Abstract
The concept of a spherically symmetric second-rank tensor field is formulated. A general representation of such a tensor field is derived. Results related to tensor analysis of spherically symmetric fields and their geometric properties are presented. Using these results, a formulation of the spherically symmetric problem of the nonlinear theory of dislocations is given. For an isotropic nonlinear elastic material with an arbitrary spherically symmetric distribution of dislocations, this problem is reduced to a nonlinear boundary value problem for a system of ordinary differential equations. In the case of an incompressible isotropic material and a spherically symmetric distribution of screw dislocations in the radial direction, an exact analytical solution is found for the equilibrium of a hollow sphere loaded from the outside and from the inside by hydrostatic pressures. This solution is suitable for any models of an isotropic incompressible body, i.e., universal in the specified class of materials. Based on the obtained solution, numerical calculations on the effect of dislocations on the stress state of an elastic hollow sphere at large deformations are carried out.
1. Introduction
In this work, a spherically symmetric state in which the dislocation density tensor has a spherically symmetric representation is determined. Herewith, the system of equations consisting of constitutive equations, equilibrium equations, and an incompatibility equation admits a spherically symmetric solution. Despite the simplicity of representation, such solutions help to describe complex physical and mechanical phenomena. In gas dynamics, for the problem of the propagation of a strong blast, spherical symmetry enables one to consider the charge as a point charge and is used to find the adiabatic unsteady motions of a perfect gas [1]. In the paper [2], a static spherically symmetric solution for the gravitational field equations obtained in a spherically symmetric Kalb–Ramond background allows us to conclude that in string gravity, spacetime can have such features as a wormhole or a naked singularity. The work [3] is devoted to static spherically symmetric spacetime with nonlinear electrodynamic sources, where conditions under which the metric of static spherically symmetric solutions of the Einstein equations associated with nonlinear electrodynamics is regular (without singularities) at the center (origin) are established. In [4], it is investigated which representations of the Higgs fields of the gauge group can be spherically symmetric or at least contribute to spherical symmetry of stress-energy tensor, and a simple criterion for the existence of nontrivial spherically symmetric Higgs fields is obtained. Two classes of spherically symmetric static vacuum solutions of the Poincaré gauge field theory, obtained using the double duality ansatz for the corresponding Riemann–Cartan curvature tensors are considered in [5]. With the help of the Petrov classification scheme and the Einstein’s field equations using a radial coordinate dependent symmetric tensor of the second-rank, invariant with respect to inflation in the radial direction, in [6], it is investigated what the algebraic structure of the cosmological term can be in the spherically symmetric case. In the paper [7], for an arbitrary number of dimensions with arbitrary torsion it is shown that in the most general theory of gravity, only static spherically symmetric asymptotically flat solutions of the variational equations of motion contain gravitational singularities.
Microstructure defects in the form of dislocations began to be investigated at the beginning of the twentieth century. Some works [8,9,10,11,12,13,14,15,16,17,18,19] devoted to this topic are based on the continuum theory of dislocations, which assumes a transition from a discrete set of dislocations to their continuous distribution. It is advisable to carry out such a transition in the case when the number of dislocations in a limited volume is large enough.
This paper solves the problem for an elastic sphere containing continuously distributed dislocations. Problems about a sphere with dislocations were previously considered in the papers [20,21,22,23]. The main result of this work is a new exact solution to the nonlinear theory of dislocations, which is of spherical symmetry. This solution is universal in the class of isotropic incompressible materials. Universal solutions are such solutions of the equilibrium equations that are valid for any constitutive equations from a certain class of materials. These solutions are used to experimentally determine the constitutive equations and to check numerical results. For incompressible isotropic nonlinear elastic bodies, five families of nonuniform universal deformations are known [24,25,26,27,28,29,30,31,32]. Universal deformations of solids with constraints different from the incompressibility condition are studied in [33,34,35]. Universal solutions for generalized models of continuous media with complex physical and mechanical properties [36,37,38,39] are built up in [40,41].
The obtained universal solution supplements the small list of known exact solutions of the nonlinear dislocation theory [16,17,18,19,42] and describes the influence of distributed screw dislocations in the radial direction on large spherically symmetric deformations of a hollow elastic sphere made of an incompressible material in the presence of an external or internal hydrostatic pressure. The effect of dislocations on the stress state of thin and thick spherical shells is analyzed.
2. Input Relations of the Theory of Dislocations
Let and be the radius vectors of the point of the elastic body in the reference and deformed configurations, respectively, and () are the Cartesian coordinates of the reference and final states of the body, are the coordinate unit vectors. In what follows, we will use the definitions of the gradient, divergence, and curl operators in the coordinates of the reference configuration
Here is an arbitrary differentiable tensor field, , are some Lagrangian curvilinear coordinates, ⊗ denotes tensor multiplication, × and · denote vector multiplication and scalar multiplication, respectively.
The system of equilibrium equations for a nonlinear elastic medium in the absence of mass forces consists of the equilibrium equations
constitutive equations
and geometric relationships
Here is the asymmetric Piola stress tensor, also called the first Piola - Kirchhoff stress tensor, is the deformation gradient, is the metric tensor, W is the specific strain energy.
Let V be the region occupied by an elastic body in the reference configuration. To introduce the concept of dislocation density in an elastic medium, consider the problem of determining the displacement field from the tensor field given in the multiply connected domain V, which is assumed to be differentiable and single-valued in the domain V and satisfies the compatibility equation . Taking into account that
where is the unit tensor, we see that in the case of a multiply connected domain the vector field , and hence the vector field , generally speaking, are not uniquely determined. This means the presence of isolated translational dislocations in the body [15], each of which, due to (5), is characterized by the Burgers vector :
Here, is a simple closed contour encompassing the line of only one n-th dislocation. The total Burgers vector of a discrete set of dislocations according to (6) is determined by the formula
Due to the well-known properties of curvilinear integrals, in (7) it can be replaced by a single integral over the closed contour covering the lines of all dislocations
Following [43,44,45], we pass to the limit from a discrete set of dislocations to their continuous distribution and transform the contour integral (8) into a surface integral by the Stokes formula
Here, is the surface spanning the contour , is the unit normal to . The relation (9) allows us to introduce [43,45,46] the density of continuously distributed dislocations as a second-rank tensor , the flow of which through any surface is equal to the total Burgers vector of dislocations crossing this surface. In what follows, the dislocation density tensor is assumed to be a given function of the Lagrangian coordinates , which must satisfy the solenoidality requirement
If dislocations with a given tensor density are distributed in a body, then the displacement field and the vector field do not exist. In this case, the relation (4) is replaced by the incompatibility equation
and the tensor is called the distortion tensor.
The full system of equilibrium equations for an elastic body with distributed dislocations contains the components of the tensor distortion field as unknown functions and consists of the equilibrium Equation (2), the incompatibility Equation (11), and the constitutive Equation (3).
If a given hydrostatic pressure q acts on a part of the body surface with normal , then the boundary conditions on this part of the boundary have the form [24]
If an elastic material is isotropic, then the specific energy W is the function of invariants of the metric tensor
In the following, we will consider an isotropic incompressible material. In this case, the specific energy is a function of only two arguments: , since the third invariant is equal to unity due to the incompressibility condition
The constitutive equation of an isotropic incompressible elastic body has the form [24,31,32]
Here, p is a pressure in an incompressible material, not expressed in terms of deformation, () are the scalar response functions of an incompressible elastic medium.
Sometimes the elastic properties of an isotropic incompressible material are specified using the function of the first and second invariants of the tensor [24,32]:
3. Spherically Symmetric Tensor Fields
In the reference configuration of the elastic body, let us introduce the spherical coordinates (longitude), (latitude), (radial distance) by the formulas
In what follows, we will use the orthonormal vector basis , , and consisting of unit vectors tangent to the coordinate lines:
Consider a second-rank tensor field and represent it in the form of the decomposition
A tensor field will be called spherically symmetric if the components depend only on the radial coordinate R and it is invariant under any rotations around the radial axis, i.e., around the ort . The latter means [47,48] that for any real values of , the following equality holds:
Let us find a general representation of the second-rank spherically symmetric tensor field. In (24), set . Then and the relation (24) gives the equality
From (26) it follows that . Setting in (24), we obtain the equalities , . Thus, the tensor has the form
With the help of (25) it is easy to check that the tensors , and satisfy the relation (24) for any values of . Therefore, the representation (27) is necessary and sufficient for spherical symmetry of the tensor field .
Let us point out some elementary but useful facts related to second-rank spherically symmetric tensors.
1. Two spherically symmetric tensors and commute: .
2. If , then there is an inverse tensor which is expressed like this:
3. The polar decomposition, i. e., the representation in the form , where is a symmetric positive definite tensor, and is an orthogonal tensor, for a spherically symmetric tensor field is written in a simple and explicit form:
Arbitrary rank tensor field is called spherically symmetric if its components depend only on the radial coordinate and for any values of the following equality holds:
4. An arbitrary spherically symmetric vector field has the form .
5. Using the concept of an isotropic tensor function [47,48] one can prove that the value of an isotropic function of any number of spherically symmetric tensor arguments of arbitrary rank is itself a spherically symmetric tensor. In particular, the product of two second-rank spherically symmetric tensors is also a second-rank spherically symmetric tensor.
4. Spherically Symmetric State of Elastic Hollow Sphere with Distributed Dislocations in Radial Direction
Consider an elastic body in the form of a hollow sphere with an outer radius and an inner radius . Let us assume that the dislocation density tensor is of spherical symmetry, i.e., has the form
The solenoidality condition (10) due to (33) and (34) leads to the following constraint on the scalar dislocation densities ()
We will seek the solution of the equilibrium Equation (2) and the incompatibility Equation (11) in the form of a spherically symmetric distortion tensor field
Based on (32) and (36), the tensor Equation (11) is transformed to three scalar ordinary differential equations
Since the dislocation densities , , are assumed to be given functions, the first equation of (37) determines the function , the second equation is a consequence of the first one and the relation (35). It remains to satisfy Equation (38).
From the constitutive Equations (3) and (13) and the expression (36) it follows that in the case of an isotropic material, the Piola stress tensor will be spherically symmetric, i.e., has the form
The stresses and are expressed in terms of the distortion components , , and with the help of the constitutive relations of the material. Therefore, with the help of the relation (38), the Equation (40) is transformed to a second order nonlinear differential equation with an unknown function . Thus, the problem of large deformations of an elastic sphere with a spherically symmetric distribution of dislocations is reduced to a nonlinear boundary value problem for an ordinary differential equation.
Some problems for elastic sphere with dislocations, the distribution of which is of spherical symmetry, are considered in the works [20,21,22,23,49]. The paper [20] describes the stress state of a hollow sphere made of a compressible semi-linear (harmonic) material containing edge dislocations and subject to external or internal hydrostatic pressures. Thanks to the selected material model and dislocation distribution, an exact solution was built. In [21], a universal solution for the class of isotropic incompressible elastic bodies was found, and eigenstresses in a solid sphere (in a space with a spherical cavity) with a special distribution of edge and screw dislocations, as well as stresses in the presence of hydrostatic pressure applied to the surface of the sphere (cavity), were determined. In [22], for compressible and incompressible materials, the stresses in a hollow sphere, caused by edge and screw dislocations, are numerically determined. The paper [49] contains an exact formulation and solution of the stability problem for a hollow sphere made of a semi-linear material with edge dislocations in the framework of the three-dimensional theory. In the work [23], in the framework of the model of a micropolar medium and in the classical theory of elasticity without couple stresses, an exact solution about the eigenstresses caused by the spherically symmetric distribution of dislocations and disclinations in a hollow linearly elastic sphere was found.
In this work, we investigate the equilibrium problem for an elastic sphere at large deformations taking into account distributed screw dislocations in the radial direction, i.e., in the case when . In this case, the solenoidality requirement (35) completely defines the character of the dependence of the scalar screw dislocation density on the radial coordinate
where a is a real constant. Denoting , based on (36)–(38) and (41), we obtain
For comparison, consider the problem of inflation or compression of a hollow sphere in the absence of dislocations. In this case, the displacement field exists and deformation, as is known [24,26,32], has the form
where , , and r are the spherical coordinates of the points of the sphere in the deformed state. The distortion tensor corresponding to the deformation (43) has the form
Comparing (42) and (44), we see that in the absence of dislocations, the function represents the radial displacement of the points of the sphere.
Considering the material incompressible, from the incompressibility condition (15) and the expression (42), we obtain a differential equation for determining the function :
The solution to Equation (45) is written as follows:
where is an unknown constant. The cubic Equation (46) with respect to has only one real root
It can be shown [20] that in the absence of dislocations (), negative values of the function correspond to the sphere eversion deformation given by the deformation tensor
Taking into account the incompressibility condition (45), we have the expression for the distortion tensor (42) in the form
Using Formulas (28) and (29), we find the tensor , the rotation tensor , the stretch tensor , and its invariants (18)
Although the displacement field does not exist in an elastic body with distributed dislocations, it is possible to determine the elongation of the material fibers and the change of the material surface area during deformation. Applying the well-known [47] formula for transforming an elementary oriented area under deformation, we calculate the area s of the surface into which the surface turns after deformation. Using (49), we obtain
Formula (55) shows that for the value cannot be considered the outer radius of the deformed sphere.
Please note that distributed screw dislocations in the radial direction create a nonlinear effect in an elastic sphere. The influence of such dislocations cannot be detected within the framework of the linear theory of elasticity. Indeed, as is known [44,50], the incompatibility equation in the linear theory of elasticity has the form
Here, is the linear strain tensor. With the help of (32), one can check that if , then the right-hand side of Equation (56) vanishes.
In addition to the incompatibility equation, the equilibrium Equation (40) and the boundary conditions must be fulfilled. We will assume that the outer surface of the sphere is loaded by a uniform hydrostatic pressure , and the inner one is loaded by a pressure . Then by virtue of (12), (39), and (51), we have the following boundary conditions
Based on (16), (17), (39), and (51), the constitutive equations of an isotropic incompressible material in a spherically symmetric problem take the form
If the specific energy is specified as a function of the tensor , then, in accordance with (20), (52)–(54), the components of the tensor are written as
The components of the tensor are known functions of the coordinate R, since they are expressed in terms of the function which is defined by Formula (47). The pressure function remains unknown. Using the relations (58), we transform the equilibrium Equation (40) into a differential equation for the function :
With the help of the incompressibility condition (45), we find
The boundary conditions (57) are written through the function as follows:
The second boundary condition in (64) is used to determine the constant . The function and hence all stresses are now determined with the help of (62).
The solution (65) yields an analytical expression for the loading diagram of a sphere with dislocations, i.e., the dependence of the difference between the internal and external pressures on the deformation parameter
The exact solution obtained here for the problem of large spherically symmetric deformations of an elastic hollow sphere with radial screw dislocations is universal in the class of isotropic incompressible materials.
Next, we will consider separately two cases of sphere loading: hydrostatic compression and inflation.
Let us write the solution of the differential Equation (61) in the form
where K is the constant of integration determined from the boundary condition (57) on an unloaded surface.
For arbitrary incompressible material, we have
and for Bartenev–Khazanovich material [24] (this model is also known as the Varga model), with and in (20), this function has the form
In (68), ‘’ means the derivative of the function with respect to the argument R.
5. Numerical Results
For Section 5.2 and Section 5.3, the numerical results are given for models of two incompressible materials: neo-Hookean and Bartenev–Khazanovich. For each of them, the cases of thin () and thick () shells are considered.
Table 1 shows the pressure values for each specified case of the problem.
Table 1.
Considered cases of applied loads for material models: external pressure and internal pressure .
5.1. Problem for Solid Sphere
Since in the absence of dislocations the function defined by the expression (47) means a radial coordinate, then for a solid sphere the boundary condition
means that the sphere maintains the continuity property. Therefore, this condition is set in a natural way.
Suppose that the boundary condition (70) is also valid for a sphere with dislocations. Let us check this hypothesis in the case of hydrostatic compression of a hollow sphere by pressure , assuming the inner radius to be small. For specificity, we will assume . Please note that the radial coordinate is referred to the outer radius , which is equivalent to .
Consider a model of the neo-Hookean material [24], for which (due to dimensionless stresses), . Table 2 compares the values of for a solid sphere and for a hollow sphere for different dislocation densities. For the corresponding dislocation density, the parameter is determined from the problem of a solid sphere, for which the pressure is calculated from the problem of a hollow sphere. In this case, the more accurate the parameter is determined, the more the values of the functions and coincide.
Table 2.
Comparison of the values of in the case of a solid sphere and in the case of a hollow sphere for neo-Hookean material (, ).
Thus, the numerical analysis showed the validity of the boundary condition (70) for a solid sphere with dislocations, for which the solution taking into account this condition takes the form
Such a function is positive due to the relation obtained from (45).
5.2. Inflation of Sphere
The inflation of the sphere is defined by the boundary condition (57) in the form
which allows calculating in (46), and by the condition that the outer surface is not loaded
with the help of which the constant K is found from (67).
For arbitrary incompressible material, the constant has the form
and for Bartenev–Khazanovich material, we have
where the function is determined by Formulas (68) and (69), respectively.
For inflation of the sphere made of the neo-Hookean material, the numerical results are presented in Figure 1, Figure 2, Figure 3, Figure 4 and Figure 5 in the case of a thin shell and in Figure 6, Figure 7, Figure 8 and Figure 9 in the case of a thick shell. In these figures and below, and are the radial and circumferential Cauchy stresses, which are components of the symmetric Cauchy stress tensor [24,31,32]. In this paper, the stresses are determined by the formulas: , .
Figure 1.
Neo-Hookean material (, ), inflation of thin shell by pressure , dependence ; , .
Figure 2.
Neo-Hookean material (, ), inflation of thin shell by pressure , dependence ; , .
Figure 3.
Neo-Hookean material (, ), inflation of thin shell by pressure , radial Koshi stress .
Figure 4.
Neo-Hookean material (, ), inflation of thin shell by pressure , scaled radial Koshi stress ; , .
Figure 5.
Neo-Hookean material (, ), inflation of thin shell by pressure , circumferential Koshi stress .
Figure 6.
Neo-Hookean material (, ), inflation of thick shell by pressure , dependence ; , .
Figure 7.
Neo-Hookean material (, ), inflation of thick shell by pressure , dependence ; , .
Figure 8.
Neo-Hookean material (, ), inflation of thick shell by pressure , radial Koshi stress .
Figure 9.
Neo-Hookean material (, ), inflation of thick shell by pressure , circumferential Koshi stress .
Since, in the absence of dislocations, is the outer radius of the sphere after deformation, and is the inner radius, the curves at can be considered to be the dependences of the applied pressure on the outer and inner radii, respectively. Figure 1, Figure 2, Figure 6, Figure 7 show that with an increase in dislocation density, the stability loss occurs earlier. In addition, dislocations reduce the sphere’s resistance to inflation. In both figures, the graphs differ slightly.
As shown in Section 4, the values describe the eversion of the sphere. For , the right-hand branch of the curve with a maximum describes an unstable equilibrium position. To calculate the inflation stresses, we will use the left branch ( for ) corresponding to a stable equilibrium position.
For a thin shell () made of the neo-Hookean material, pressure corresponds to the following pairs used in Figure 3 (the scaled diagram is in Figure 4) and Figure 5: , , , .
For a thin shell () made of the Bartenev–Khazanovich material, pressure corresponds to the following pairs used in Figure 10 (the scaled diagram is in Figure 11) and Figure 12: , , , .
Figure 10.
Bartenev–Khazanovich material (, ), inflation of thin shell by pressure , radial Koshi stress .
Figure 11.
Bartenev–Khazanovich material (, ), inflation of thin shell by pressure , scaled radial Koshi stress .
Figure 12.
Bartenev–Khazanovich material (, ), inflation of thin shell by pressure , circumferential Koshi stress .
For a thick shell () made of the neo-Hookean material, pressure corresponds to the following pairs used in Figure 8 and Figure 9: , , , .
For a thick shell () made of the Bartenev–Khazanovich material, pressure corresponds to the following pairs used in Figure 13 and Figure 14: , , , .
Figure 13.
Bartenev–Khazanovich material (, ), inflation of thick shell by pressure , radial Koshi stress .
Figure 14.
Bartenev–Khazanovich material (, ), inflation of thick shell by pressure , circumferential Koshi stress .
Dislocations do not significantly affect the radial stress in a thin shell (Figure 3 and Figure 4) and significantly increase this stress in a thick shell (Figure 8). In a thin shell, the circumferential stress (Figure 5) is distributed more uniformly than in a thick one (Figure 9). In both cases, dislocations increase the stresses in absolute value.
For the Bartenev–Khazanovich material, the solution to the sphere inflation problem is presented in Figure 10, Figure 11, Figure 12, Figure 13, Figure 14, Figure 15, Figure 16, Figure 17 and Figure 18. The dependence of the applied pressure on the parameter , which is the outer radius after deformation in the absence of dislocations, is shown in Figure 15 (thin shell) and Figure 16 (thick shell). For , the points on the part of the curve with an extremum correspond to a stable equilibrium position up to the maximum point and an unstable one — after it. The dependence , as well as the stresses and for the Bartenev–Khazanovich material, are of the same nature as for the neo-Hookean material. For a thin shell, the radial stress is shown in Figure 10 and, to scale, in Figure 11, and the circumferential stress is in Figure 12. With this, the stresses in the Bartenev–Khazanovich material differ insignificantly from the stresses in the neo-Hookean material. Additionally, the stresses in a thick shell (Figure 13 and Figure 14) are close in magnitude to the corresponding stresses of the neo-Hookean material (Figure 8 and Figure 9).
Figure 15.
Bartenev–Khazanovich material (, ), inflation of thin shell by pressure , dependence ; , .
Figure 16.
Bartenev–Khazanovich material (, ), inflation of thick shell by pressure , dependence ; , .
Figure 17.
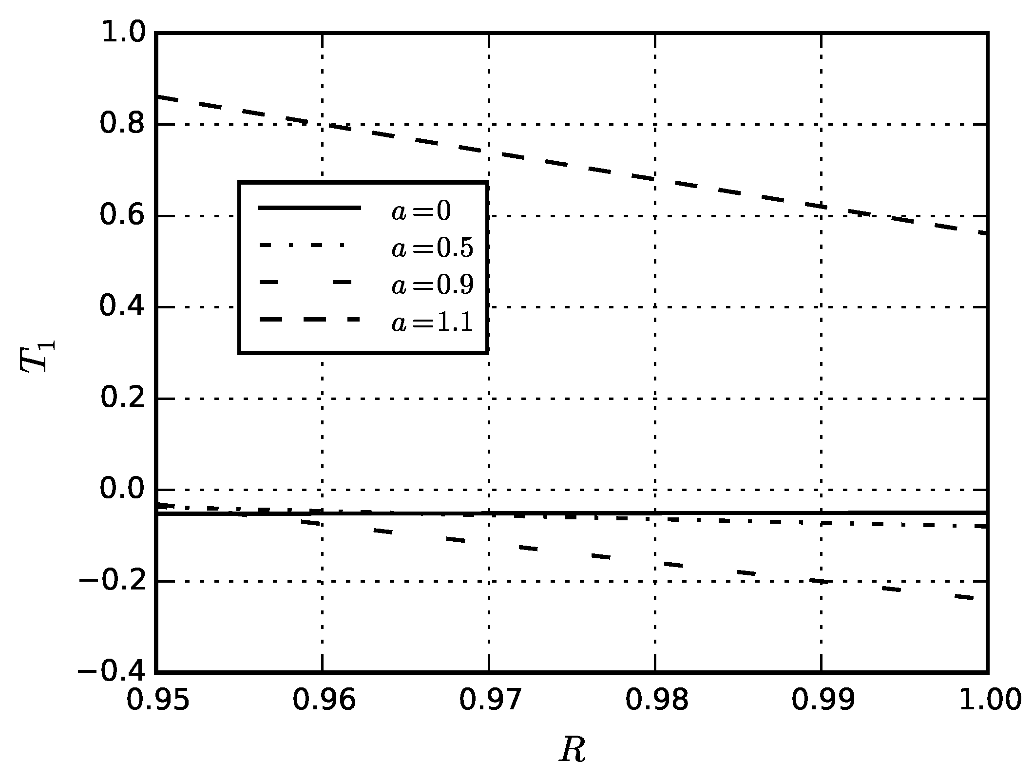
Bartenev–Khazanovich material (, ), inflation of thin shell by pressure , dependence ; , .
Figure 18.
Bartenev–Khazanovich material (, ), inflation of thick shell by pressure , dependence ; , .
5.3. Compression of Sphere by Hydrostatic Pressure
For hydrostatic compression of the sphere by the pressure , the boundary condition (57) is given by the relation
and allows calculating the constant from (46). The no load condition on the inner surface
determines the unknown K from (67).
For an arbitrary incompressible material, the constant has the form
and for Bartenev–Khazanovich material, we have
In the case when the hydrostatic pressure acts on the outer surface of the sphere , in Figure 19, Figure 20, Figure 21 and Figure 22 the stable branch for is the right one. For the convenience of distinguishing closely spaced curves in Figure 22, the scaled diagram is shown in Figure 23. The results obtained for the dependence agree with the tension diagram from [13].
Figure 19.
Neo-Hookean material (, ), hydrostatic compression of thin shell, dependence ; , .
Figure 20.
Neo-Hookean material (, ), hydrostatic compression of thick shell, dependence ; , .
Figure 21.
Bartenev–Khazanovich material (, ), hydrostatic compression of thin shell, dependence ; , .
Figure 22.
Bartenev–Khazanovich material (, ), hydrostatic compression of thick shell, dependence ; , .
Figure 23.
Bartenev–Khazanovich material (, ), hydrostatic compression of thick shell, scaled dependence ; , .
For a thin shell, the radial stress (Figure 24) and the circumferential stress (Figure 25) in the case of a neo-Hookean material differ little from the corresponding stresses of the Bartenev–Khazanovich material (Figure 26 and Figure 27). The stresses in a thick shell (Figure 28, Figure 29, Figure 30 and Figure 31) show that dislocations increase the nonuniformity of dislocation distribution. In this case, the lower density of dislocations in some parts of the sphere causes higher stresses in absolute value.
Figure 24.
Neo-Hookean material (, ), hydrostatic compression of thin shell by pressure , radial Koshi stress .
Figure 25.
Neo-Hookean material (, ), hydrostatic compression of thin shell by pressure , circumferential Koshi stress .
Figure 26.
Bartenev–Khazanovich material (, ), hydrostatic compression of thin shell by pressure , radial Koshi stress .
Figure 27.
Bartenev–Khazanovich material (, ), hydrostatic compression of thin shell by pressure , circumferential Koshi stress .
Figure 28.
Neo-Hookean material (, ), hydrostatic compression of thick shell by pressure , radial Koshi stress .
Figure 29.
Neo-Hookean material (, ), hydrostatic compression of thick shell by pressure , circumferential Koshi stress .
Figure 30.
Bartenev–Khazanovich material (, ), hydrostatic compression of thick shell by pressure , radial Koshi stress .
Figure 31.
Bartenev–Khazanovich material (, ), hydrostatic compression of thick shell by pressure , circumferential Koshi stress .
For a thin shell () made of the neo-Hookean material, pressure corresponds to the following pairs used in Figure 24 and Figure 25: , , , .
For a thin shell () made of the Bartenev–Khazanovich material, pressure corresponds to the following pairs used in Figure 26 and Figure 27: , , , .
For a thick shell () made of the neo-Hookean material, pressure corresponds to the following pairs used in Figure 28 and Figure 29: , , , .
For a thick shell () made of the Bartenev–Khazanovich material, pressure corresponds to the following pairs used in Figure 30 and Figure 31: , , , .
As can be seen from the numerical analysis, the results for the neo-Hookean material and the Bartenev–Khazanovich material differ insignificantly. However, as seen in Figure 7 and Figure 18, the pressure values that correspond to the stable branch for the neo-Hookean material, for the Bartenev–Khazanovich material, may already correspond to the unstable branch.
Both these models are significant because they are widely used in research, experimentally confirmed and mathematically correct since they satisfy the condition of ellipticity at any deformation [24].
5.4. Eigenstresses in Sphere
The case of eigenstresses arising due to the presence of dislocations is investigated for a shell made of the neo-Hookean material (Figure 32 and Figure 33). In the absence of dislocations, the stresses are identically zero.
Figure 32.
Thin shell made of neo-Hookean material (, ), radial Koshi eigenstress .
Figure 33.
Thin shell made of neo-Hookean material (, ), circumferential Koshi eigenstress .
For a thin shell () made of the neo-Hookean material, pressures correspond to the following pairs used in Figure 32 and Figure 33: , , , .
Figure 34 shows the dependence on the dislocation parameter of the quantity for a thick shell in the absence of an external load.
Figure 34.
Neo-Hookean material (, ), eigenstresses in sphere, dependence of quantity on dislocation parameter ; , .
6. Conclusions
In this work, we have solved the problem of large deformations of a hollow elastic sphere with distributed screw dislocations in the radial direction under loading by distributed pressure. The stress state of thin and thick shells was investigated for inflation and hydrostatic compression.
When solving the problem, we used the spherical symmetry of the distortion and stress tensors. The tensor equilibrium equation is reduced to a single scalar one which is transformed to a differential equation with respect to the pressure function in an incompressible body, not expressed in terms of deformation. The equation for one of the distortions, obtained from the incompressibility condition is reduced by introducing an auxiliary function to a cubic equation for this function. Together with the constitutive equations, the system of governing equations is closed by three scalar incompatibility equations, of which only one is independent.
The boundary conditions are the conditions of the presence of pressure on the inner surface of the sphere for inflation and on the outer surface — during hydrostatic compression. It is found that the boundary condition on the inner surface of a sphere of infinitesimal radius can be set with a small error in the same way as for a solid sphere. For numerical analysis, we used models of two incompressible materials: neo-Hookean and Bartenev–Khazanovich. A comparison of the stress state in the presence of dislocations and in their absence is carried out. It is observed that the dislocations have a nonlinear effect on the stresses.
Author Contributions
Conceptualization, L.M.Z.; methodology, L.M.Z.; software, E.V.G.; validation, L.M.Z.; formal analysis, L.M.Z. and E.V.G.; investigation, E.V.G.; data curation, E.V.G.; writing—original draft preparation, L.M.Z. and E.V.G.; writing—review and editing, L.M.Z.; visualization, E.V.G.; supervision, L.M.Z.; project administration, L.M.Z. Both authors have read and agreed to the published version of the manuscript.
Funding
The reported study was funded by the Russian Foundation of Basic Research, project number 19-31-90045.
Institutional Review Board Statement
Not applicable.
Informed Consent Statement
Not applicable.
Data Availability Statement
Data sharing is not applicable to this article.
Conflicts of Interest
The authors declare no conflict of interest. The funders had no role in the design of the study; in the collection, analyses, or interpretation of data; in the writing of the manuscript, or in the decision to publish the results.
References
- Sedov, L.I. Propagation of strong shock waves. J. Appl. Math. Mech. 1946, 10, 241–250. [Google Scholar]
- SenGupta, S.; Sur, S. Spherically symmetric solutions of gravitational field equations in Kalb-Ramond background. Phys. Lett. B 2001, 521, 350–356. [Google Scholar] [CrossRef]
- Garcia-Diaz, A.A.; Gutierrez-Cano, G. Regularity conditions for spherically symmetric solutions of Einstein-nonlinear electrodynamics equations. Ann. Phys. 2020, 422, 168323. [Google Scholar] [CrossRef]
- Künzle, H.P.; Oliynyk, T.A. Spherically symmetric Einstein–Yang–Mills–Higgs fields for general compact gauge groups. Nonlinear Anal. 2005, 63, 473–480. [Google Scholar] [CrossRef]
- Baekler, P. Spherically symmetric solutions of the Poincaré gauge field theory. Phys. Lett. 1983, 96A, 279–282. [Google Scholar] [CrossRef]
- Dymnikova, I.G. The algebraic structure of a cosmological term in spherically symmetric solutions. Phys. Lett. B 2000, 472, 33–38. [Google Scholar] [CrossRef]
- Wheeler, J.T. Symmetric solutions to the maximally Gauss – Bonnet extended Einstein equations. Nuclear Phys. 1986, B273, 732–748. [Google Scholar] [CrossRef]
- Kondo, K. On the geometrical and physical foundations in the theory of yielding. In Proceedings of the 2nd Japan National Congress of Applied Mechanics, Istanbul, Turkey, 20–28 August 1952; pp. 41–47. [Google Scholar]
- Bilby, B.A.; Bullough, R.; Smith, E. Continuous distributions of dislocations: A new application of the methods of non-Riemannian geometry. Proc. R. Soc. Lond. A Math. Phys. Eng. Sci. 1955, A231, 263–273. [Google Scholar]
- Kröner, E. Allgemeine Kontinuumstheorie der Versetzungen und Eigenspannungen. Arch. Ration. Mech. Anal. 1960, 4, 273–334. [Google Scholar] [CrossRef]
- Zorski, H. Statistical theory of dislocations. Int. J. Solids Struct. 1968, 4, 959–974. [Google Scholar] [CrossRef]
- Mossakowska, Z. Displacement description of dislocation lines. I. Cyclic functions. Arch. Mech. 1979, 31, 533–545. [Google Scholar]
- Zubov, L.M. Nonlinear Theory of Dislocations and Disclinations in Elastic Bodies; Springer: Berlin/Heidelberg, Germany, 1997. [Google Scholar]
- Derezin, S.V.; Zubov, L.M. Equations of a nonlinear elastic medium with continuously distributed dislocations and disclinations. Dokl. Phys. 1999, 44, 391–394. [Google Scholar]
- Derezin, S.V.; Zubov, L.M. Disclinations in nonlinear elasticity. Ztsch. Angew. Math. Mech. 2011, 91, 433–442. [Google Scholar] [CrossRef]
- Yavary, A.; Goriely, A. Riemann—Cartan geometry of nonlinear dislocation mechanics. Arch. Ration. Mech. Anal. 2012, 205, 59–118. [Google Scholar] [CrossRef]
- Zelenina, A.A.; Zubov, L.M. Bending and twisting of nonlinear elastic bodies with continuously distributed dislocations. Vestn. Yuzhn. Nauchn. Tsentr. RAN 2009, 3, 15–22. [Google Scholar]
- Zubov, L.M. Spherically symmetric solutions in the nonlinear theory of dislocations. Dokl. Phys. 2014, 59, 419–422. [Google Scholar] [CrossRef]
- Zelenina, A.A.; Zubov, L.M. Nonlinear effects during the tension, bend, and torsion of elastic bodies with distributed dislocations. Dokl. Phys. 2013, 58, 354–357. [Google Scholar] [CrossRef]
- Zhbanova, E.V.; Zubov, L.M. The Influence of Distributed Dislocations on Large Deformations of an Elastic Sphere. In Advanced Methods of Continuum Mechanics for Materials and Structures; Advanced Structured Materials; Naumenko, K., Aßmus, M., Eds.; Springer: Singapore, 2016; Volume 60, pp. 61–76. [Google Scholar]
- Goloveshkina, E.V.; Zubov, L.M. Universal spherically symmetric solution of nonlinear dislocation theory for incompressible isotropic elastic medium. Arch. Appl. Mech. 2019, 89, 409–424. [Google Scholar] [CrossRef]
- Goloveshkina, E.V.; Zubov, L.M. Eigenstresses in a Nonlinearly Elastic Sphere with Distributed Dislocations. In New Achievements in Continuum Mechanics and Thermodynamics; Advanced Structured Materials; Abali, B., Altenbach, H., dell’Isola, F., Eremeyev, V., Öchsner, A., Eds.; Springer International Publishing: Cham, Switzerland, 2019; Volume 108, pp. 137–155. [Google Scholar]
- Zelenina, A.A.; Zubov, L.M. Spherically Symmetric Deformations of Micropolar Elastic Medium with Distributed Dislocations and Disclinations. In Advances in Mechanics of Microstructured Media and Structures; dell’Isola, F., Eremeyev, V.A., Porubov, A., Eds.; Springer International Publishing: Cham, Switzerland, 2018; pp. 357–369. [Google Scholar]
- Lurie, A.I. Nonlinear Theory of Elasticity; North-Holland: Amsterdam, The Netherlands, 1990. [Google Scholar]
- Rivlin, R. Large Elastic Deformations of Isotropic Materials. IV. Further Developments of the General Theory. Philos. Trans. R. Soc. Lond. A Math. Phys. Eng. Sci. 1948, 241, 379–397. [Google Scholar]
- Truesdell, C.; Noll, W. The Non-Linear Field Theories of Mechanics. In Handbuch der Physik; Flügge, S., Ed.; Springer: Berlin, Germany, 1965; Volume 3, pp. 1–602. [Google Scholar]
- Rivlin, R. Large elastic deformations of isotropic materials. V. The problem of flexure. Proc. R. Soc. Lond. A Math. Phys. Eng. Sci. 1949, 195, 463–473. [Google Scholar]
- Rivlin, R. Large elastic deformations of isotropic materials. VI. Further results in the theory of torsion, shear and flexure. Philos. Trans. R. Soc. Lond. A Math. Phys. Eng. Sci. 1949, 242, 173–195. [Google Scholar]
- Ericksen, J.L. Deformations possible in every isotropic, incompressible, perfectly elastic body. Z. Angew. Math. Phys. ZAMP 1954, 5, 466–489. [Google Scholar] [CrossRef]
- Klingbeil, W.W.; Shield, R.T. On a class of solutions in plane finite elasticity. Z. Angew. Math. Phys. ZAMP 1966, 17, 489–511. [Google Scholar] [CrossRef]
- Truesdell, C. A First Course in Rational Continuum Mechanics; Academic Press: New York, NY, USA, 1977. [Google Scholar]
- Ogden, R.W. Non-Linear Elastic Deformations; Dover: New York, NY, USA, 1997. [Google Scholar]
- Pucci, E.; Saccomandi, G. Universal motions for constrained simple materials. Int. J. Non-Linear Mech. 1998, 34, 469–484. [Google Scholar] [CrossRef]
- Saccomandi, G. Universal Results in Finite Elasticity. Non-linear Elasticity: Theory and Applications. Lond. Math. Soc. Lect. Note Ser. 2001, 283, 97–134. [Google Scholar]
- Saccomandi, G.; Beatty, M.F. Universal Relations for Fiber-Reinforced Elastic Materials. Math. Mech. Solids 2002, 7, 95–110. [Google Scholar] [CrossRef]
- Eremeyev, V.; Lebedev, L.P.; Altenbach, H. Foundations of Micropolar Mechanics; Springer: Berlin/Heidelberg, Germany, 2013. [Google Scholar]
- Lurie, K.A. The problem of effective parameters of a mixture of two isotropic dielectrics distributed in space-time and the conservation law for wave impedance in one-dimensional wave propagation. Proc. R. Soc. A Math., Phys. Eng. Sci. 1998, A454, 1767–1779. [Google Scholar] [CrossRef]
- Lurie, K.A. An Introduction to the Mathematical Theory of Dynamic Materials. In Advances in Mechanics and Mathematics; Springer: Berlin/Heidelberg, Germany; New York, NY, USA, 2007; Volume 15. [Google Scholar]
- Maugin, G.A. Continuum Mechanics Through the Twentieth Century; Springer: Berlin/Heidelberg, Germany, 2013. [Google Scholar]
- Dorfmann, A.; Ogden, R.W.; Saccomandi, G. Universal relations for non-linear magnetoelastic solids. Int. J. Non-Linear Mech. 2004, 39, 1699–1708. [Google Scholar] [CrossRef]
- Zubov, L.M. Universal deformations of micropolar isotropic elastic solids. Math. Mech. Solids 2016, 21, 152–167. [Google Scholar] [CrossRef]
- Zubov, L.M. Universal Solutions of Nonlinear Dislocation Theory for Elastic Cylinder. Mech. Solids 2020, 55, 701–709. [Google Scholar] [CrossRef]
- Nye, J.F. Some geometrical relations in dislocated crystals. Acta Met. 1953, 1, 153–162. [Google Scholar] [CrossRef]
- Eshelby, J.D. The continuum theory of Lattice Defects. In Solid State Physics; Seitz, F., Turnbul, D., Eds.; Academic Press: New York, NY, USA, 1956; Volume 3, pp. 79–144. [Google Scholar]
- Landau, L.D.; Lifshitz, E.M. Theory of Elasticity; Theoretical Physics; Pergamon: Oxford, UK, 1975; Volume 7. [Google Scholar]
- Vakulenko, A.A. The relationship of micro- and macroproperties in elastic-plastic media. Itogi Nauk. Tekh. Ser. Mekh. Deform. Tverd. Tela 1991, 22, 3–54. [Google Scholar]
- Zubov, L.M.; Karyakin, M.I. Tensor Calculus; Vuzovskaya kniga: Moscow, Russia, 2006. (In Russian) [Google Scholar]
- Eremeyev, V.A.; Cloud, M.J.; Lebedev, L.P. Applications of Tensor Analysis in Continuum Mechanics; World Scientific: Hackensack, NJ, USA, 2018. [Google Scholar]
- Goloveshkina, E.V.; Zubov, L.M. Equilibrium stability of nonlinear elastic sphere with distributed dislocations. Contin. Mech. Therm. 2020, 32, 1713–1725. [Google Scholar] [CrossRef]
- Teodosiu, C. Elastic Models of Crystal Defects; Springer: Berlin/Heidelberg, Germany, 1982. [Google Scholar]
Publisher’s Note: MDPI stays neutral with regard to jurisdictional claims in published maps and institutional affiliations. |
© 2021 by the authors. Licensee MDPI, Basel, Switzerland. This article is an open access article distributed under the terms and conditions of the Creative Commons Attribution (CC BY) license (https://creativecommons.org/licenses/by/4.0/).

































