learning, Lille, France, 7–9 July 2015; pp. 1218–1226. [Google Scholar]
- Dellaportas, P.; Forster, J.J.; Ntzoufras, I. On Bayesian model and variable selection using MCMC. Stat. Comput. 2002, 12, 27–36. [Google Scholar] [CrossRef]
- Caraka, R.E.; Nugroho, N.T.; Tai, S.K.; Chen, R.C.; Toharudin, T.; Pardamean, B. Feature importance of the aortic anatomy on endovascular aneurysm repair (EVAR) using Boruta and Bayesian MCMC. Commun. Math. Biol. Neurosci. 2020. [Google Scholar] [CrossRef]
- Rabinovich, M.; Angelino, E.; Jordan, M.I. Variational consensus monte carlo. arXiv 2015, arXiv:1506.03074. [Google Scholar]
- Biradar, B.S.; Santosha, C.D. Point estimation under asymmetric loss functions for left-truncated exponential samples. Commun. Stat. Theory Methods 1996, 25, 585–600. [Google Scholar]
- Brooks, S.; Gelman, A.; Jones, G.; Meng, X.L. (Eds.) Handbook of Markov Chain Monte Carlo; Chapman & Hall/CRC: Boca Raton, FL, USA, 2011. [Google Scholar]
- Query Monthly CDEC Senser Values. Available online: http://cdec.water.ca.gov/dynamicapp/QueryMonthly?SHA (accessed on 19 June 2021).
- Kohansal, A. On estimation of reliability in a multicomponent stress-strength model for a Kumaraswamy distribution based on progressively censored sample. Stat. Pap. 2019, 60, 2185–2224. [Google Scholar] [CrossRef]




| Prior 1 | Prior 2 | ||||||
|---|---|---|---|---|---|---|---|
| Sch | |||||||
| I | 0.33258 | 0.00131 | 0.02179 | 0.33258 | 0.00131 | 0.02179 | |
| 0.12084 | 0.00081 | 0.00917 | 0.12084 | 0.00081 | 0.00917 | ||
| 0.23573 | 0.00105 | 0.01709 | 0.23573 | 0.00105 | 0.01709 | ||
| 0.04925 | 0.00028 | 0.00431 | 0.03844 | 0.00017 | 0.00283 | ||
| 0.01714 | 0.00009 | 0.00145 | 0.03685 | −0.00002 | −0.00275 | ||
| 0.05559 | 0.00031 | 0.00490 | 0.04485 | 0.00020 | 0.00329 | ||
| 0.10457 | −0.01131 | −0.03820 | 0.00771 | −0.01242 | −0.04922 | ||
| 0.14151 | −0.01752 | −0.06034 | 0.00570 | −0.01931 | −0.07688 | ||
| 0.03985 | −0.00752 | −0.02751 | 0.00275 | 0.00051 | 0.00854 | ||
| 0.05557 | −0.01155 | −0.04255 | 0.00454 | 0.00009 | 0.00151 | ||
| 0.12459 | −0.01318 | −0.04421 | 0.00655 | −0.01448 | −0.05755 | ||
| 0.17223 | −0.02058 | −0.07027 | 0.00578 | −0.02269 | −0.09039 | ||
| II | 0.16951 | 0.00073 | 0.01196 | 0.16951 | 0.00073 | 0.01196 | |
| 0.06586 | 0.00036 | 0.00562 | 0.06586 | 0.00036 | 0.00562 | ||
| 0.35101 | 0.00128 | 0.02183 | 0.35101 | 0.00128 | 0.02183 | ||
| 0.01419 | 0.00002 | 0.00035 | 0.01412 | 0.00003 | 0.00108 | ||
| 0.00415 | 0.00002 | 0.00034 | 0.00780 | 0.00003 | 0.00060 | ||
| 0.01762 | 0.00003 | 0.00140 | 0.01892 | 0.00003 | 0.00140 | ||
| 0.01019 | −0.00410 | −0.03393 | 0.00338 | 0.00338 | −0.02753 | ||
| 0.01446 | −0.00621 | −0.02395 | 0.00191 | −0.01058 | −0.04220 | ||
| 0.00980 | −0.00414 | −0.01595 | 0.00294 | −0.00414 | −0.01640 | ||
| 0.01392 | −0.00628 | −0.02425 | 0.00189 | −0.00630 | −0.02508 | ||
| 0.04336 | −0.00524 | −0.01817 | 0.00572 | −0.00834 | −0.03303 | ||
| 0.05446 | −0.00802 | −0.02853 | 0.00335 | −0.01278 | −0.05094 | ||
| III | 0.10675 | 0.00047 | 0.00771 | 0.10675 | 0.00047 | 0.00771 | |
| 0.04229 | 0.00018 | 0.00297 | 0.04229 | 0.00018 | 0.00297 | ||
| 0.11766 | 0.00050 | 0.00826 | 0.11766 | 0.00050 | 0.00826 | ||
| 0.00471 | 0.00002 | 0.00039 | 0.00979 | 0.00005 | 0.00075 | ||
| 0.00151 | 0.00001 | 0.00012 | 0.00385 | 0.00002 | 0.00030 | ||
| 0.00539 | 0.00003 | 0.00045 | 0.01398 | 0.00007 | 0.00106 | ||
| 0.01262 | −0.00481 | −0.01843 | 0.00290 | −0.00492 | −0.01951 | ||
| 0.01829 | −0.00729 | −0.02800 | 0.00141 | −0.00747 | −0.02979 | ||
| 0.00272 | −0.00241 | −0.00949 | 0.00188 | −0.00246 | −0.00972 | ||
| 0.00377 | −0.00364 | −0.01434 | 0.00137 | −0.00371 | −0.01478 | ||
| 0.01673 | −0.00634 | −0.02429 | 0.00467 | −0.00636 | −0.02518 | ||
| 0.02541 | −0.00964 | −0.03693 | 0.00332 | −0.00971 | −0.03863 | ||
| Prior 1 | Prior 2 | ||||||
|---|---|---|---|---|---|---|---|
| Sch | |||||||
| I | 2.37421 | 0.00343 | 0.05927 | 2.37421 | 0.00343 | 0.05927 | |
| 1.12385 | 0.00194 | 0.03238 | 1.12385 | 0.00194 | 0.03238 | ||
| 1.99733 | 0.00272 | 0.04797 | 1.99733 | 0.00272 | 0.04797 | ||
| 0.15955 | 0.00041 | 0.00637 | 0.03588 | 0.00016 | 0.00266 | ||
| 0.04230 | 0.00010 | 0.00161 | 0.02347 | 0.00019 | 0.00305 | ||
| 0.10521 | 0.00026 | 0.00410 | 0.02668 | 0.00020 | 0.00832 | ||
| 0.43958 | 0.00124 | 0.01880 | 0.00559 | −0.01232 | −0.04897 | ||
| 0.62414 | 0.00184 | 0.02772 | 0.03803 | −0.01913 | 0.00338 | ||
| 0.17473 | 0.00045 | 0.00699 | 0.02328 | 0.00005 | 0.00078 | ||
| 0.27543 | 0.00074 | 0.01132 | 0.01070 | 0.00002 | 0.00037 | ||
| 0.26804 | 0.00071 | 0.01097 | 0.00438 | 0.00009 | 0.00145 | ||
| 0.37350 | 0.00103 | 0.01569 | 0.01455 | 0.00003 | 0.00051 | ||
| II | 1.26192 | 0.00197 | 0.03353 | 1.26192 | 0.00197 | 0.03353 | |
| 0.68806 | 0.00133 | 0.02158 | 0.68806 | 0.00133 | 0.02158 | ||
| 0.72587 | 0.00119 | 0.02018 | 0.72587 | 0.00119 | 0.02018 | ||
| 0.01329 | 0.00003 | 0.00041 | 0.13983 | 0.00027 | 0.00451 | ||
| 0.01275 | 0.00003 | 0.00046 | 0.04482 | 0.00009 | 0.00150 | ||
| 0.16008 | 0.00041 | 0.00632 | 0.10902 | 0.00022 | 0.00355 | ||
| 0.04799 | 0.00012 | 0.00182 | 0.02237 | 0.00004 | 0.00076 | ||
| 0.08076 | 0.00020 | 0.00311 | 0.01030 | 0.00002 | 0.00037 | ||
| 0.04567 | 0.00011 | 0.00173 | 0.01499 | 0.00003 | 0.00051 | ||
| 0.07689 | 0.00019 | 0.00296 | 0.00846 | 0.00002 | 0.00029 | ||
| 0.22118 | 0.00058 | 0.00891 | 0.02932 | 0.00006 | 0.00099 | ||
| 0.25489 | 0.00067 | 0.01037 | 0.01246 | 0.00003 | 0.00043 | ||
| III | 0.81074 | 0.00133 | 0.02246 | 0.81074 | 0.00133 | 0.02246 | |
| 0.38513 | 0.00063 | 0.01078 | 0.38513 | 0.00063 | 0.01078 | ||
| 0.36866 | 0.00065 | 0.01086 | 0.36866 | 0.00065 | 0.01086 | ||
| 0.01318 | 0.00003 | 0.00048 | 0.09251 | 0.00019 | 0.00303 | ||
| 0.00837 | 0.00002 | 0.00029 | 0.04482 | 0.00009 | 0.00150 | ||
| 0.00648 | 0.00001 | 0.00024 | 0.05312 | 0.00011 | 0.00177 | ||
| 0.05844 | 0.00014 | 0.00222 | 0.02002 | 0.00004 | 0.00068 | ||
| 0.09552 | 0.00024 | 0.00369 | 0.00864 | 0.00002 | 0.00027 | ||
| 0.01207 | 0.00003 | 0.00044 | 0.01499 | 0.00003 | 0.00051 | ||
| 0.02035 | 0.00005 | 0.00076 | 0.00846 | 0.00002 | 0.00029 | ||
| 0.02507 | 0.00006 | 0.00093 | 0.01819 | 0.00004 | 0.00062 | ||
| 0.04058 | 0.00010 | 0.00153 | 0.01013 | 0.00002 | 0.00035 | ||
| Sch I | Sch II | Sch III | |||||
|---|---|---|---|---|---|---|---|
| Prior 1 | Prior 2 | Prior 1 | Prior 2 | Prior 1 | Prior 2 | ||
| 0.19579 | 0.19579 | 0.11436 | 0.11436 | 0.07990 | 0.07990 | ||
| 0.01481 | 0.01481 | −0.03723 | −0.03723 | 0.08278 | 0.08278 | ||
| 0.27745 | 0.27745 | 0.23564 | 0.23564 | 0.06968 | 0.06968 | ||
| −0.21754 | 0.17919 | −0.05602 | 0.39769 | 0.00072 | 0.01207 | ||
| −0.12415 | 0.12508 | −0.04968 | 0.07709 | −0.01269 | 0.05220 | ||
| −0.23146 | 0.19954 | −0.15661 | 0.13700 | −0.06227 | 0.10258 | ||
| −0.32079 | 0.04867 | −0.09597 | 0.03841 | 0.00008 | 0.00128 | ||
| −0.37407 | −0.01978 | −0.11622 | 0.02221 | 0.00005 | 0.00083 | ||
| −0.19536 | 0.04063 | −0.09013 | 0.03437 | −0.03666 | 0.02706 | ||
| −0.23210 | −0.00288 | −0.11065 | 0.01261 | −0.04872 | 0.01440 | ||
| −0.35044 | 0.04562 | −0.20646 | 0.04950 | −0.12353 | 0.03653 | ||
| −0.41286 | −0.03652 | −0.23177 | 0.00462 | −0.15466 | 0.00285 | ||
| 1.69497 | 1.69497 | 1.40003 | 1.40003 | 1.27305 | 1.27305 | ||
| 1.33270 | 1.33270 | 0.95901 | 0.95901 | 1.30379 | 1.30379 | ||
| 1.78535 | 1.78535 | 1.28706 | 1.28706 | 1.12851 | 1.12851 | ||
| 0.61670 | 1.59981 | 0.93841 | 1.35343 | 0.91070 | 1.28659 | ||
| 0.82073 | 1.49472 | 0.95462 | 1.28311 | 1.02437 | 1.19320 | ||
| 0.68632 | 1.49294 | 0.60187 | 1.31290 | 0.94643 | 1.20825 | ||
| 0.34293 | 1.13545 | 0.79448 | 1.10523 | 0.76734 | 1.11028 | ||
| 0.21402 | 0.91883 | 0.72510 | 0.98570 | 0.69741 | 1.02464 | ||
| 0.59145 | 1.15289 | 0.80882 | 1.11194 | 0.93065 | 1.08869 | ||
| 0.48205 | 0.99292 | 0.73861 | 1.02884 | 0.88508 | 1.03786 | ||
| 0.48677 | 1.16497 | 0.53130 | 1.14034 | 0.85229 | 1.09794 | ||
| 0.39222 | 1.01070 | 0.49659 | 1.05758 | 0.80657 | 1.04437 | ||
| Sch | ||||||||||
|---|---|---|---|---|---|---|---|---|---|---|
| I | 0.3633 | 0.5126 | 0.7088 | 0.6148 | 0.7656 | 0.8030 | 0.4208 | 0.5364 | 0.7845 | |
| II | 0.3885 | 0.1876 | 2.0708 | 0.4924 | 0.2800 | 1.7585 | 0.4696 | 0.2573 | 1.8249 | |
| III | 0.3962 | 0.3594 | 1.1022 | 0.3806 | 0.3588 | 1.0609 | 0.3853 | 0.3599 | 1.0705 | |
| I | 0.4734 | 0.5627 | 0.8413 | 0.5661 | 0.7139 | 0.8094 | 0.5463 | 0.6749 | 0.8094 | |
| II | 0.5453 | 0.9479 | 0.5752 | 0.6750 | 0.2800 | 0.6019 | 0.6435 | 1.0691 | 0.6019 | |
| III | 0.4750 | 1.0447 | 0.4547 | 0.4766 | 0.3588 | 0.4837 | 0.4801 | 1.0447 | 0.4837 | |
| (Sch, | ||||||||||
|---|---|---|---|---|---|---|---|---|---|---|
| Prior) | ||||||||||
| (I,1) | 0.3480 | 0.3083 | 1.1287 | 0.3257 | 0.2865 | 1.1367 | 0.3366 | 0.2966 | 1.1350 | |
| (II,2) | 0.2926 | 0.2356 | 1.2418 | 1.0000 | 0.6055 | 1.6514 | 0.9908 | 0.0243 | 4.0755 | |
| (III,3) | 0.3962 | 0.3594 | 1.1022 | 0.3806 | 0.3588 | 1.0609 | 0.3853 | 0.3599 | 1.0705 | |
| (I,1) | 0.9585 | 0.8215 | 1.1668 | −0.1225 | −0.1051 | 1.1654 | −0.9733 | −0.8349 | 1.1658 | |
| (II,2) | 0.5523 | 0.4122 | 1.3400 | 1.0000 | 0.9083 | 1.1010 | 0.5566 | 0.0425 | 1.3105 | |
| (III,3) | 0.0832 | 0.2752 | 1.4285 | 0.0999 | 0.2857 | 1.4000 | 0.0910 | 0.2815 | 1.4110 | |
| (I,1) | 0.2651 | 0.4021 | 0.6594 | 0.2502 | 0.3916 | 0.6390 | 0.2534 | 0.3938 | 0.6434 | |
| (II,2) | 0.9595 | 0.0796 | 0.5752 | 0.9660 | 0.0712 | 0.6057 | 1.1146 | 0.0729 | 0.6019 | |
| (III,3) | 0.6350 | 1.2926 | 0.4547 | 0.5832 | 1.1975 | 0.4870 | 0.5938 | 1.2170 | 0.4879 | |
| (I,1) | 0.6541 | 0.8795 | 0.7437 | 1.1437 | 0.9243 | 1.2373 | 1.1467 | 0.3669 | 3.1257 | |
| (II,2) | 0.3205 | 0.4111 | 0.5752 | 0.3281 | 0.4147 | 0.6057 | 0.3322 | 0.4213 | 0.6019 | |
| (III,3) | 0.4844 | 0.8437 | 0.5742 | 0.4967 | 0.8484 | 0.4886 | 0.4941 | 0.8474 | 0.4837 | |
| (Sch, | ||||||||||
|---|---|---|---|---|---|---|---|---|---|---|
| Prior) | ||||||||||
| (I,1) | 0.3811 | 0.3198 | 1.1915 | 0.6647 | 0.5706 | 1.1650 | 0.7202 | 0.6222 | 1.1576 | |
| (II,2) | 0.9619 | 0.2260 | 4.2562 | 1.0104 | 0.7897 | 1.2794 | 0.4702 | 0.8779 | 0.5356 | |
| (III,3) | 0.2156 | 0.1626 | 1.3259 | 0.5025 | 0.3811 | 1.3186 | 0.5150 | 0.3908 | 1.3178 | |
| (I,1) | 0.3566 | 0.4198 | 0.8493 | −0.0415 | −0.0355 | 1.1664 | −0.1735 | −0.1484 | 1.1692 | |
| (II,2) | 0.8711 | 0.5138 | 1.6955 | −1.2269 | 0.4966 | −2.4703 | 0.5957 | 0.4964 | 1.1999 | |
| (III,3) | 0.6479 | 0.4020 | 1.6118 | 0.4994 | 0.3862 | 1.2931 | 0.4981 | 0.3860 | 1.2904 | |
| (I,1) | 0.3975 | 0.6519 | 0.6098 | 0.3647 | 0.6328 | 0.5764 | 0.3715 | 0.6368 | 0.5834 | |
| (II,2) | 0.2066 | 0.2065 | 4.6084 | 0.1967 | 0.1913 | 4.9777 | 0.1987 | 0.1945 | 4.8962 | |
| (III,3) | 1.7247 | 0.4817 | 0.4289 | 1.0154 | 0.4706 | 0.4180 | 1.0181 | 0.4729 | 0.4203 | |
| (I,1) | 4.1662 | 5.3157 | 0.7838 | −0.0041 | 0.5556 | −0.0073 | −0.0160 | 0.5398 | −0.0296 | |
| (II,2) | 0.7485 | 1.2026 | 1.3109 | 0.7500 | 1.0000 | 1.5000 | 0.7488 | 1.1820 | 1.3004 | |
| (III,3) | 1.0061 | 0.8240 | 2.1054 | 1.2128 | 0.7500 | 2.0000 | 0.9806 | 0.8213 | 2.3211 | |
| (Sch, | ||||||||||
|---|---|---|---|---|---|---|---|---|---|---|
| Prior) | ||||||||||
| (I,1) | 0.3927 | 0.3226 | 1.2171 | 0.6589 | 0.5610 | 1.1745 | 0.7051 | 0.6055 | 1.1646 | |
| (II,2) | 0.9627 | 0.2557 | 3.7653 | 1.0108 | 0.7829 | 1.2910 | 1.0125 | 0.8498 | 1.1916 | |
| (III,3) | 0.2063 | 0.1485 | 1.3893 | 0.4998 | 0.3781 | 1.3220 | 0.5121 | 0.3884 | 1.3187 | |
| (I,1) | 0.7969 | 0.7857 | 1.0142 | −0.0047 | −0.0040 | 1.1751 | −0.0197 | −0.0167 | 1.1758 | |
| (II,2) | 0.9903 | 0.5641 | 1.7557 | 0.5954 | 0.4926 | 1.2086 | 0.5943 | 0.4924 | 1.2071 | |
| (III,3) | 0.9693 | 0.4124 | 2.3502 | 0.4972 | 0.3826 | 1.2995 | 0.4959 | 0.3825 | 1.2965 | |
| (I,1) | 0.4413 | 0.7374 | 0.5984 | 0.4001 | 0.7175 | 0.5576 | 0.4086 | 0.7217 | 0.5662 | |
| (II,2) | 0.9521 | 0.3017 | 3.1560 | 0.9532 | 0.2816 | 3.3852 | 0.9529 | 0.2858 | 3.3347 | |
| (III,3) | 0.2130 | 0.5015 | 0.4248 | 0.2024 | 0.4934 | 0.4103 | 0.2046 | 0.4951 | 0.4134 | |
| (I,1) | 0.2813 | 0.7354 | 0.3825 | −0.0010 | 0.6667 | −0.0016 | 0.1095 | 0.7252 | 0.1510 | |
| (II,2) | 0.8212 | 0.6785 | 1.2104 | 1.0000 | 0.6667 | 1.5000 | 0.7742 | 0.6743 | 1.1482 | |
| (III,3) | 0.9788 | 0.8344 | 1.1731 | 1.0000 | 1.0000 | 1.0000 | 1.0875 | 0.8255 | 1.3173 | |
| Sch | Prior 1 | Prior 2 | Sch | Prior 1 | Prior 2 | ||||||||
|---|---|---|---|---|---|---|---|---|---|---|---|---|---|
| ACL | CP | ACL | CP | ACL | CP | ACL | CP | ||||||
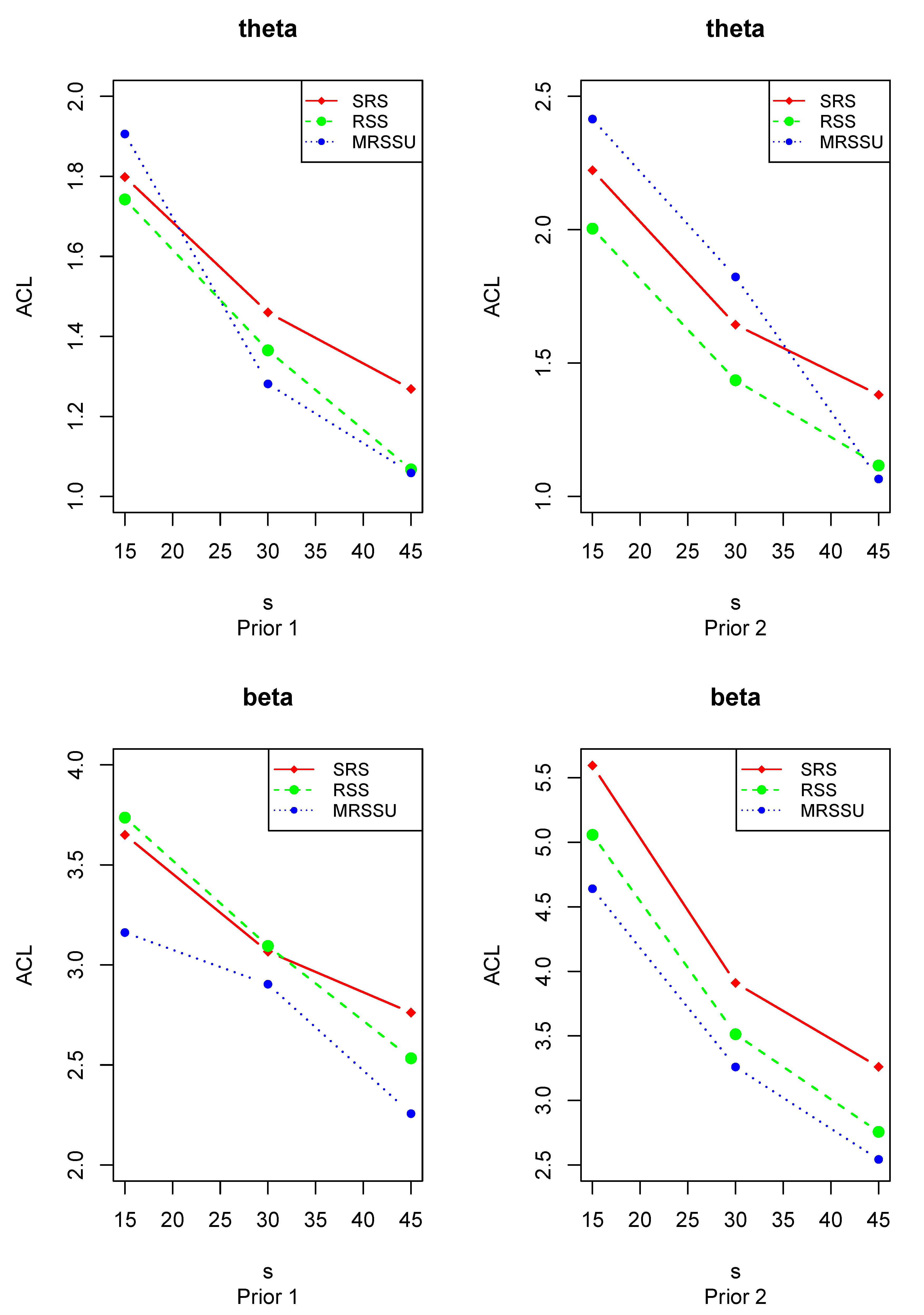
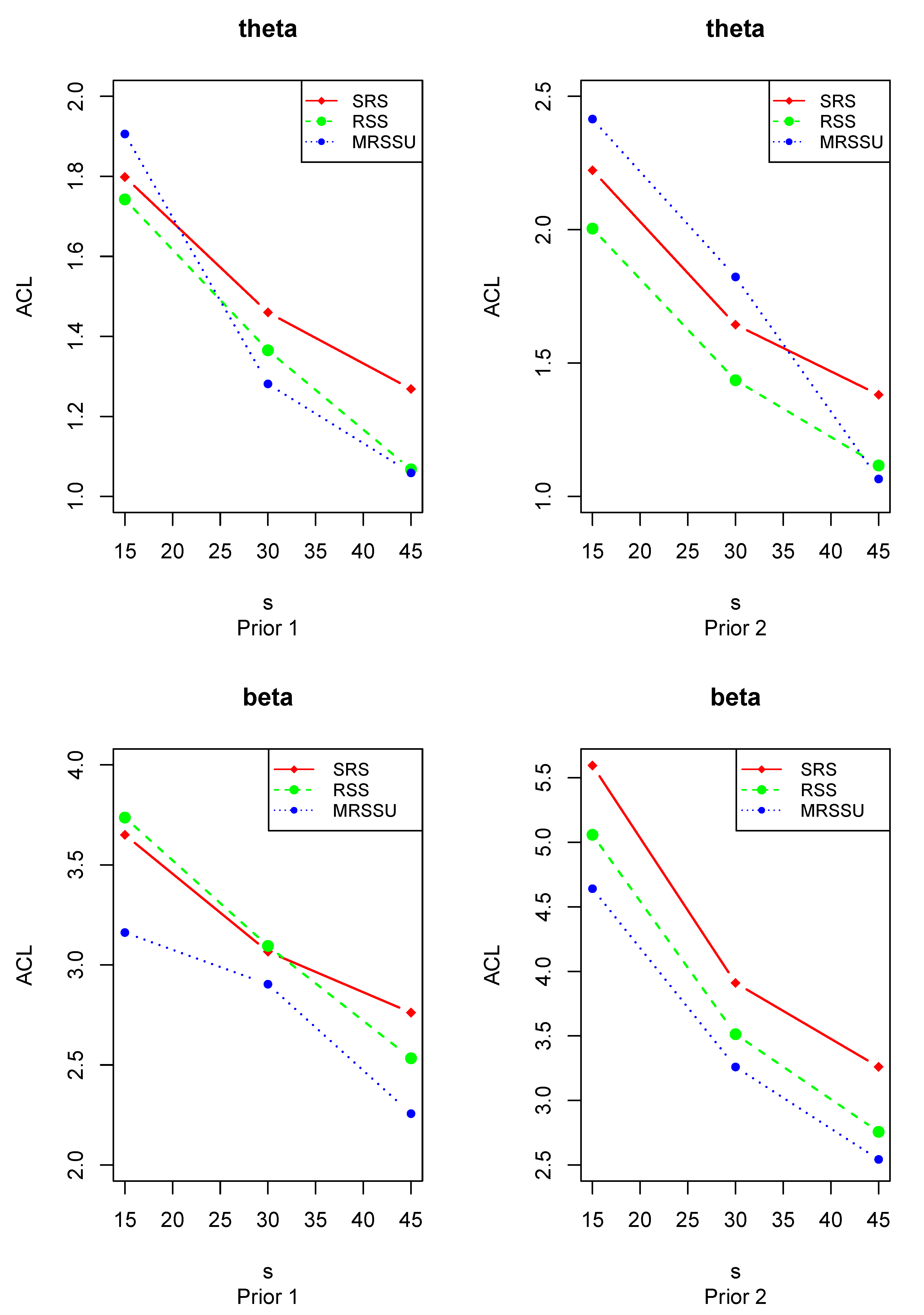
| I | ACI SRS | 1.32666 | 0.760 | 1.32666 | 0.760 | I | ACI SRS | 4.42662 | 0.930 | 4.42662 | 0.930 | ||
| ACI RSS | 1.32794 | 0.960 | 1.32794 | 0.960 | ACI RSS | 3.59689 | 0.970 | 3.59689 | 0.970 | ||||
| ACI MRSSU | 1.36760 | 0.950 | 1.36760 | 0.950 | ACI MRSSU | 5.22599 | 0.960 | 5.22599 | 0.960 | ||||
| CrI SRS | 1.79837 | 1.000 | 2.22278 | 1.000 | CrI SRS | 3.65033 | 1.000 | 5.59503 | 1.000 | ||||
| CrI RSS | 1.74243 | 1.000 | 2.00424 | 1.000 | CrI RSS | 3.73660 | 1.000 | 5.05799 | 1.000 | ||||
| CrI MRSSU | 1.90592 | 1.000 | 2.41473 | 1.000 | CrI MRSSU | 3.16178 | 1.000 | 4.64051 | 1.000 | ||||
| II | ACI SRS | 0.92771 | 0.754 | 0.92771 | 0.754 | II | ACI SRS | 2.86597 | 0.894 | 2.86597 | 0.894 | ||
| ACI RSS | 0.90439 | 0.920 | 0.90439 | 0.920 | ACI RSS | 2.33340 | 0.960 | 2.33340 | 0.960 | ||||
| ACI MRSSU | 0.87335 | 0.760 | 0.87335 | 0.760 | ACI MRSSU | 3.00500 | 0.950 | 3.00500 | 0.950 | ||||
| CrI SRS | 1.45992 | 1.000 | 1.64395 | 1.000 | CrI SRS | 3.06665 | 1.000 | 3.91012 | 1.000 | ||||
| CrI RSS | 1.36530 | 1.000 | 1.43570 | 1.000 | CrI RSS | 3.09474 | 1.000 | 3.51308 | 1.000 | ||||
| CrI MRSSU | 1.28128 | 1.000 | 1.82291 | 1.000 | CrI MRSSU | 2.90357 | 1.000 | 3.25918 | 1.000 | ||||
| III | ACI SRS | 0.75327 | 0.746 | 0.75327 | 0.746 | III | ACI SRS | 2.24389 | 0.845 | 2.24389 | 0.845 | ||
| ACI RSS | 0.67362 | 0.900 | 0.67362 | 0.900 | ACI RSS | 1.78925 | 0.960 | 1.78925 | 0.960 | ||||
| ACI MRSSU | 0.61625 | 0.739 | 0.61625 | 0.739 | ACI MRSSU | 2.06588 | 0.880 | 2.06588 | 0.880 | ||||
| CrI SRS | 1.26859 | 1.000 | 1.38118 | 1.000 | CrI SRS | 2.76165 | 1.000 | 3.25993 | 1.000 | ||||
| CrI RSS | 1.06777 | 1.000 | 1.11610 | 1.000 | CrI RSS | 2.53341 | 1.000 | 2.75678 | 1.000 | ||||
| CrI MRSSU | 1.05881 | 1.000 | 1.06538 | 1.000 | CrI MRSSU | 2.25640 | 1.000 | 2.54296 | 1.000 |
| 0.667157 | 0.287785 | 0.126977 | 0.768563 | 0.703119 | 0.729986 | 0.767135 |
| 0.811159 | 0.829569 | 0.726164 | 0.423813 | 0.715158 | 0.640395 | 0.363365 |
| 0.463726 | 0.371904 | 0.291172 | 0.414087 | 0.650691 | 0.538082 | 0.744887 |
| 0.722613 | 0.561238 | 0.813964 | 0.709025 | 0.668612 | 0.524947 | 0.606039 |
| 0.715850 | 0.529518 | 0.824860 | 0.742025 | 0.468782 | 0.345075 | 0.425334 |
| 0.767070 | 0.679829 | 0.613911 | 0.461618 | 0.294834 | 0.392917 | 0.688100 |
| Point Estimates | Point Estimates | ||
|---|---|---|---|
| 2.832703 | 2.190995 | ||
| 2.145644 | 1.724308 | ||
| 2.532715 | 2.775230 | ||
| 2.806827 | 2.339172 | ||
| 2.145149 | 1.797477 | ||
| 2.380317 | 2.692457 | ||
| 2.565881 | 1.996350 | ||
| 2.014902 | 1.630882 | ||
| 2.212830 | 2.443375 | ||
| 2.438731 | 1.843767 | ||
| 1.945485 | 1.551529 | ||
| 2.120080 | 2.325173 |
| ACI | Length | CrI | Length | ||
|---|---|---|---|---|---|
| SRS | (1.949037, 3.712106) | 1.763069 | (1.257362, 4.639019) | 3.381657 | |
| RSS | (1.377963, 2.909622) | 1.531659 | (1.114736, 3.288691) | 2.173955 | |
| MRSSU | (1.309699, 2.977556) | 1.667856 | (1.180012, 3.700654) | 2.520642 | |
| SRS | (0.898255, 3.483736) | 2.585480 | (0.847866, 4.571152) | 3.723286 | |
| RSS | (0.727022, 2.721594) | 1.994572 | (0.851320, 3.198368) | 2.347048 | |
| MRSSU | (0.640762, 2.807854) | 2.167092 | (1.268287, 4.776766) | 3.508479 |
Publisher’s Note: MDPI stays neutral with regard to jurisdictional claims in published maps and institutional affiliations. |
© 2021 by the authors. Licensee MDPI, Basel, Switzerland. This article is an open access article distributed under the terms and conditions of the Creative Commons Attribution (CC BY) license (https://creativecommons.org/licenses/by/4.0/).
Share and Cite
Jiang, H.; Gui, W. Bayesian Inference for the Parameters of Kumaraswamy Distribution via Ranked Set Sampling. Symmetry 2021, 13, 1170. https://doi.org/10.3390/sym13071170
Jiang H, Gui W. Bayesian Inference for the Parameters of Kumaraswamy Distribution via Ranked Set Sampling. Symmetry. 2021; 13(7):1170. https://doi.org/10.3390/sym13071170
Chicago/Turabian StyleJiang, Huanmin, and Wenhao Gui. 2021. "Bayesian Inference for the Parameters of Kumaraswamy Distribution via Ranked Set Sampling" Symmetry 13, no. 7: 1170. https://doi.org/10.3390/sym13071170
APA StyleJiang, H., & Gui, W. (2021). Bayesian Inference for the Parameters of Kumaraswamy Distribution via Ranked Set Sampling. Symmetry, 13(7), 1170. https://doi.org/10.3390/sym13071170

