Coherence Trapping in Open Two-Qubit Dynamics
Abstract
:1. Introduction
2. Open Quantum System and Coherence
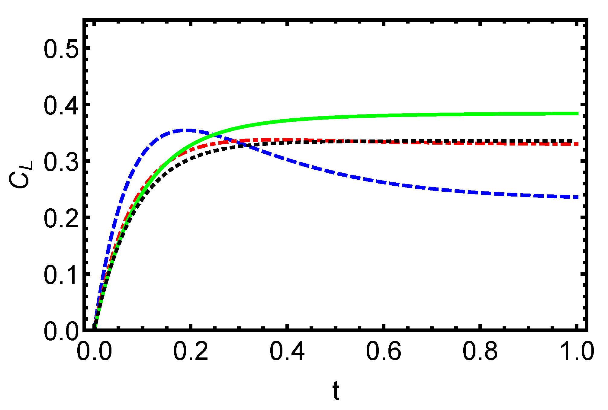
3. Asymptotic Dynamics of Quantum Coherence in Open Quantum System Systems
4. Coherence and Total Quantum Correlation
5. Conclusions
Author Contributions
Funding
Institutional Review Board Statement
Informed Consent Statement
Data Availability Statement
Acknowledgments
Conflicts of Interest
References
- Zurek, W.H. Decoherence, einselection, and the quantum origins of the classical. Rev. Mod. Phys. 2003, 75, 715. [Google Scholar] [CrossRef] [Green Version]
- Wen-Long, Y.; Yimin, W.; Tian-Cheng, Y.; Chengjie, Z.; Oleś Andrzej, M. Quantum coherence in a compass chain under an alternating magnetic field. Phys. Rev. B 2018, 97, 224420. [Google Scholar]
- Streltsov, A.; Adesso, G.; Plenio, M.B. Quantum coherence as a resource. Rev. Mod. Phys. 2017, 89, 041003. [Google Scholar] [CrossRef] [Green Version]
- Ollivier, H.; Zurek, W.H. Quantum Discord: A Measure of the Quantumness of Correlations. Phys. Rev. Lett. 2001, 88, 017901. [Google Scholar]
- Nath Bera, M.; Acín, A.; Kuś, M.; Mitchell, M.; Lewenstein, M. Randomness in quantum mechanics: Philosophy, physics and technology. Rep. Prog. Phys. 2017, 80, 124001. [Google Scholar] [CrossRef] [PubMed] [Green Version]
- Castelano, L.K.; Fanchini, F.F.; Berrada, K. Open quantum system description of singlet-triplet qubits in quantum dots. Phys. Rev. B 2016, 94, 235433. [Google Scholar] [CrossRef] [Green Version]
- Berrada, K.; Eleuch, H. Noncommutative deformed cat states under decoherence. Phys. Rev. D 2019, 100, 016020. [Google Scholar] [CrossRef]
- Einstein, A.; Podolsky, B.; Rosen, N. Can Quantum-Mechanical Description of Physical Reality Be Considered Complete? Phys. Rev. 1935, 47, 777. [Google Scholar] [CrossRef] [Green Version]
- Schrödinger, E. Die gegenwärtige Situation in der Quantenmechanik. Naturwissenschafen 1935, 23, 807. [Google Scholar]
- Bell, J.S. Physics Long Island City. N. Y. 1964, 195, 1. [Google Scholar]
- Lostaglio, M.; Jennings, D.; Rudolph, T. Description of quantum coherence in thermodynamic processes requires constraints beyond free energy. Nat. Commun. 2015, 6, 6383. [Google Scholar] [CrossRef] [PubMed] [Green Version]
- Karlström, O.; Linke, H.; Karlström, G.; Wacker, A. Increasing thermoelectric performance using coherent transport. Phys. Rev. B 2011, 84, 113415. [Google Scholar] [CrossRef] [Green Version]
- Giovannetti, V.; Lloyd, S.; Maccone, L. Quantum-Enhanced Measurements: Beating the Standard Quantum Limit. Science 2004, 306, 1330. [Google Scholar] [CrossRef] [Green Version]
- Berrada, K. Quantum metrology with SU(1,1) coherent states in the presence of nonlinear phase shifts. Phys. Rev. A 2013, 88, 013817. [Google Scholar] [CrossRef]
- Berrada, K. Quantum metrology with classical light states in non-Markovian lossy channels. J. Opt. Soc. Am. B 2017, 34, 1912. [Google Scholar] [CrossRef]
- Berrada, K.; Abdel-Khalek, S.; Ooi, C.H.R. Quantum metrology with entangled spin-coherent states of two modes. Phys. Rev. A 2012, 86, 033823. [Google Scholar] [CrossRef] [Green Version]
- Berrada, K. High precision regions of phase sensitivity for the superposition of coherent fields. Laser Phys. Lett. 2014, 11, 105202. [Google Scholar] [CrossRef]
- Plenio, M.B.; Huelga, S.F. Dephasing-assisted transport: Quantum networks and biomolecules. New J. Phys. 2008, 10, 113019. [Google Scholar] [CrossRef]
- Lloyd, S. Quantum coherence in biological systems. J. Phys. Conf. Ser. 2011, 302, 012037. [Google Scholar] [CrossRef]
- Li, C.-M.; Lambert, N.; Chen, Y.-N.; Chen, G.-Y.; Nori, F. Witnessing Quantum Coherence: From solid-state to biological systems. Sci. Rep. 2012, 2, 885. [Google Scholar] [CrossRef] [PubMed] [Green Version]
- Baumgratz, T.; Cramer, M.; Plenio, M.B. Quantifying Coherence. Phys. Rev. Lett. 2014, 113, 140401. [Google Scholar] [CrossRef] [Green Version]
- Streltsov, A.; Singh, U.; Dhar, H.S.; Bera, M.N.; Adesso, G. Measuring Quantum Coherence with Entanglement. Phys. Rev. Lett. 2015, 115, 020403. [Google Scholar] [CrossRef] [PubMed] [Green Version]
- Yuan, X.; Zhou, H.; Cao, Z.; Ma, X. Intrinsic randomness as a measure of quantum coherence. Phys. Rev. A 2015, 92, 022124. [Google Scholar] [CrossRef] [Green Version]
- Winter, A.; Yang, D. Operational Resource Theory of Coherence. Phys. Rev. Lett. 2016, 116, 120404. [Google Scholar] [CrossRef] [Green Version]
- Scully, M.O.; Zubairy, M.S. Quantum Optics; Cambridge U.P.: New York, NY, USA, 1997. [Google Scholar]
- Tsang, M. Quantum transition-edge detectors. Phys. Rev. A 2013, 88, 021801(R). [Google Scholar] [CrossRef] [Green Version]
- Yu, T.; Eberly, J.H. Quantum Open System Theory: Bipartite Aspects. Phys. Rev. Lett. 2006, 97, 140403. [Google Scholar] [CrossRef] [Green Version]
- Shulman, M.D.; Dial, O.E.; Harvey, S.P.; Bluhm, H.; Umansky, V.; Yacoby, A. Demonstration of Entanglement of Electrostatically Coupled Singlet-Triplet Qubits. Science 2012, 336, 202. [Google Scholar]
- Schuetz, M.J.A.; Kessler, E.M.; Vandersypen, L.M.K.; Cirac, J.I.; Giedke, G. Nuclear spin dynamics in double quantum dots: Multistability, dynamical polarization, criticality, and entanglement. Phys. Rev. B 2014, 89, 195310. [Google Scholar] [CrossRef] [Green Version]
- Borras, A.; Blaauboer, M. Detecting entanglement of two-electron spin qubits with witness operators. Phy. Rev. B 2011, 84, 033301. [Google Scholar] [CrossRef] [Green Version]
- Hiltunen, T.; Harju, A. Maximal tripartite entanglement between singlet-triplet qubits in quantum dots. Phys. Rev. B 2014, 89, 115322. [Google Scholar]
- Culcer, D.; Cywiński, Ł.; Li, Q.; Hu, X.; Sarma, S.D. Realizing singlet-triplet qubits in multivalley Si quantum dots. Phys. Rev. B 2009, 80, 205302. [Google Scholar] [CrossRef] [Green Version]
- Kennes, D.M.; Meden, V.; Vasseur, R. Universal quench dynamics of interacting quantum impurity systems. Phys. Rev. B 2014, 90, 115101. [Google Scholar] [CrossRef] [Green Version]
- Vasseur, R.; Trinh, K.; Haas, S.; Saleur, H. Crossover physics in the nonequilibrium dynamics of quenched quantum impurity systems. Phys. Rev. Lett. 2013, 110, 240601. [Google Scholar] [CrossRef] [PubMed]
- White, S.R. Density matrix formulation for quantum renormalization groups. Phys. Rev. Lett. 1992, 69, 2863. [Google Scholar] [CrossRef]
- Vidal, G. Efficient Simulation of One-Dimensional Quantum Many-Body Systems. Phys. Rev. Lett. 2004, 93, 040502. [Google Scholar] [CrossRef] [PubMed] [Green Version]
- Schollwock, U. The density-matrix renormalization group in the age of matrix product states. Ann. Phys. 2011, 326, 96. [Google Scholar] [CrossRef] [Green Version]
- Porras, D.; Cirac, J.I. Effective Quantum Spin Systems with Trapped Ions. Phys. Rev. Lett. 2004, 92, 207901. [Google Scholar] [CrossRef] [Green Version]
- Leibfried, D.; DeMarco, B.; Meyer, V.; Lucas, D.; Barrett, M.; Britton, J.; Itano, W.M.; Jelenković, B.; Langer, C.; Rosenband, T.; et al. Experimental demonstration of a robust, high-fidelity geometric two ion-qubit phase gate. Nature 2003, 422, 412. [Google Scholar] [CrossRef]
- Schmidt-Kaler, F.; Häffner, H.; Riebe, M.; Gulde, S.; Lancaster, G.P.; Deuschle, T.; Becher, C.; Roos, C.F.; Eschner, J.; Blatt, R. Realization of the Cirac–Zoller controlled-NOT quantum gate. Nature 2003, 422, 408. [Google Scholar] [CrossRef] [PubMed]
- Addis, C.; Brebner, G.; Haikka, P.; Maniscalco, S. Coherence trapping and information backflow in dephasing qubits. Phys. Rev. 2014, 89, 024101. [Google Scholar] [CrossRef] [Green Version]
- Perez-Leija, A.; Guzmán-Silva, D.; León-Montiel, R.D.J.; Gräfe, M.; Heinrich, M.; Moya-Cessa, H.; Busch, K.; Szameit, A. Endurance of quantum coherence due to particle indistinguishability in noisy quantum networks. NPJ Quantum. Inf. 2018, 4, 45. [Google Scholar] [CrossRef] [Green Version]
- Guo, Y.-N.; Tian, Q.-L.; Zeng, K.; Li, Z.-d. Microwave photonics with superconducting quantum circuits. Quantum. Inf. Process. 2017, 16, 310. [Google Scholar] [CrossRef] [Green Version]
- Hu, M.L.; Fan, H. Quantum coherence of multiqubit states in correlated noisy channels. Sci. China-Phys. Mech. Astron. 2020, 63, 230322. [Google Scholar] [CrossRef] [Green Version]
- Alicki, R.; Lendi, K. Quantum Dynamical Semigroups and Applications; Lecture Notes in Physics; Springer: Berlin, Germany, 2007; p. 717. [Google Scholar]
- Breuer, H.-P.; Petruccione, F. The Theory of Open Quantum Systems; Oxford University Press: Oxford, UK, 2002. [Google Scholar]
- Benatti, F.; Liguori, A.M.; Pluzzano, G. Entanglement and entropy rates in open quantum systems. J. Phys. A Math. Theor. 2010, 43, 045304. [Google Scholar] [CrossRef] [Green Version]
- Benatti, F.; Floreanini, R. Open Quantum Dynamics: Complete Positivity and Entanglement. Int. J. Mod. Phys. 2005, B 19, 3063. [Google Scholar] [CrossRef] [Green Version]
- Spohn, H. Kinetic equations from Hamiltonian dynamics: Markovian limits. Rev. Mod. Phys. 1980, 52, 569. [Google Scholar] [CrossRef]
- Horodecki, M.; Horodecki, P.; Horodecki, R. Quantum Information: An Introduction to Basic Theoretical Concepts and Experiments; Springer: Berlin/Heidelberg, Germany, 2001; p. 151. [Google Scholar]
- Werner, R.F. Quantum states with Einstein-Podolsky-Rosen correlations admitting a hidden-variable model. Phys. Rev. A 1989, 40, 4277. [Google Scholar] [CrossRef] [PubMed]
- Hu, M.L.; Hu, X.; Wang, J.; Peng, Y.; Zhang, Y.R.; Fan, H. Quantum coherence and geometric quantum discord. Phys. Rep. 2018, 762, 1. [Google Scholar] [CrossRef] [Green Version]
- Girolami, D.; Tufarelli, T.; Adesso, G. Characterizing Nonclassical Correlations via Local Quantum Uncertainty. Phys. Rev. Lett. 2013, 110, 240402. [Google Scholar] [CrossRef] [Green Version]




Publisher’s Note: MDPI stays neutral with regard to jurisdictional claims in published maps and institutional affiliations. |
© 2021 by the authors. Licensee MDPI, Basel, Switzerland. This article is an open access article distributed under the terms and conditions of the Creative Commons Attribution (CC BY) license (https://creativecommons.org/licenses/by/4.0/).
Share and Cite
Algarni, M.; Berrada, K.; Abdel-Khalek, S.; Eleuch, H. Coherence Trapping in Open Two-Qubit Dynamics. Symmetry 2021, 13, 2445. https://doi.org/10.3390/sym13122445
Algarni M, Berrada K, Abdel-Khalek S, Eleuch H. Coherence Trapping in Open Two-Qubit Dynamics. Symmetry. 2021; 13(12):2445. https://doi.org/10.3390/sym13122445
Chicago/Turabian StyleAlgarni, Mariam, Kamal Berrada, Sayed Abdel-Khalek, and Hichem Eleuch. 2021. "Coherence Trapping in Open Two-Qubit Dynamics" Symmetry 13, no. 12: 2445. https://doi.org/10.3390/sym13122445
APA StyleAlgarni, M., Berrada, K., Abdel-Khalek, S., & Eleuch, H. (2021). Coherence Trapping in Open Two-Qubit Dynamics. Symmetry, 13(12), 2445. https://doi.org/10.3390/sym13122445

