New Method for Calculation of Radiation Defect Dipole Tensor and Its Application to Di-Interstitials in Copper
Abstract
1. Introduction
2. Simulation Technique
2.1. Molecular Dynamic Model
2.2. Calculated Diffusion Characteristics
2.3. Specific Features of the Diffusion Tensor in FCC Crystals
3. Results
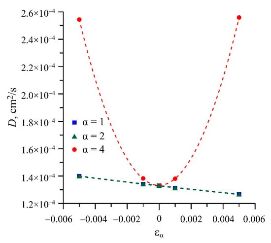
3.1. Diffusivity
3.2. Normalized Diffusion Tensor
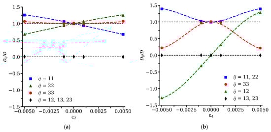
3.3. Elastodiffusion and Dipole Tensors
4. Discussion
5. Conclusions
Author Contributions
Funding
Data Availability Statement
Acknowledgments
Conflicts of Interest
References
- Dederichs, P.H.; Schroeder, K. Anisotropic diffusion in stress fields. Phys. Rev. B 1978, 17, 2524–2536. [Google Scholar] [CrossRef]
- Saralidze, Z.K. Radiational growth due to diffusional anisotropy. At. Energy 1978, 45, 697–700. [Google Scholar] [CrossRef]
- Saralidze, Z.K.; Indenbom, V.L. Chapter 12—Dislocations in irradiated crystals. In Modern Problems in Condensed Matter Sciences; Indenbom, V.L., Lothe, J., Eds.; Elsevier Science Publishers B.V.: Amsterdam, The Netherlands, 1992; Volume 31, pp. 699–744. [Google Scholar] [CrossRef]
- Sivak, A.B.; Sivak, P.A.; Romanov, V.A.; Chernov, V.M. Effect of external stresses on efficiency of dislocation sinks in BCC (Fe, V) and FCC (Cu) crystals. Inorg. Mater. Appl. Res. 2015, 6, 466–472. [Google Scholar] [CrossRef]
- Kröner, E. Allgemeine Kontinuumstheorie der Versetzungen und Eigenspannungen. Arch. Ration. Mech. Anal. 1959, 4, 273–334. [Google Scholar] [CrossRef]
- Leibfried, G.; Breuer, N. Point Defects in Metals I. In Springer Tracts in Modern Physics; Springer: Berlin/Heidelberg, Germany, 1978; Volume 81. [Google Scholar] [CrossRef]
- Dederichs, P.H.; Lehmann, C.; Schober, H.R.; Scholz, A.; Zeller, R. Lattice theory of point defects. J. Nucl. Mater. 1978, 69–70, 176–199. [Google Scholar] [CrossRef]
- Schober, H.R.; Ingle, K.W. Calculation of relaxation volumes, dipole tensors and Kanzaki forces for point defects. J. Phys. F Met. Phys. 1980, 10, 575–581. [Google Scholar] [CrossRef]
- Simonelli, G.; Pasianot, R.; Savino, E.J. Point-defect computer simulation including angular forces in bcc iron. Phys. Rev. B 1994, 50, 727–738. [Google Scholar] [CrossRef]
- Sivak, A.B.; Romanov, V.A.; Chernov, V.M. Influence of stress fields of dislocations on formation and spatial stability of point defects (elastic dipoles) in V and Fe crystals. J. Nucl. Mater. 2003, 323, 380–387. [Google Scholar] [CrossRef]
- Puls, M.P.; Woo, C.H. Diaelastic polarizabilities due to vacancies and interstitials in metals. J. Nucl. Mater. 1986, 139, 48–59. [Google Scholar] [CrossRef]
- Clouet, E.; Garruchet, S.; Nguyen, H.; Perez, M.; Becquart, C.S. Dislocation interaction with C in a-Fe: A comparison between atomic simulations and elasticity theory. Acta Mater. 2008, 56, 3450–3460. [Google Scholar] [CrossRef]
- Ma, P.-W.; Dudarev, S.L. Nonuniversal structure of point defects in face-centered cubic metals. Phys. Rev. Mater. 2021, 5, 013601. [Google Scholar] [CrossRef]
- Chan, W.-L.; Averback, R.S.; Ashkenazy, Y. Anisotropic diffusion of point defects in metals under a biaxial stress field simulation and theory. J. Appl. Phys. 2008, 104, 023502. [Google Scholar] [CrossRef]
- Merola, M.; Loesser, D.; Martin, A.; Chappuis, P.; Mitteau, R.; Komarov, V.; Pitts, R.A.; Gicquel, S.; Barabash, V.; Giancarli, L.; et al. ITER plasma-facing components. Fusion Eng. Des. 2010, 85, 2312–2322. [Google Scholar] [CrossRef]
- Norajitra, P.; Giniyatulin, R.; Ihli, T.; Janeschitz, G.; Krauss, W.; Kruessmann, R.; Kuznetsov, V.; Mazul, I.; Widak, V.; Ovchinnikov, I.; et al. He-cooled divertor development for DEMO. Fusion Eng. Des. 2007, 82, 2740–2744. [Google Scholar] [CrossRef]
- Shpanskiy, Y.S.; The DEMO-FNS Project Team. Progress in the design of the DEMO-FNS hybrid facility. Nucl. Fusion 2019, 59, 076014. [Google Scholar] [CrossRef]
- Bacon, D.J.; Osetsky, Y.N.; Stoller, R.; Voskoboinikov, R.E. MD description of damage production in displacement cascades in copper and α-iron. J. Nucl. Mater. 2003, 323, 152–162. [Google Scholar] [CrossRef]
- Miyashiro, S.; Fujita, S.; Okita, T. MD simulations to evaluate the influence of applied normal stress or deformation on defect production rate and size distribution of clusters in cascade process for pure Cu. J. Nucl. Mater. 2011, 415, 1–4. [Google Scholar] [CrossRef]
- Yang, Y.; Okita, T.; Itakura, M.; Kawabata, T.; Suzuki, K. Influence of stacking fault energies on the size distribution and character of defect clusters formed by collision cascades in face-centered cubic metals. Nucl. Mater. Energy 2016, 9, 587–591. [Google Scholar] [CrossRef][Green Version]
- Osetsky, Y.N. Atomistic study of diffusional mass transport in metals. Defect Diffus. Forum 2001, 188–190, 71–92. [Google Scholar] [CrossRef]
- Mishin, Y.; Mehl, M.J.; Papaconstantopoulos, D.A.; Voter, A.F.; Kress, J.D. Structural stability and lattice defects in copper: Ab initio, tight-binding, and embedded-atom calculations. Phys. Rev. B 2001, 63, 224106. [Google Scholar] [CrossRef]
- Sivak, A.B.; Demidov, D.N.; Sivak, P.A. Diffusion characteristics of self-point defects in copper: Molecular dynamics study. PAS&T. Ser. Thermonucl. Fusion 2021, 44, 106–118. [Google Scholar] [CrossRef]
- Verlet, L. Computer «experiments» on classical fluids. I. Thermodynamical properties of Lennard-Jones molecules. Phys. Rev. 1967, 159, 98–103. [Google Scholar] [CrossRef]
- Allnatt, A.R.; Lidiard, A.B. Atomic Transport in Solids; Cambridge University Press: Cambridge, UK, 1993. [Google Scholar] [CrossRef]
- Manning, J.R. Diffusion Kinetics for Atoms in Crystals, 1st ed.; D. Van Nostrand Company: Toronto, ON, Canada, 1968. [Google Scholar]
- Benoist, P.; Bocquet, J.-L.; Lafore, P. La correlation entre sauts atomiques: Une nouvelle methode de calcul. Acta Metall. 1977, 25, 265–275. [Google Scholar] [CrossRef]
- Sivak, A.B.; Romanov, V.A.; Chernov, V.M. Diffusion of self-point defects in body-centered cubic iron crystal containing dislocations. Crystallogr. Rep. 2010, 55, 97–108. [Google Scholar] [CrossRef]





| Strain State | Number of Atoms | Edge Directions | Edge Lengths |
|---|---|---|---|
| V1 | 4000 + 2 | [100] | 10(1 + ε1)a |
| [010] | 10(1 + ε1)a | ||
| [001] | 10(1 + ε1)a | ||
| V2 | 4000 + 2 | [100] | 10(1 + ε2)a |
| [010] | 10(1 − ε2)a | ||
| [001] | 10a | ||
| V4 | 3920 + 2 | [110] | |
| [001] | 10a |
| T Range | D0, cm2/s | EA, eV |
|---|---|---|
| [300 K, 400 K] | 4.03 × 10‒4 | 0.046 |
| [500 K, 700 K] | 2.83 × 10‒4 | 0.032 |
| Strain State | |
|---|---|
| V1 | |
| V2 | |
| V4 |
| Symmetry | d(1)/(D(0)β) | d(2)/(D(0)β) | d(4)/(D(0)β) |
|---|---|---|---|
| Cubic | 0 | 0 | |
| Tetragonal | 0 | ||
| Trigonal | 0 | ||
| Orthorhombic |
Publisher’s Note: MDPI stays neutral with regard to jurisdictional claims in published maps and institutional affiliations. |
© 2021 by the authors. Licensee MDPI, Basel, Switzerland. This article is an open access article distributed under the terms and conditions of the Creative Commons Attribution (CC BY) license (https://creativecommons.org/licenses/by/4.0/).
Share and Cite
Demidov, D.N.; Sivak, A.B.; Sivak, P.A. New Method for Calculation of Radiation Defect Dipole Tensor and Its Application to Di-Interstitials in Copper. Symmetry 2021, 13, 1154. https://doi.org/10.3390/sym13071154
Demidov DN, Sivak AB, Sivak PA. New Method for Calculation of Radiation Defect Dipole Tensor and Its Application to Di-Interstitials in Copper. Symmetry. 2021; 13(7):1154. https://doi.org/10.3390/sym13071154
Chicago/Turabian StyleDemidov, Dmitry N., Alexander B. Sivak, and Polina A. Sivak. 2021. "New Method for Calculation of Radiation Defect Dipole Tensor and Its Application to Di-Interstitials in Copper" Symmetry 13, no. 7: 1154. https://doi.org/10.3390/sym13071154
APA StyleDemidov, D. N., Sivak, A. B., & Sivak, P. A. (2021). New Method for Calculation of Radiation Defect Dipole Tensor and Its Application to Di-Interstitials in Copper. Symmetry, 13(7), 1154. https://doi.org/10.3390/sym13071154

