Multivariate Skew t-Distribution: Asymptotics for Parameter Estimators and Extension to Skew t-Copula
Abstract
1. Introduction
2. Notation and Preliminaries
- 1.
- ;
- 2.
- ;
- 3.
- ;
- 4.
- 5.
- for and ,
- (1)
- ;
- (2)
- , ;
- (3)
- ;
- (4)
- If , then ;
- (5)
- If , then;
- (6)
- If then ;
- (7)
- If then , where denotes the determinant;
- (8)
- If , , then.
- (9)
- If , , then.
3. Multivariate Skew -Distribution
3.1. Definition
3.2. Moments
3.3. Point Estimates
3.4. Asymptotic Normality
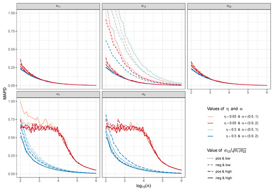
4. Simulations and Discussion
5. Skew t-Copula
5.1. Definition
5.2. Examples of Bivariate Skew t-Copula Densities
6. Conclusions
Supplementary Materials
Author Contributions
Funding
Acknowledgments
Conflicts of Interest
Appendix A
Appendix A.1. Proof of Lemma 2
Appendix A.2. Proof of Theorem 3
- (a)
- The first derivative can be expressed asNow the derivative can be found as
- (b)
- The second derivative in (A1) is
- (a)
- The first derivative can be expressed as
- (b)
- The second derivative is
Appendix A.3. Parameter Sets
| Set 1 | 0.3030 | 0.5 | 1 | 2.0 | 4.00 | −2.20 | −0.78 |
| Set 2 | 0.3030 | 0.5 | 1 | 1.0 | 2.20 | −0.15 | −0.10 |
| Set 3 | 0.2999 | 0.5 | 1 | 1.5 | 1.00 | 0.96 | 0.78 |
| Set 4 | 0.3030 | 0.5 | 1 | 3.0 | 1.35 | 0.20 | 0.10 |
| Set 5 | 0.3049 | 3.0 | 2 | 0.6 | 1.50 | −0.76 | −0.80 |
| Set 6 | 0.3049 | 3.0 | 2 | 0.2 | 0.30 | −0.06 | −0.24 |
| Set 7 | 0.3067 | 3.0 | 2 | 0.1 | 0.10 | 0.08 | 0.80 |
| Set 8 | 0.3012 | 3.0 | 2 | 0.2 | 0.10 | 0.01 | 0.07 |
| Set 9 | 0.0305 | 0.5 | 1 | 5.0 | 42.00 | −11.50 | −0.79 |
| Set 10 | 0.0301 | 0.5 | 1 | 28.0 | 28.00 | −2.80 | −0.10 |
| Set 11 | 0.0300 | 0.5 | 1 | 16.0 | 16.00 | 12.30 | 0.77 |
| Set 12 | 0.0298 | 0.5 | 1 | 15.0 | 25.00 | 3.80 | 0.20 |
| Set 13 | 0.0301 | 3.0 | 2 | 7.0 | 22.00 | −9.90 | −0.80 |
| Set 14 | 0.0305 | 3.0 | 2 | 3.0 | 3.00 | −0.60 | −0.20 |
| Set 15 | 0.0301 | 3.0 | 2 | 1.1 | 2.00 | 1.19 | 0.80 |
| Set 16 | 0.0302 | 3.0 | 2 | 2.2 | 2.00 | 0.36 | 0.17 |
Appendix A.4. Samples with Failed Estimates

References
- Azzalini, A.; Valle, A.D. The multivariate skew-normal distribution. Biometrika 1996, 83, 715–726. [Google Scholar] [CrossRef]
- Theodossiou, P. Financial data and the skewed generalized t distribution. Manag. Sci. 1998, 44, 1650–1661. [Google Scholar] [CrossRef]
- Arellano-Valle, R.B.; Genton, M.G. Multivariate unified skew-elliptical distributions. Chil. J. Stat. 2010, 1, 17–31. [Google Scholar]
- Azzalini, A.; Capitanio, A. Distributions generated by perturbation of symmetry with emphasis on a multivariate skew t-distribution. J. R. Stat. Soc. Ser. (Stat. Methodol.) 2003, 65, 367–389. [Google Scholar] [CrossRef]
- Lee, S.X.; McLachlan, G.J. Finite mixtures of multivariate skew t-distributions: Some recent and new results. Stat. Comput. 2014, 24, 181–202. [Google Scholar] [CrossRef]
- Marchenko, Y.V. Multivariate Skew-T Distributions in Economeetrics and Environmetrics. Ph.D. Thesis, Texas A&M University, College Station, TX, USA, 2010; p. 137. [Google Scholar]
- Parisi, A.; Liseo, B. Objective Bayesian analysis for the multivariate skew-t model. Stat. Methods Appl. 2018, 27, 277–295. [Google Scholar] [CrossRef]
- Fernandez, C.; Steel, M. Multivariate Student-t regression models: Pitfalls and inference. Biometrika 1999, 86, 153–167. [Google Scholar] [CrossRef]
- Jones, M.C. On families of distributions with shape parameters. Int. Stat. Rev. 2015, 83, 175–192. [Google Scholar] [CrossRef]
- Adcock, C.; Eling, M.; Loperfido, N. Skewed distributions in finance and actuarial science: A review. Eur. J. Financ. 2015, 21, 1253–1281. [Google Scholar] [CrossRef]
- Ghizzoni, T.; Roth, G.; Rudari, R. Multivariate skew-t approach to the design of accumulation risk scenarios for the flooding hazard. Adv. Water Resour. 2010, 33, 1243–1255. [Google Scholar] [CrossRef]
- Thompson, K.; Shen, Y. Coastal flooding and the multivariate skew-t distribution. In Skew-Elliptical Distributions and Their Applications: A Journey beyond Normality; Genton, M.G., Ed.; Chapman & Hall/CRC: Boca Raton, FL, USA, 2004; Chapter 14; pp. 243–258. [Google Scholar] [CrossRef]
- Genton, M.G. (Ed.) Skew-Elliptical Distributions and Their Applications. A Journey beyond Normality; Chapman & Hall/CRC: Boca Raton, FL, USA, 2004. [Google Scholar] [CrossRef]
- Azzalini, A.; Capitanio, A. The Skew-Normal and Related Families; Cambridge University Press: Cambridge, UK, 2014. [Google Scholar] [CrossRef]
- Fung, T.; Seneta, E. Tail dependence for two skew t distributions. Stat. Probab. Lett. 2010, 80, 784–791. [Google Scholar] [CrossRef]
- Joe, H.; Li, H. Tail densities of skew-elliptical distributions. J. Multivar. Anal. 2019, 171, 421–435. [Google Scholar] [CrossRef]
- Kollo, T.; Pettere, G.; Valge, M. Tail dependence of skew t-copulas. Commun. Stat. Simul. Comput. 2017, 46, 1024–1034. [Google Scholar] [CrossRef]
- Padoan, S.A. Multivariate extreme models based on underlying skew-t and skew-normal distributions. J. Multivar. Anal. 2011, 102, 977–991. [Google Scholar] [CrossRef]
- Galarza, C.E.; Matos, L.A.; Lachos, V.H. Moments of the doubly truncated selection elliptical distributions with emphasis on the unified multivariate skew-t distribution. arXiv 2020, arXiv:2007.14980. [Google Scholar]
- Zhou, T.; He, X. Three-step estimation in linear mixed models with skew-t distributions. J. Stat. Plan. Inference 2008, 138, 1542–1555. [Google Scholar] [CrossRef]
- DiCiccio, T.J.; Monti, A.C. Inferential aspects of the skew exponential power distribution. J. Am. Stat. Assoc. 2004, 99, 439–450. [Google Scholar] [CrossRef]
- Demarta, S.; McNeil, A.J. The t copula and related copulas. Int. Stat. Rev. 2005, 73, 111–129. [Google Scholar] [CrossRef]
- Kollo, T.; Pettere, G. Parameter estimation and application of the multivariate skew t-copula. In Copula Theory and Its Applications; Jaworski, P., Durante, F., Härdle, W.K., Rychlik, T., Eds.; Springer: Berlin/Heidelberg, Germany, 2010; pp. 289–298. [Google Scholar] [CrossRef]
- Magnus, J.R.; Neudecker, H. Matrix Differential Calculus with Applications in Statistics and Econometrics, 2nd ed.; Wiley: Chichester, UK, 1999. [Google Scholar]
- Kollo, T.; von Rosen, D. Advanced Multivariate Statistics with Matrices; Springer: Dordrecht, The Netherlands, 2010. [Google Scholar] [CrossRef]
- Kotz, S.; Nadarajah, S. Multivariate t Distributions and Their Applications; Cambridge University Press: Cambridge, UK, 2004. [Google Scholar] [CrossRef]
- Kshirsagar, A.M. Some extensions of the multivariate t-distribution and the multivariate generalization of the distribution of the regression coefficient. Math. Proc. Camb. Philos. Soc. 1961, 57, 80–85. [Google Scholar] [CrossRef]
- Fang, H.B.; Fang, K.T.; Kotz, S. The meta-elliptical distributions with given marginals. J. Multivar. Anal. 2002, 82, 1–16. [Google Scholar] [CrossRef]
- Gupta, A.K. Multivariate skew t-distribution. Statistics 2003, 37, 359–363. [Google Scholar] [CrossRef]
- Kollo, T.; Käärik, M.; Selart, A. Asymptotic normality of estimators for parameters of a multivariate skew-normal distribution. Commun. Stat. Theory Methods 2018, 47, 3640–3655. [Google Scholar] [CrossRef]
- Käärik, M.; Selart, A.; Käärik, E. On Parametrization of multivariate skew-normal distribution. Commun. Stat. Theory Methods 2015, 44, 1869–1885. [Google Scholar] [CrossRef]
- Lee, P.M. Bayesian Statistics: An Introduction, 4th ed.; Wiley: Chichester, UK, 2012. [Google Scholar]
- Parring, A.M. Computation of asymptotic characteristics of sample functions. Acta Comment. Univ. Tartu. Math. 1979, 492, 86–90. (In Russian) [Google Scholar]
- Anderson, T.W. An Introduction to Multivariate Statistical Analysis, 3rd ed.; Wiley: New York, NY, USA, 2003. [Google Scholar]
- Lindskog, F.; McNeil, A.; Schmock, U. Kendall’s tau for elliptical distributions. In Credit Risk; Bol, G., Nakhaeizadeh, G., Rachev, S.T., Ridder, T., Vollmer, K.H., Eds.; Physica-Verlag HD: Heidelberg, Germany, 2003; pp. 149–156. [Google Scholar] [CrossRef]
- Cherubini, U.; Luciano, E.; Vecchiato, W. Copula Methods in Finance; John Wiley & Sons: Hoboken, NJ, USA, 2004. [Google Scholar] [CrossRef]
- Käärik, M.; Selart, A.; Käärik, E. The use of copulas to model conditional expectation for multivariate data. In ISI World Statistics Congress Proceedings. Bulletin of the ISI 2011 58th WSC, Dublin; ISI: The Hague, The Netherlands, 2011; pp. 5533–5538. [Google Scholar]




Publisher’s Note: MDPI stays neutral with regard to jurisdictional claims in published maps and institutional affiliations. |
© 2021 by the authors. Licensee MDPI, Basel, Switzerland. This article is an open access article distributed under the terms and conditions of the Creative Commons Attribution (CC BY) license (https://creativecommons.org/licenses/by/4.0/).
Share and Cite
Kollo, T.; Käärik, M.; Selart, A. Multivariate Skew t-Distribution: Asymptotics for Parameter Estimators and Extension to Skew t-Copula. Symmetry 2021, 13, 1059. https://doi.org/10.3390/sym13061059
Kollo T, Käärik M, Selart A. Multivariate Skew t-Distribution: Asymptotics for Parameter Estimators and Extension to Skew t-Copula. Symmetry. 2021; 13(6):1059. https://doi.org/10.3390/sym13061059
Chicago/Turabian StyleKollo, Tõnu, Meelis Käärik, and Anne Selart. 2021. "Multivariate Skew t-Distribution: Asymptotics for Parameter Estimators and Extension to Skew t-Copula" Symmetry 13, no. 6: 1059. https://doi.org/10.3390/sym13061059
APA StyleKollo, T., Käärik, M., & Selart, A. (2021). Multivariate Skew t-Distribution: Asymptotics for Parameter Estimators and Extension to Skew t-Copula. Symmetry, 13(6), 1059. https://doi.org/10.3390/sym13061059

