Abstract
Galaxies are gigantic physical systems having a typical size of many tens of thousands of light years. Thus, any change at the center of the galaxy will affect the rim only tens of millennia later. Those retardation effects seem to be ignored in present day modelling used to calculate rotational velocities of matter in the outskirts of the galaxy and the surrounding gas. The significant discrepancies between the velocities predicted by Newtonian theory and observed velocities are usually handled by either assuming an unobservable type of matter denoted “dark matter” or by modifying the laws of gravity (MOND as an example). Here, we will show that considering general relativistic effects without neglecting retardation can explain the apparent excess matter leading to gravitational lensing in both galaxies and galaxy clusters.
1. Introduction
Einstein’s general relativity (GR) is known to be invariant under general coordinate modifications. This group of general transformations has a Lorentz subgroup, which is valid even in the weak field approximation. This is seen through the field equations containing the d’Alembert (wave) operator, which can be solved using a retarded potential solution.
It is known that GR is verified by many types of observations. However, currently, Newton–Einstein gravitational theory is at a crossroads. It has much in its favor observationally, and it has some very disquieting challenges. The successes that it has achieved in both astrophysical and cosmological scales have to be considered in light of the fact that GR needs to appeal to two unconfirmed ingredients, dark matter and energy, to achieve these successes. Dark matter has not only been with us since the 1920s (when it was initially known as the missing mass problem), but it has also become severe as more and more of it had to be introduced on larger distance scales as new data have become available. Here, we will be particularly concerned in the excess dark matter needed to justify observed gravitational lensing. Moreover, 40-year underground and accelerator searches and experiments have failed to establish its existence. The dark matter situation has become even more disturbing in recent years as the Large Hadron Collider was unable to find any super symmetric particle candidates, the community’s preferred form of dark matter.
While things may still take turn in favor of the dark matter hypothesis, the current situation is serious enough to consider the possibility that the popular paradigm might need to be amended in some way if not replaced altogether. The present paper seeks such a modification. Unlike other ideas such as Milgrom’s MOND [], Mannheim’s Conformal Gravity [,,], Moffat’s MOG [] or theories and scalar-tensor gravity [], the present approach is a minimalist one, adhering to the razor of Occam, suggesting to replace dark matter by effects within standard GR.
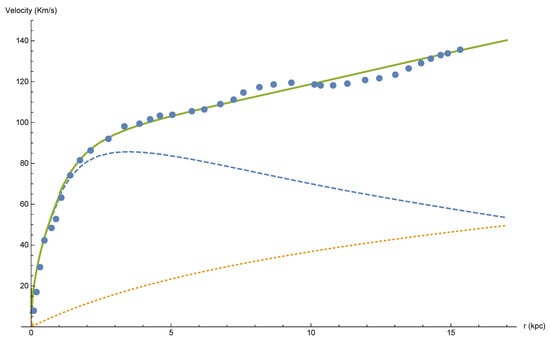
Fritz Zwicky noticed, in 1933, that the velocities of Galaxies within the Comma Cluster are much higher than those predicted by the virial calculation that assumes Newtonian theory []. He calculated that the amount of matter required to account for the velocities could be 400 times greater with respect to that of visible matter, which led to suggesting dark matter throughout the cluster. In 1959, Volders pointed out that stars in the outer rims of the nearby galaxy M33 do not move according to Newtonian theory []. The virial theorem coupled with Newtonian Gravity implies that ; thus, the expected rotation curve should at some point decrease as . During the 1970s, Rubin and Ford [,] showed that, for a large number of spiral galaxies, this behavior can be considered generic: velocities at the rim of the galaxies do not decrease, but they attain a plateau at some unique velocity, which differs for every galaxy. We have shown that such velocity curves can be deduced from GR if retardation is not neglected. The derivation of the retardation force is described in previous publications [,,,,,,]: see, for example, Figure 1.

Figure 1.
Velocity curve for M33. Observational points were obtained by Dr. Michal Wagman, a former PhD student under my supervision, using []; the full line describes the rotation curve, which is the sum of the dotted line, describing the retardation contribution, and the dashed line, which is Newtonian.
Previous work assumed a test particle moving slowly with respect to the speed of light, as is appropriated for the case of galactic rotation curves; this is not adequate when the test particle is a photon moving in the speed of light as in the case relevant to gravitational lensing. Here, a different mathematical approach is needed as described in the current paper.
A gravitational lens is some form of matter (for example a cluster of galaxies) between a distant source of light and the observer, that is, bending the light as it travels towards the observer.
This effect is denoted gravitational lensing, the amount of bending is one of the predictions of GR [,,]. It should be noted that Newtonian physics also predicts light bending, but only half of that predicted by GR [,].
Einstein made unpublished work on gravitational lensing as early as 1912 []. In 1915, Einstein showed how GR explained the anomalous perihelion advance of the planet Mercury without any arbitrary parameters []; in 1919, an expedition led by Eddington confirmed GR’s prediction for the deflection of starlight by the Sun in the total solar eclipse of 29 May 1919, [,], making Einstein famous [] instantly. The reader should recall that there was a special significance to a British scientist confirming the prediction of a German scientist after the bloody battles of World War I.
The fact that distortion of space time is proportional to the amount of mass that causes the distortion led to the use of gravitational lensing as a tool for proving the existence of dark matter.
Strong lensing is the distortion of background galaxies into arcs when their light passes through a gravitational lens. This has been observed around many clusters such as Abell 1689 []. By measuring the observed geometry, the mass of the in-between cluster can be calculated. In the cases where this was done, the mass-to-light ratios corresponded to the dynamical dark matter of clusters []. Here, we will show that is not a coincidence, and retardation dictates that this should be so. Lensing can cause multiple copies of an image. By analyzing multiple image copies, astronomers have been able to map the distribution of dark matter around the MACS J0416.1-2403 galaxy cluster [,].
Weak gravitational lensing is concerned with small distortions of galaxies, using statistical methods from huge galaxy surveys. By examining the shear deformation of the adjacent background galaxies, the distribution of dark matter can be calculated. The mass-to-light ratios correspond to dark matter densities predicted by other large-scale structure measurements [].
We underline that dark matter does not bend light itself; mass (in this case the alleged mass of the dark matter) bends spacetime. Light follows the curvature of spacetime, resulting in the lensing effect [,]. Here, we will show that the above described effects may be attributed to retardation and baryonic matter, with no additional form of (dark) matter.
The structure of the paper is as follows: First, we describe the main results of general relativity, this is followed by the weak field approximation. Next, we derive the geodesic equations for a particle moving at a speed of light (“a photon”). This is followed by a comparison of the current approach to that of Weinberg []. The classical result of Einstein and Eddington are re-derived. Finally, we discuss the effect of retardation on the lensing phenomena and show in what way can retardation cause a “dark matter” phenomena.
2. General Relativity
The general theory of relativity is based on two fundamental equations, the first being Einstein equations [,,,]:
stands for the Einstein tensor (see Equation (7)), indicates the stress–energy tensor (see Equation (3)), is the universal gravitational constant and indicates the velocity of light in the absence of matter (Greek letters are indices in the range 0–3). The second fundamental equation that GR is based on is the geodesic equation:
are the coordinates of the particle in spacetime, p is a typical parameter along the trajectory that for massive particles is chosen to be the length of the trajectory (), is the -th component of the 4-velocity of a massive particle moving along the geodesic trajectory (increment of x per p) and is the affine connection (Einstein summation convention is assumed). The stress–energy tensor of matter is usually taken in the form:
In the above, is the pressure and is the mass density. We remind the reader that lowering and raising indices is done through the metric and inverse metric , such that . The same metric serves to calculate s:
for a photon . The affine connection is connected to the metric as follows:
Using the affine connection we calculate the Riemann and Ricci tensors and the curvature scalar:
which, in turn, serves to calculate the Einstein tensor:
3. Linear Approximation of GR—The Metric
Only in extreme cases of compact objects (black holes and neutron stars) and the primordial reality or the very early universe does one need not consider the solution of the full non-linear Einstein Equation []. In typical cases of astronomical interest (the galactic case included), one can use a linear approximation to those equations around the flat Lorentz metric such that (Private communication with the late Professor Donald Lynden-Bell):
One then defines the quantity:
for non diagonal terms. For diagonal terms:
The general coordinate transformation symmetry of Equation (8) has a subgroup of infinitesimal transformations which are manifested in the gauge freedom of in the weak field approximation. It can be shown ([] page 75, exercise 37, see also [,,]) that one can choose a gauge such that the Einstein equations are:
The d’Alembert operator □ is clearly invariant under the Lorentz symmetry group (another subgroup of the general coordinate transformation symmetry described by Equation (8)), of which the Newtonian Laplace operator is not, but this comes with the price that “action at a distance” solutions are forbidden and only retarded solutions are allowed. The stress energy tensor should be calculated at the appropriate frame and thus for the massive body causing the lensing, matter is approximately at rest.
Equation (12) can always be integrated to take the form []:
For reasons why the symmetry between space and time is broken, see [,]. The factor before the integral is small: in MKS units; hence, in the above calculation one can take , which is zero order in .
In the zeroth order:
in which we assume that massive body causing the lensing effect is composed of massive particles (those equations will not be correct for the photon which is affected by the lensing potential).
Assuming the reasonable assumption that the said massive body is composed of particles of non relativistic velocities:
Let us now look at Equation (3). We assume and, taking into account Equation (15), we arrive at , while other tensor components are significantly smaller. Thus, is significantly larger than other components of which are ignored from now on. One should notice that it is possible to deduce from the gauge condition in Equation (12) the relative order of magnitude of the relative components of :
Thus, the zeroth derivative of (which contains a as ) is the same order as the spatial derivative of meaning that is of order smaller than . And the zeroth derivative of (which appears in Equation (16)) is the same order as the spatial derivative of . Meaning that is of order with respect to and of order with respect to .
In the current approximation, the following results hold:
(The underline signifies that the Einstein summation convention is not assumed).
4. Linear Approximation of GR—The Lensing Trajectory
Let us start calculating the lensing trajectory by writing in terms of the notation introduced in Equation (13):
it thus follows that:
Taking into account Equation (2) we obtain:
multiplying by and using the notation of Equation (14) we obtain:
However, according to Equation (2):
Let us now calculate the affine connection in the linear approximation:
The affine connection has only first order terms in ; hence, to the first order appearing in the geodesic, is of the zeroth order. By definition . Also the null interval of the photon is given to zeroth order in (that is in the absence of a gravitational field) by:
It follows that in the zeroth order approximation:
and also in the same approximation:
We now combine the above results and write:
We now turn our attention to the second term in Equation (29)
inserting Equation (21) into Equation (36) we arrive at the result:
Combining the results from Equations (35) and (37) into Equation (29) we arrive at the photon’s equation of motion:
In terms of the gravitational potential this can be rewritten Using Equation (23) as follows:
This equation is almost identical to equation 9.2.6 of Weinberg []. Notice, however, that Weinberg neglects the term in his post Newtonian approximation. Although this term can be neglected or shown to be small in specific circumstances such as case that is static or slowly varying, its removal may lead to inconsistencies as we explain below.
Let us inspect the null interval Equation (4):
taking into account Equations (9) and (21) this takes the form:
Hence:
Or:
compare to Weinberg [] equation 9.2.5. Since by Equations (22) and (23) is a small negative number, it follows that (notice that this result holds for a global coordinate system, in the local flat coordinate system the velocity will of course be exactly c). Now:
To first order in :
Taking into account Equation (39):
Thus to the same first order of we have:
which is dependent on not neglecting the term. Thus, this term is absolutely necessary to maintain the identity of Equation (44) and without it we are led to a contradiction. We conclude that for a time dependent gravitational potential the term is required.
Let us consider a photon travelling at a straight line in the direction in the absence of gravity, the velocity of this photon would be . Now, let us assume that the photon passes near a weak gravitational source such that Equation (39) is valid. We thus decompose the photon velocity field to two components one which parallel and one which is perpendicular to its original direction:
Thus, it follows from Equation (39) that:
Thus, to first order in :
in which we remember that . This can be integrated as follows:
in which k is a constant. Far away from the gravitational source , hence , and we may write:
The lensing angle is defined as (see Figure 2)
as the angle is small; thus, for lensing in the linear approximation, only the perpendicular component is important. Now, to the first order in we may write Equation (39) as:
in which we define the perpendicular gradient as: . Now taking into account Equations (48) and (50) we arrive at the result:
in which we have used Equation (23) to give the perpendicular acceleration in terms of a gravitational potential.

Figure 2.
Light travelling toward the observer is bent due to the gravitational field of a massive object, thus a distant star appears to the observer at an angle with resect to its true location. The tangent of alpha is the velocity of light perpendicular to the original direction divided by the velocity of light in the original direction .
5. Other Approaches to the Problem of Lensing
Another approach to the problem of lensing than the one given above is to start from a Schwarzschild metric as is performed by Weinberg []. This metric describe a static spherically symmetric mass distribution and thus is less general than the approach taken in this paper. It does have one advantage, however, and this is the ability to take into account strong gravitational fields and not just weak ones. This advantage is irrelevant in most astronomical cases in which gravity is weak and must be only considered for light trajectories near compact objects (black holes and neutron stars). The Schwarzschild squared interval can be written as:
In which are spherical coordinates and the point massive body is located at . The Schwarzschild radius is defined as:
in which M is the mass of the point particle. Comparing the component of Equations (41) and (59) it follows that we can identify:
provided in accordance with Equation (9), hence the two approaches should coincide for:
Going back to Equation (41) we have:
it tempting to write , as is usually done for spherical coordinates. However, notice that r is not strictly a radial coordinate which is defined as the circumference, divided by , of a sphere centered around the massive body. In fact, from Equation (63), it is clear that the appropriate radial coordinate is:
which is a small correction to r. Now, calculating the differential it follows that:
According to Equation (61):
where the last equality is correct to first order. Alternatively, one can use Equation (22) to calculate the gravitational potential for a static point mass to obtain:
and then plug this into Equation (23) to obtain again:
It now follows that:
Hence, to first order in :
Thus, to first order our metric is identical to Schwarzschild’s for the case of a static point particle. This makes our analysis superior as it addresses the case of a general density distribution and does not ignore the possibility of time dependence which is crucial for retardation effects to take place.
6. Lensing in the Static Case
Newtonian theory dictates that a body with any mass (since inertial mass and gravitational mass are equal) moving under the influence of gravity alone must follow a trajectory which is dictated by the equation:
The Newtonian potential resembles given by Equation (22) but neglects the retardation effect such that:
In [], we have shown that the geodesic equations reduce for slow moving test particles to:
this will coincide with Equation (75) for a static density distribution or for a slowly changing mass distribution as is well known. For light rays, we obtained Equation (58); this also resembles Equation (75) but carries some major differences even for a static mass distribution. First, there is a factor 2 multiplying the potential which is missing in Equation (75). Second, this equation only describe motion perpendicular to the original direction of the light ray and not the propagation in the direction of the light ray itself.
Suppose the gravitational field is orthogonal to the light ray at least when the light ray is moving in proximity to the gravitating body, that is when the gravitational force is most significant. In this case, we can write approximately:
It is tempting to make a further step and write:
but the parallel component of satisfies Equation (52) and thus Equation (79) is not correct even to the first order in at it simply states that this component is fixed (remember we assume the force to be orthogonal to the light ray). Notice, however, that according to Equation (56) the lensing phenomena is not affected by the parallel component, hence, no harm is done if we calculate this component to zero order instead of first order. It follows that for a static mass distribution it suffices for the purpose of deducing the lensing effect to solve the equation:
which is just the Newtonian trajectory but with double the gravitational force. Now, the trajectory of gravitating test particles in a Newtonian point mass gravitational field is known and is given by the equation (Goldstein [] equation 3.55):
in which are standard cylindrical coordinates. A static point gravitating body is assumed located at the origin of axis and generating a gravitational potential of the form:
The quantity k according to Newtonian theory is which follows from Equations (67) and (75). This would also be the value according to General Relativity for a slowly moving test particle (see Equation (77)). However, for a light ray we should use Equation (80) instead and thus GM.
The quantity l is a constant of motion (which can be thought as an angular momentum in the direction perpendicular to the plane of motion per unit mass) and is given by:
The eccentricity e is given by the equation:
which is dependent on another constant of motion E (which can be thought as the energy of the test particle per unit mass):
A light ray coming from far away will have at infinity while hence we may write:
Thus,
Consider a star is located far away from the sun at a distance . Let the line connecting this star and the sun which is located at coincide with the x-axis. Assume that the earth is also located along the x-axis and has an x coordinate of as depicted in Figure 3.

Figure 3.
The trajectory of light from a distant star to the earth as affected by the sun’s gravity.
We consider a light ray orbit in which a star emits a photon which is detected on earth. At the closest point of the trajectory to the sun the photons travels at a direction which is purely in the direction and has no radial component. At this point, the photon is a distance from the origin of axis and thus:
This is inserted into Equation (83) to yield:
Hence,
Now, according to general relativity GM:
In which is the Schwarzschild radius defined in Equation (60) and we assume the weak field approximation as described in Equation (62), for the Newtonian theory we have for which we obtain:
In either relativistic or Newtonian theory, the trajectory’s shape is a rather extreme hyperbola (see Goldstein [] p. 94). Now, the starting and ending points of the trajectory are known: The photon trajectory starts at the star with the cylindrical coordinates and ends on earth with the cylindrical coordinates . Thus, according to Equation (81):
It follows that we may also estimate l by:
We may insert the above results into Equation (81) and write
We are now at a position to calculate the lensing angle given by Equation (56):
Now,
Calculating the derivative of the above quantities we have:
The quantity is deduced from Equation (96)
Inserting Equation (100) into Equation (99) and using some basic trigonometric identities and Equation (93) leads to the following results:
It is now easy to insert the expression of Equation (101) into Equation (97) and obtain a simple expression:
Thus, at the star and thus the light ray satisfies , with a plausible physical solution of . This means that initially the light ray is propagating parallel to the x-axis in the direction of earth. On the other hand, as the light ray approaches earth, we have leading to
in which we used the fact that as follows from Equations (91) and (92). Choosing the physical plausible positive sign and taking into account that the lensing angle is small, we have
The Schwarzschild radius of the sun can be calculated from Equation (60) from the sun’s mass which is leading to . was taken in the classical observation of Eddington [] to be the Sun’s radius, thus , it now follows that:
Eddington was able to show during a sun eclipse that the observed lensing angle is closer to than to , thus adding an important empirical argument if favour of general relativity in addition to the theoretical arguments presented by Einstein.
7. A Suggested Experiment
The lensing angle measured by Eddington is not the only possible lensing angle in the Solar system. To see that other angles are possible, consider the case depicted in Figure 4.

Figure 4.
The trajectory of light from an antipodal satellite to the earth as affected by the sun’s gravity.
Here, the light ray is emitted from a satellite on the same trajectory as the earth but in the other side of the sun. Consider a line connecting the earth and the satellite, and assume that this line coincides with the x-axis. The sun is located at the origin of axis and both the satellite and the earth are in equal distance from the sun. Now, the starting and ending points of the trajectory are known also in this case: The photon trajectory starts at the satellite with the cylindrical coordinates and ends on earth with the cylindrical coordinates . Thus, according to Equation (81):
The difference of the above two equations leads to
and their sum leads to
Hence, l can be also evaluated as:
We may insert the above results into Equation (81) and write:
The quantity is deduced from Equation (113)
It is now easy to insert the expression of Equation (115) into Equation (97) and obtain a simple expression:
The ray should be launched from at an angle of
that is, according to Equation (91) a small angle to the negative x direction of , and will arrive at earth at the angle
that is, at a small angle below the negative x axis, causing the observer to see a deviation of the location of the satellite of the same angular magnitude, which is
The relativistic is expected rather than the Newtonian . Notice that in this case the angular deviation is half of the one expected for a distant star. Of course, one can use a laser source in a short wavelength that is not common in the suns natural radiation and modulate the laser such that a matched filter can be easily constructed in the receiver side to minimize noise interference.
8. Beyond the Newtonian Approximation
So far, we have considered only the case of Newtonian potential which neglects retardation phenomena. This approach seems sufficient for the solar system in which, despite the sun’s slow change in mass through the solar wind, the retardation effect seems to be negligible.
However, in other gravitating systems such as galaxies (not to mention galaxy clusters), their mere size and the nature of their mass exchange with the environment leads to a situation in which retardation effects cannot be neglected. Indeed, it was shown [] that the peculiar shape of galactic rotation curves can be explained by the retardation phenomena. This raises the question on the effect of the same on gravitation lensing. Let us reiterate our main results. The velocity of a photon in a gravitational field is given to the first order of according to Equations (22), (52) and (58):
The duration for galaxies may be a few tens of thousands of years, but can be considered short in comparison to the time taken for the galactic density to change significantly. Thus, we can write a Taylor series for the density:
The Newtonian potential is the first term; the second term contributes only to but not to and the third term is the lower order correction to the Newtonian potential affecting in Equation (121):
We recall that according to Equation (56) it is only that affects the lensing angle, and thus despite the fact that second term has a physical measurable effect on it does not have any effect on the lensing phenomena to the first order in .
We underline again that we are not considering a post-Newtonian approximation in this paper (see Section 3), in which matter travels at nearly relativistic speeds, but we will be considering the retardation effects and finite propagation speed of the gravitational field. We emphasize that taking (as for galaxies see Figure 1 while ) is not the same as taking (with R being the typical size of a galaxy say about: ) and is the typical time the mass of the same galaxy changes. Equation (58) can be rewritten in terms of a perpendicular “force” per unit mass such that:
The total perpendicular force per unit mass is:
Now, if the lensing trajectory is far from the gravitating mass such that it follows that and . The force can now be written as:
In the above, is the total mass of the gravitating body, which may be a galaxy or a cluster of galaxies, and is the second derivative of the same. Now although may be affected by many astrophysical processes we suggest that main contribution is the depletion of gas outsider the gravitating body (see Section 9), hence . It follows that according to Equation (128):
where the “dark matter” mass is defined as:
we observe that the “dark matter” mass associated with lensing is the same as the “dark matter” mass associated with galactic rotation curves (see Equation (106) of []), thus explaining the observational results of [].
9. A Dynamical Model
As mass is accumulated in the galaxy or galaxy cluster, it must be depleted in the surrounding medium. This is due to the fact that the total mass is conserved; still, it is of interest to see if this intuition is compatible with a model of gas dynamics. For simplicity, we assume that the gas is a barotropic ideal fluid and its dynamics are described by the Euler and continuity equations as follows:
where the pressure is assumed to be a given function of the density, is a partial temporal derivative, has its standard meaning in vector analysis and is the material temporal derivative. We have neglected viscosity terms due to the low gas density.
General Considerations
Let us now take a partial temporal derivative of Equation (130) leading to:
Using Equation (130) again, we obtain the expression:
We divide the left and right hand sides of the equation by as in Equation (127) and obtain:
Since is rather small in galaxies and galaxy clusters it follows that is also small unless the density or the velocity have significant spatial derivatives. A significant acceleration resulting from a considerable force can also have a decisive effect. The depletion of available gas can indeed cause such gradients as we describe using a detailed model. Taking the volume integral of the left and right hand sides of Equation (134) and using Gauss theorem we arrive at the following equation:
The surface integral is taken over a surface encapsulating the galaxy or galaxy cluster. This leads according to Equation (129) to a “dark matter” effect of the form:
Thus, we obtain the order of magnitude estimation:
In the above we define three gradient lengths:
We can also write
in which the smallest gradient length will be the most significant one in terms of the “dark matter” phenomena. In the depletion model, we assume that associated with density gradients is the shortest length scale. For galaxies we have , hence the factor should be around to have a significant “dark matter” effect. A detailed model of the depletion process in galaxies leading to the desired second derivative of galactic mass is given in [] and will not be repeated here.
10. Conclusions
In this paper, we have deduced from general relativity a linear approximation. Under the said linear approximation, we have solved Einstein field equations in term of retarded solutions. Those were used to derive the trajectory of a light ray (photon) both in the direction parallel to its original direction and perpendicular to it. Our current approach was compared to the approach based on the Schwarzschild metric [] and was shown to be better in the sense that it is applicable to general mass distributions, including ones that are changing in time. The light ray equations is the presence of a static point mass allowed us to re-derive the classical light deflection of Einstein and Eddington [] and suggest a new experiment. This was followed by a discussion on the retardation effects on light ray trajectories, deriving an expression for “dark matter” which is the same as the one obtained in [] for slowly moving bodies. Thus, justifying results reported in the literature of the equivalence of “dark matter” for both galaxy rotation curve and gravitational lensing. This is followed by a discussion on the physical requirements needed in order to derive “dark matter” effects from retardation.
Lorentz symmetry invariance does not allow action at a distance potentials and forces, but retarded solutions are allowed. Retardation is significant for large distances and large second derivatives. It should be emphasized that the retardation approach does not require that velocities in, v in the gravitating body are high; in fact, galactic and galactic cluster bodies (stars, gas) move slowly with respect to the speed of light—thus the quantity . Typical velocities in galaxies are (see Figure 1), which makes to be about or smaller. However, every gravitational system, even if it consists of subluminal entities, has a retardation distance, above which retardation cannot be neglected. Natural systems, for example a star or a galaxy and even a galactic cluster, exchanges mass with its environment. The sun loses mass through solar wind and galaxies accrete matter which originate in the intergalactic medium. Thus, all natural (gravitational) systems have a finite retardation distance. This leads to quantitative inquiry: what is the actual size of the retardation distance? The modification of the solar mass is quite small and thus the retardation distance of the solar system is extremely large, we can thus neglect retardation within the solar system. On the other hand, for the M33 galaxy, velocities indicate that retardation cannot be neglected. The retardation distance was calculated in [] to be roughly kpc for M33; other galaxies of different types have shown similar results []. We demonstrated, in Section 9, that this does not require a high velocity of gas or stars and is perfectly consistent with current observational knowledge of galactic and extragalactic dynamics.
We underline, that if extra galactic mass is abundant (or totally consumed), and the retardation force vanish. As was reported [] for NGC1052-DF2.
We emphasize that the terms in the GR equations responsible for gravitational radiation recently discovered are also the cause for the peculiar shape of the rotation curves of galaxies and gravitational lensing. The approximation used here is not a far field approximation but a near field one. Indeed, the expansion (123), being second order, is only valid up to limited radii:
This is reasonable since the extension of the rotation curve in galaxies and the distance of lensing trajectories from galaxies is the same order of magnitude as the size of the galaxy. The case in which the dimensions of the source is much smaller than the distance to the observer will result in a different valid approximation to (13), leading to the famous quadruple expression of gravitational radiation, as derived by Einstein [] and verified (indirectly) in 1993 by Russell A. Hulse and Joseph H. Taylor. The observation of the Hulse–Taylor binary pulsar has given the first (indirect) evidence of gravitational waves []. On 11 February 2016, the LIGO and Virgo Collaboration announced that they made the first (direct) observation of gravitational waves. The observation was made earlier, on 14 September 2015, using the LIGO detectors. The gravitational waves were caused by the merging of a binary black hole system []. Thus, here, we discuss only a near-field application of gravitational radiation contrary to previous works discussing far-field results.
Unfortunately, no direct measurement of the second temporal derivative of the galactic mass is available. What is available is the remarkable fit between the retardation theoretical velocity and the observed galactic rotation curve, as can be seen in Figure 1, this constitutes indirect evidence of the total mass second derivative. Competing theories like dark matter do not supply any direct observational evidence either. Despite the work of many people and the investment of a large financial resources, there is no evidence of dark matter. Occam’s razor postulates that when theories compete, the one that makes less ontological assumptions about the physical existence of an exotic form of matter, wins. Retardation theory assumes only baryonic matter and a large second temporal derivative of mass.
Problems related to dark matter, such as the core-cusp problem which refers to the difference between the dark matter density profiles of galaxies and the density profiles predicted by N-body simulations. Almost all simulations form dark matter halos, which posses “cuspy” dark matter mass distributions, with density increasing rather steeply at small radii, while the rotation curves of most dwarf galaxies suggest that they have flat central dark matter profiles (“cores”). This does not occur in the retardation theory which does not require dark matter. One cannot consider flat or sharp profiles of dark matter distribution if dark matter is not there. The persistent difficulties with dark matter’s dynamics strengthen the claim that dark matter is not needed and the gravitational lensing characteristics attributed to dark matter should be attributed to retardation.
To conclude, we would like to mention the significant theory of conformal gravity put forward by Mannheim [,]. The current retardation approach leads approximately to a Newtonian potential and in addition a linear potential. Such potential types can be derived from conformal gravity. On purely phenomenological grounds, rotation curve fits for linear plus Newtonian potentials have already been published. While those fits are very good, they had to treat the coefficient of the linear potential as a variable that changed from galaxy to galaxy; this element contradicts conformal gravity in which the coefficient of the linear potential is a universal constant. This can be explained in the framework of retardation, in which a depends on the dynamical particular conditions of every galaxy. Indeed, has a theoretical reason, lacking in a pure phenomenological approach. The work of Mannheim [,,] is related to conformal gravity, which is different from GR, and thus has to justify other results of GR (Big Bang Cosmology, etc.). We also underline that retardation per se does not contradict conformal gravity and, both effects may exist, although the principle of Occam’s razor forbids us to add new universal constants if the existing ones suffice to explain observations.
Retardation theory’s approach is minimalistic (it satisfies the Occam’s razor rule), and does not affect observations that are beyond the near-field regime and, thus, does not contradict GR theory and its observational consequences (nor with Newtonian theory, as the retardation effect is negligible for “small” distances). The perfect fit to the rotation curve and gravitational lensing is achieved with a single parameter and we do not adjust the mass to light ratio in order to improve our fit as is done by other authors. Retardation effects beyond gravity, in particular with respect to electromagnetic theory were studied in [,,,].
In this paper, we study the gravitational lensing scenario showing that retardation effects lead to the same “dark matter” mass for lensing as for galactic rotation curves.
The current paper does not discuss dark matter in a cosmological context; this is left for future work. We mention, however, that on the cosmological scales it is not enough to invoke dark matter, but one must also consider dark energy as described in the CDM model.
The CMB anisotropy spectrum that was observed precisely using WMAP in 2003–2012, and even to higher precision by the Planck spacecraft in 2013–2015 is in agreement with the CDM model [,].
Moreover, small anisotropies of the homogenous universe grew gradually and condensed the homogeneous material into stars, galaxies and larger structures. Since ordinary matter is affected by radiation, which is dominant at very early times. It follows that its density perturbations are washed out and unable to condense []. Thus, it is suggested that if there is only baryonic matter, there would not have been sufficient duration for perturbations to grow into galaxies and clusters seen.
Dark matter is assumed to provides a solution to this problem because it does not interact with electromagnetic radiation. Therefore, its perturbations can grow fast. The resulting gravitational potential attracts ordinary matter collapsing later, significantly speeding up the structure formation process [,].
On the other hand we know [] that Newtonian gravity is only a part of the gravitational force and at large distances retardation forces prevail. Thus, what is attributed to dark matter attraction in terms of density perturbation growth may be attributed to retardation.
The CMB anisotropy spectrum, as well as the distant Super Novae data, may be explained by a more thorough perturbation analysis of the Friedman Robertson Walker metric; preliminary results in this direction are given in [].
Funding
This research received no external funding.
Institutional Review Board Statement
Not applicable.
Informed Consent Statement
Not applicable.
Acknowledgments
The author wishes to thank his former student, Michal Wagman, for supplying the data points for the rotation curve of the M33 galaxy. This work is a result of more than twenty five years of thinking (discontinuously) on the dark matter problem, which was first suggested to me by the late Jacob Bekenstein during my stay at the Hebrew University of Jerusalem. The current retardation solution arose from my discussions with the late Donald Lynden-Bell of Cambridge University, and the late Miron Tuval. Other people with which I discussed this work and offered important feedback are Lawrence Horwitz of Tel-Aviv University and Marcelo Shiffer of Ariel University. This work benefitted from discussions with James Peebles, Neta Bachall and Sam Cohen, all from Princeton University. Special thanks are due to Jiri Bicak for an invitation to present the theory at Charles University in Prague. I would like to thank Philip Mannheim and James Obrien for our discussions during the recent IARD meetings and for supplying some relevant data. I have benefited from discussions with a long list of distinguished scientists and ask their forgiveness for not mentioning them all.
Conflicts of Interest
The author declares no conflict of interest.
References
- Milgrom, M. A modification of the Newtonian dynamics as a possible alternative to the hidden mass hypothesis. Astrophys. J. 1983, 270, 365–370. [Google Scholar] [CrossRef]
- Mannheim, P.D.; Kazanas, D. Exact vacuum solution to conformal Weyl gravity and galactic rotation curves. Astrophys. J. 1989, 342, 635. [Google Scholar] [CrossRef]
- Mannheim, P.D. Linear Potentials and Galactic Rotation Curves. Astrophys. J. 1993, 149, 150. [Google Scholar] [CrossRef]
- Mannheim, P.D. Are Galactic Rotation Curves Really Flat? Astrophys. J. 1997, 479, 659. [Google Scholar] [CrossRef]
- Moffat, J.W. Scalar-Tensor-Vector Gravity Theory. J. Cosmol. Astropart. Phys. 2006, 2006, 004. [Google Scholar] [CrossRef]
- Corda, C. Interferometric detection of gravitational waves: The definitive test for General Relativity. Int. J. Mod. Phys. D 2009, 18, 2275. [Google Scholar] [CrossRef]
- Zwicky, F. On a New Cluster of Nebulae in Pisces. Proc. Natl. Acad. Sci. USA 1937, 23, 251–256. [Google Scholar] [CrossRef] [PubMed]
- Volders, L.M.J.S. Neutral Hydrogen in M33 and M101. Bull. Astr. Inst. Netherl. 1959, 14, 323. [Google Scholar]
- Rubin, V.C.; Ford, W.K., Jr. Rotation of the Andromeda Nebula from a Spectroscopic Survey of Emission Regions. Astrophys. J. 1970, 159, 379. [Google Scholar] [CrossRef]
- Rubin, V.C.; Ford, W.K., Jr.; Thonnard, N. Rotational Properties of 21 Sc Galaxies with a Large Range of Luminosities and Radii from NGC 4605 (R = 4 kpc) to UGC 2885 (R = 122 kpc). Astrophys. J. 1980, 238, 471. [Google Scholar] [CrossRef]
- Yahalom, A. The effect of Retardation on Galactic Rotation Curves. J. Phys. Conf. Ser. 2019, 1239, 012006. [Google Scholar] [CrossRef]
- Yahalom, A. Retardation Effects in Electromagnetism and Gravitation. In Proceedings of the Material Technologies and Modeling the Tenth International Conference, Ariel University, Ariel, Israel, 20–24 August 2018. [Google Scholar]
- Yahalom, A. Dark Matter: Reality or a Relativistic Illusion? In Proceedings of the Eighteenth Israeli-Russian Bi-National Workshop 2019, The Optimization of Composition, Structure and Properties of Metals, Oxides, Composites, Nano and Amorphous Materials, Ein Bokek, Israel, 17–22 February 2019. [Google Scholar]
- Wagman, M. Retardation Theory in Galaxies. Ph.D. Thesis, Senate of Ariel University, Samria, Israel, 23 September 2019. [Google Scholar]
- Yahalom, A. Lorentz Symmetry Group, Retardation, Intergalactic Mass Depletion and Mechanisms Leading to Galactic Rotation Curves. Symmetry 2020, 12, 1693. [Google Scholar] [CrossRef]
- Yahalom, A. Effects of Higher Order Retarded Gravity on Galactic Rotation Curves. In Proceedings of the 1st Electronic Conference on the Universe; Available online: https://ecu2021.sciforum.net/ (accessed on 11 June 2021).
- Yahalom, A. The Cosmological Decrease of Galactic Density and the Induced Retarded Gravity Effect on Rotation Curves. Preprints 2021. [Google Scholar] [CrossRef]
- Corbelli, E. Dark matter and visible baryons in M33. Mon. Not. R. Astron. Soc. 2003, 342, 199–207. [Google Scholar] [CrossRef]
- Jason, D.; Jonathan, C.; Dennis, O. Einstein’s Telescope—Video (02:32). New York Times, 27 December 2015. [Google Scholar]
- Padmanabhan, T. Gravitation—Foundations and Frontiers; Cambridge University Press: Cambridge, UK, 2010. [Google Scholar]
- Dennis, O. Astronomers Observe Supernova and Find They’re Watching Reruns. New York Times, 5 March 2015. [Google Scholar]
- Kennefick, D. Astronomers Test General Relativity: Light-bending and the Solar Redshift. In Albert Einstein-Chief Engineer of the Universe: One Hundred Authors for Einstein Essays; Renn, J., Ed.; Wiley-VCH; pp. 178–181. ISBN 978-3-527-40574-9. Available online: https://www.amazon.com/Albert-Einstein-Engineer-Universe-Hundred/dp/3527405747/ref=sr_1_fkmr0_1?dchild=1&keywords=ISBN+978-3-527-40574-9%E2%80%8E&qid=1624285375&sr=8-1-fkmr0 (accessed on 11 June 2021).
- For the Classic Early Measurements by the Eddington Expeditions. For an Overview of More Recent Measurements, see Ohanian & Ruffini 1994, ch. 4.3. Available online: https://books.google.co.il/books/about/Gravitation_and_Spacetime.html?id=SE2yQgAACAAJ&redir_esc=y (accessed on 11 June 2021).
- Sauer, T. Nova Geminorum 1912 and the Origin of the Idea of Gravitational Lensing. Arch. Hist. Exact Sci. 2008, 62, 1–22. [Google Scholar] [CrossRef][Green Version]
- Abraham, P. ‘Subtle is the Lord ...’ The Science and life of Albert Einstein; Oxford University Press: Oxford, UK, 1982; ISBN 978-0-19-853907-0. [Google Scholar]
- Dyson, F.W.; Eddington, A.S.; Davidson, C.R. A Determination of the Deflection of Light by the Sun’s Gravitational Field, from Observations Made at the Solar eclipse of 29 May 1919. Phil. Trans. Roy. Soc. A 1920, 220, 291–333. [Google Scholar] [CrossRef]
- Daniel, K. Not Only Because of Theory: Dyson, Eddington and the Competing Myths of the 1919 Eclipse Expedition. In Proceedings of the 7th Conference on the History of General Relativity, Tenerife, Spain, 9–15 March 2005; Volume 0709, p. 685. [Google Scholar] [CrossRef]
- Taylor, A.N.; Dye, S.; Broadhurst, T.J.; Benitez, N.; Van Kampen, E. Gravitational lens magnification and the mass of Abell 1689. Astrophys. J. 1998, 501, 539–553. [Google Scholar] [CrossRef][Green Version]
- Wu, X.; Chiueh, T.; Fang, L.; Xue, Y. A comparison of different cluster mass estimates: Consistency or discrepancy? Mon. Not. R. Astron. Soc. 1998, 301, 861–871. [Google Scholar] [CrossRef]
- Adrian, C. Scientists unveil the most detailed map of dark matter to date. Science 2017. [Google Scholar] [CrossRef]
- Priyamvada, N.; Urmila, C.; Mathilde, J.; Johan, R.; Jean-Paul, K.; Harald, E. Mapping substructure in the HST Frontier Fields cluster lenses and in cosmological simulations. Mon. Not. R. Astron. Soc. 2017, 468, 1962. [Google Scholar] [CrossRef]
- Refregier, A. Weak gravitational lensing by large-scale structure. Annu. Rev. Astron. Astrophys. 2003, 41, 645–668. [Google Scholar] [CrossRef]
- Quasars, lensing, and dark matter. In Physics for the 21st Century; Annenberg Foundation: Los Angeles, CA, USA, 2017; Available online: https://www.learner.org/series/physics-for-the-21st-century/ (accessed on 11 June 2021).
- Rik, M. Hubble Snaps Dark Matter Warping Spacetime; The Register: London, UK, 2011. [Google Scholar]
- Weinberg, S. Gravitation and Cosmology: Principles and Applications of the General Theory of Relativity; John Wiley Sons, Inc.: Hoboken, NJ, USA, 1972. [Google Scholar]
- Narlikar, J.V. Introduction to Cosmology, 2nd ed.; Cambridge University Press: Cambridge, UK, 1993. [Google Scholar]
- Eddington, A.S. The Mathematical Theory of Relativity; Cambridge University Press: Cambridge, UK, 1923. [Google Scholar]
- Misner, C.W.; Thorne, K.S.; Wheeler, J.A. Gravitation; W.H. Freeman Company: New York, NY, USA, 1973. [Google Scholar]
- Jackson, J.D. Classical Electrodynamics, 3rd ed.; Wiley: New York, NY, USA, 1999. [Google Scholar]
- Yahalom, A. The Geometrical Meaning of Time. Found. Phys. 2008, 38, 489–497. [Google Scholar] [CrossRef]
- Yahalom, A. The Gravitational Origin of the Distinction between Space and Time. Int. J. Mod. Phys. D 2009, 18, 2155–2158. [Google Scholar] [CrossRef]
- Goldstein, H.; Poole, C.P., Jr.; Safko, J.L. Classical Mechanics, 3rd ed.; Pearson: London, UK, 2002. [Google Scholar]
- van Dokkum, P.; Danieli, S.; Cohen, Y.; Merritt, A.; Romanowsky, A.J.; Abraham, R.; Brodie, J.; Conroy, C.; Lokhorst, D.; Mowla, L.; et al. A galaxy lacking dark matter. Nature 2018, 555, 629–632. [Google Scholar] [CrossRef] [PubMed]
- Einstein, A. Näherungsweise Integration der Feldgleichungen der Gravitation. In Sitzungsberichte der Königlich Preussischen Akademie der Wissenschaften Berlin; Part 1; The Prusssian Academy of Sciences: Berlin, Germany, 1916; pp. 688–696. [Google Scholar]
- Nobel Prize, A. Press Release The Royal Swedish Academy of Sciences; The Royal Swedish Academy of Sciences: Stockholm, Sweden, 1993. [Google Scholar]
- Castelvecchi, D.; Witze, W. Einstein’s gravitational waves found at last. Nat. News 2016. [Google Scholar] [CrossRef]
- Tuval, M.; Yahalom, A. Newton’s Third Law in the Framework of Special Relativity. Eur. Phys. J. Plus 2014, 129, 240. [Google Scholar] [CrossRef]
- Tuval, M.; Yahalom, A. Momentum Conservation in a Relativistic Engine. Eur. Phys. J. Plus 2016, 131, 374. [Google Scholar] [CrossRef]
- Yahalom, A. Retardation in Special Relativity and the Design of a Relativistic Motor. Acta Phys. Pol. A 2017, 131, 1285–1288. [Google Scholar] [CrossRef]
- Rajput, S.; Yahalom, A.; Qin, H. Lorentz Symmetry Group, Retardation and Energy Transformations in a Relativistic Engine. Symmetry 2021, 13, 420. [Google Scholar] [CrossRef]
- Hinshaw, G.; Weiland, J.L.; Hill, R.S.; Odegard, N.; Larson, D.; Bennett, C.L.; Wright, E.L. Five-year Wilkinson microwave anisotropy probe (WMAP) observations: Data processing, sky maps, and basic results. Astrophys. J. Suppl. 2009, 180, 225–245. [Google Scholar] [CrossRef]
- Ade, P.A.R.; Aghanim, N.; Arnaud, M.; Ashdown, M.; Aumont, J.; Baccigalupi, C.; Matarrese, S. Planck 2015 results. XIII. Cosmological parameters. Astron. Astrophys. 2016, 594, A13. [Google Scholar]
- Jaffe, A.H. Cosmology 2012: Lecture Notes. Available online: http://www.sr.bham.ac.uk/smcgee/ObsCosmo/Jaffe_cosmology.pdf (accessed on 11 June 2021).
- Low, L.F. Constraints on the composite photon theory. Mod. Phys. Lett. A 2016, 31, 1675002. [Google Scholar] [CrossRef]
- Yahalom, A. Gravity, Stability and Cosmological Models. Int. J. Mod. Phys. D 2017. [Google Scholar] [CrossRef]
Publisher’s Note: MDPI stays neutral with regard to jurisdictional claims in published maps and institutional affiliations. |
© 2021 by the author. Licensee MDPI, Basel, Switzerland. This article is an open access article distributed under the terms and conditions of the Creative Commons Attribution (CC BY) license (https://creativecommons.org/licenses/by/4.0/).