Study of Cascading Failure in Multisubnet Composite Complex Networks
Abstract
1. Introduction
2. Materials and Methods
2.1. Composite Network Model
2.2. Coupling Network Cascading Failure Model
2.3. Cascading Failure Model of Composite Networks
3. Results
- (a)
- Attack node v in subnet A to invalidate it, take the value of the overload function for that node as “0”, and find neighbor nodes v that are connected to it.
- (b)
- Redistributes the load of node v and its neighbors, and if any node is overloaded, mark its overload function as “0”.
- (c)
- Find the failure node in the subnet A.
- (d)
- Find all the neighbor nodes of one failed node and redistribute the load of the failed node and its neighbors, where the node with an overload function value of “0” does not accept any external load, and if any node is overloaded, mark its overload function as “0”.
- (e)
- Repeat steps (c)–(d) until no nodes fail.
- (f)
- Calculate the number of failed nodes in the entire network as FA.
- (g)
- Identify the node in subnet B that is coupled to subnet A. If all of its coupled nodes in subnet A fail, then the overload function of this node is marked as “0”.
- (h)
- Identify the failed nodes in subnet B.
- (i)
- Redistribute the load of a failed node and its neighbor nodes in subnet B. A node with an overload function value of “0” will not accept any external load, and when the node fails, its overload function is marked as “0”.
- (j)
- Repeat steps (h)–(i) until no nodes fail.
- (k)
- Calculate the number of failed nodes in the entire network as FB.
- (l)
- Repeat steps (a)–(h) until each node is attacked once in subnet A, and calculate the failure size S of the composite network.
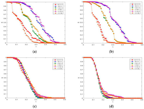
3.1. Influence of Intranetwork Relationship Strength on Composite Networks under Different Conditions of Relationship Topology within the Network
3.2. Influence of Coupling Relationship Strength on Composite Networks under Different Conditions of Relationship Topology within the Network
3.3. The Average Degree of the Relationship within the Network and Effect of Relationship Strength on Composite Networks under Different Conditions
3.4. The Effect of Relationship Strength on Composite Networks under Different Conditions of Different Average Degree of the Coupling Relationship
4. Discussion and Conclusions
Author Contributions
Funding
Institutional Review Board Statement
Informed Consent Statement
Data Availability Statement
Conflicts of Interest
References
- Rosato, V.; Issacharoff, L.; Tiriticco, F.; Meloni, S.; De Porcellinis, S.; Setola, R. Modelling interdependent infrastructures using interacting dynamical models. Int. J. Crit. Infrastruct. 2008, 4, 63–79. [Google Scholar] [CrossRef]
- Sun, G.X.; Bin, S. Router-Level Internet Topology Evolution Model based on Multi-Subnet Composited Complex Network Model. J. Internet Technol. 2017, 18, 1275–1283. [Google Scholar]
- Agrawal, V.K.; Baba, K.V.S.; Narasimhan, S.R. Enhancing resilience of the North Indian Power System against pollution and foggy weather—An Experience. J. Int. Assoc. Electr. Gener. Transm. Distrib. 2017, 30, 33–39. [Google Scholar]
- Carreras, B.A.; Reynolds, B.; José, M. Critical behavior of power transmission network complex dynamics in the OPA model. Chaos 2019, 29, 033103. [Google Scholar] [CrossRef]
- Dobson, I.; Carreras, B.A.; Newman, D.E. A loading-dependent model of probabilistic cascading failure. Probab. Eng. Inf. Sci. 2005, 19, 15–32. [Google Scholar] [CrossRef]
- Bak, P.; Tang, C.; Wiesenfeld, K. Self-organized criticality: An explanation of the 1/fnoise. Phys. Rev. Lett. 1987, 59, 381–384. [Google Scholar] [CrossRef]
- Wang, L.; Fu, Y.; Chen, M.Z.Q.; Yang, X. Controllability robustness for scale-free networks based on nonlinear load capacity. Neurocomputing 2017, 251, 99–105. [Google Scholar] [CrossRef]
- Kinney, R.; Crucitti, P.; Albert, R.; Latora, V. Modeling cascading failures in the North American power grid. Eur. Phys. J. B 2005, 46, 101–107. [Google Scholar] [CrossRef]
- Wang, X.J.; Guo, S.Z.; Jin, L.; Chen, M.; Juan, W.X.; Ze, G.S.; Mo, C.; Lei, J. Cascading failures mechanism based on betweenness-degree ratio distribution with different connecting preferences. Int. J. Mod. Phys. C 2017, 28, 1750052. [Google Scholar] [CrossRef]
- Guo, J.; Xu, J.; He, Z.; Liao, W. Simulation Study on Cascading Failure of Multimodal Transport Network. J. Adv. Transp. 2020, 2020, 1–9. [Google Scholar] [CrossRef]
- Motter, A.E.; Lai, Y.-C. Cascade-based attacks on complex networks. Phys. Rev. E 2002, 66, 065102. [Google Scholar] [CrossRef]
- Crucitti, P.; Latora, V.; Marchiori, M. Model for cascading failures in complex networks. Phys. Rev. E 2004, 69, 045104. [Google Scholar] [CrossRef]
- Buldyrev, S.V.; Parshani, R.; Paul, G.; Stanley, H.E.; Havlin, S. Catastrophic cascade of failures in interdependent networks. Nat. Cell Biol. 2010, 464, 1025–1028. [Google Scholar] [CrossRef]
- Huang, X.; Gao, J.; Buldyrev, S.V.; Havlin, S.; Stanley, H.E. Robustness of interdependent networks under targeted attack. Phys. Rev. E 2011, 83, 065101. [Google Scholar] [CrossRef]
- Junde, W.; Songyang, L.; Yirun, R. Research on the Robustness of Interdependent Networks under Localized Attack. Appl. Sci. 2017, 7, 597–610. [Google Scholar]
- Gao, Y.-L.; Chen, S.-M.; Nie, S.; Ma, F.; Guan, J.-J. Robustness analysis of interdependent networks under multiple-attacking strategies. Phys. A Stat. Mech. Appl. 2018, 496, 495–504. [Google Scholar] [CrossRef]
- Zhao, D.; Wang, Z.; Xiao, G.; Gao, B.; Wang, L. The robustness of interdependent networks under the interplay between cascading failures and virus propagation. Euro. Phys. Lett. 2016, 115, 58004. [Google Scholar] [CrossRef]
- Chen, Z.; Du, W.-B.; Bin Cao, X.; Zhou, X.-L. Cascading failure of interdependent networks with different coupling preference under targeted attack. Chaos Solitons Fractals 2015, 80, 7–12. [Google Scholar] [CrossRef]
- Wang, J.; Jiang, C.; Qian, J. Robustness of interdependent networks with different link patterns against cascading failures. Phys. A Stat. Mech. Appl. 2014, 393, 535–541. [Google Scholar] [CrossRef]
- Dong, Z.; Fang, Y.; Tian, M.; Zhang, R. Approaches to improve the robustness on interdependent networks against cascading failures with load-based model. Mod. Phys. Lett. B 2015, 29, 1550210. [Google Scholar] [CrossRef]
- Shao, S.; Huang, X.; Stanley, H.E.; Havlin, S. Robustness of a partially interdependent network formed of clustered networks. Phys. Rev. E 2014, 89, 032812. [Google Scholar] [CrossRef]
- Cheng, Z.; Cao, J. Cascade of failures in interdependent networks coupled by different type networks. Phys. A Stat. Mech. Appl. 2015, 430, 193–200. [Google Scholar] [CrossRef]
- Fu, G.; Dawson, R.; Khoury, M.; Bullock, S. Interdependent networks: Vulnerability analysis and strategies to limit cascading failure. Eur. Phys. J. B 2014, 87, 148. [Google Scholar] [CrossRef]
- Min, B.; Yi, S.D.; Lee, K.-M.; Goh, K.-I. Network robustness of multiplex networks with interlayer degree correlations. Phys. Rev. E 2014, 89, 042811. [Google Scholar] [CrossRef]
- Shin, D.-H.; Qian, D.; Zhang, J. Cascading effects in interdependent networks. IEEE Netw. 2014, 28, 82–87. [Google Scholar] [CrossRef]
- Bin, S.; Sun, G.; Cao, N.; Qiu, J.; Zheng, Z.; Yang, G.; Zhao, H.; Jiang, M.; Xu, L. Collaborative Filtering Recommendation Algorithm Based on Multi-Relationship Social Network. Comput. Mater. Contin. 2019, 60, 659–674. [Google Scholar] [CrossRef]







| Symbols | Explanation |
|---|---|
| The relationship on edge | |
| The degree of node about relationship | |
| The initial load of node | |
| The relationship set between the failed node and its neighbor nodes | |
| The set of neighbor nodes of node about relationship | |
| The relationship strength of relationship | |
| The number of triangles constituted by edges according to the relationship | |
| The importance of node about relationship | |
| The load of the relationship from node to node | |
| The number of failed nodes caused by node |
Publisher’s Note: MDPI stays neutral with regard to jurisdictional claims in published maps and institutional affiliations. |
© 2021 by the authors. Licensee MDPI, Basel, Switzerland. This article is an open access article distributed under the terms and conditions of the Creative Commons Attribution (CC BY) license (http://creativecommons.org/licenses/by/4.0/).
Share and Cite
Sun, G.; Chen, C.-C.; Bin, S. Study of Cascading Failure in Multisubnet Composite Complex Networks. Symmetry 2021, 13, 523. https://doi.org/10.3390/sym13030523
Sun G, Chen C-C, Bin S. Study of Cascading Failure in Multisubnet Composite Complex Networks. Symmetry. 2021; 13(3):523. https://doi.org/10.3390/sym13030523
Chicago/Turabian StyleSun, Gengxin, Chih-Cheng Chen, and Sheng Bin. 2021. "Study of Cascading Failure in Multisubnet Composite Complex Networks" Symmetry 13, no. 3: 523. https://doi.org/10.3390/sym13030523
APA StyleSun, G., Chen, C.-C., & Bin, S. (2021). Study of Cascading Failure in Multisubnet Composite Complex Networks. Symmetry, 13(3), 523. https://doi.org/10.3390/sym13030523
