Weak Feature Extraction of Local Gear Damage Based on Underdamped Asymmetric Periodic Potential Stochastic Resonance
Abstract
:1. Introduction
2. Underdamped Asymmetric Periodic Potential Stochastic Resonance
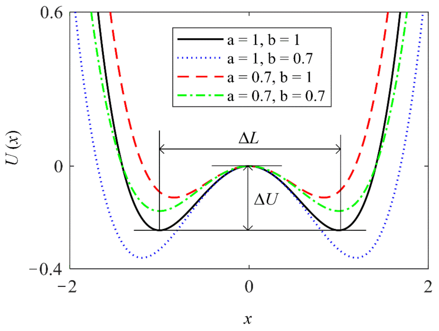
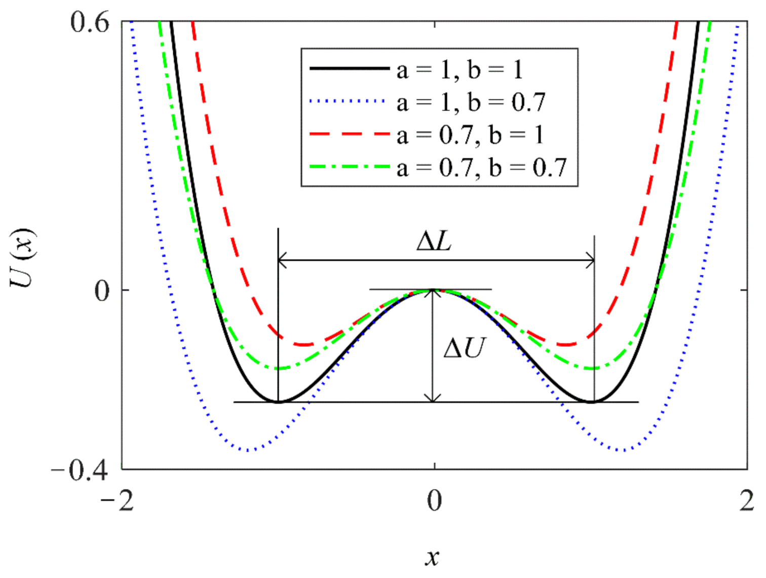
2.1. Theoretical Model
2.2. Weak Fault Diagnosis Strategy Based on UAPPSR Method
- (1)
- Signal preprocessing: Common signal processing methods (such as envelope demodulation technology used to process the modulated signal to be detected) are employed to preprocess the collected original signal.
- (2)
- Parameter initialization: In the UAPPSR system, the search range of system parameters and is set, and calculation step is initialized.
- (3)
- Parameter optimization: By calculating the maximum output SNR of system variables , , and calculation step within the specified range, the optimal parameter combination corresponding to the maximum SNR is determined. If all the optimal parameters do not exceed the search range, the optimal output has been found; otherwise, expand the search range and perform the searching step again.
- (4)
- Signal post-processing: The final system output is obtained according to the optimal parameter combination of the UAPPSR system, and the frequency domain information is adopted to judge the fault characteristic frequency contained in the original measured signal and the corresponding fault characteristics.
3. Performance Evaluation
3.1. Effect of the UAPPSR
3.2. System Performance with Different Input Signals
4. Experimental Verification
4.1. Gear Defect Detection with Local Damage
4.2. Discussions for Experimental Results
- (1)
- The introduction of the damping coefficient enables the SR system to exhibit the effect of secondary filtering on the input signals. By adjusting the value of the damping factor, UAPPSR can appear as an under-damped or over-damped system, which facilitates the analysis of different types of input signals under different noise levels. With the advantage of secondary filtering, finding an optimal damping factor can effectively enhance the detection performance of the proposed method, ensure that the system output has a relatively high SNR, and reduce the interference of other components.
- (2)
- Considering that the local fault response of gears usually appears in the form of periodic impulses modulated by high-frequency components, the traditional bistable SR system with a symmetrical potential structure, i.e., with two potential wells and one potential barrier, will often result in symmetrical characteristics when analyzing the envelope of the input signal, which loses the asymmetric characteristics of the original envelope signal. The main reason for this result is that the envelope signal in the positive region will make it difficult for particles to jump into the left potential well. However, in the UAPPSR system, a lower well on the left side can be obtained by adjusting the asymmetry coefficient , so that the particles can pass smoothly through the potential barrier to achieve inter-well resonance. Because the proposed method considers the consistency of the impulsive input signal and the UAPPSR system, the transition of particles between the potential wells is easier than in the traditional UBSR system. The simulation and experimental results also confirmed that the output effect of the UAPPSR system with an asymmetric potential well model is better than that of the traditional UBSR system.
- (3)
- The classical bistable SR model needs to meet the condition of small parameters that the amplitude and frequency of the periodic signal, as well as the noise, are all smaller than one when detecting weak signals. However, current strategies for processing large parameter signals, such as the frequency re-scaling technique [32], the scale normalization technique [33], and the multiscale noise tuning method [34], all need some prior knowledge to adjust the original signal in the time or frequency domains, such that, to overcome the limitations of small parameters, these methods cannot be effectively applied to engineering practice. In the proposed UAPPSR method, the large parameter signal is properly processed through the adjustment of calculating step . In essence, is equal to the reciprocal of the sampling frequency, which represents searching for the best sampling frequency to make the SR system and input signal match perfectly. Therefore, the UAPPSR system combined with the step-varying method shows a good nonlinear filtering effect when analyzing engineering signals with large parameter characteristics. The simulation and experimental results validate the effectiveness and advantages of the proposed method.
5. Conclusions
Author Contributions
Funding
Institutional Review Board Statement
Informed Consent Statement
Data Availability Statement
Conflicts of Interest
Nomenclature
| damping factor | |
| asymmetric coefficient | |
| calculation step interval | |
| noise intensity of a signal | |
| barrier parameter of the bistable potential | |
| barrier parameter of the bistable potential | |
| amplitude of a signal | |
| length of a signal | |
| interval between the occurrence of the impulse | |
| modulation frequency | |
| sampling frequency | |
| width of the potential barrier | |
| height of the potential barrier | |
| a Gaussian white noise with zero mean and unit variance | |
| system input signal | |
| system noise item |
References
- Radzevich, S. Theory of Gearing: Kinematics, Geometry, and Synthesis; CRC Press: Boca Raton, FL, USA, 2018. [Google Scholar]
- Gołębski, R.; Boral, P. Study of machining of gears with regular and modified outline using CNC machine tools. Arch. Mater. 2021, 14, 2913. [Google Scholar] [CrossRef] [PubMed]
- Gołębski, R.; Ivandić, Ž. Analysis of modification of spur gear profile. Teh. Vjesn. 2018, 25, 643–648. [Google Scholar]
- Gołębski, R.; Szarek, A. Diagnosis of the operational gear wheel wear. Teh. Vjesn. 2019, 26, 658–661. [Google Scholar]
- Lei, Y.; Lin, J.; Zuo, M.; He, Z. Condition monitoring and fault diagnosis of planetary gearboxes: A review. Measurement 2014, 48, 292–305. [Google Scholar] [CrossRef]
- Goyal, D.; Vanraj; Pabla, B.; Dhami, S. Condition monitoring parameters for fault diagnosis of fixed axis gearbox: A review. Arch. Comput. Method Eng. 2017, 24, 543–556. [Google Scholar] [CrossRef]
- Bajric, R.; Zuber, N.; Skrimpas, G.; Mijatovic, N. Feature extraction using discrete wavelet transform for gear fault diagnosis of wind turbine gearbox. Shock Vib. 2016, 2016. [Google Scholar] [CrossRef] [Green Version]
- Gao, M.; Yu, G.; Wang, T. Impulsive gear fault diagnosis using adaptive Morlet wavelet filter based on alpha-stable distribution and Kurtogram. IEEE Access 2019, 7, 72283–72296. [Google Scholar] [CrossRef]
- Yu, G.; Gao, M.; Jia, C. A fast filtering method based on adaptive impulsive wavelet for the gear fault diagnosis. Proc. Inst. Mech. Eng. Part C. J. Eng. Mech. Eng. Sci. 2020. Available online: https://journals.sagepub.com/doi/abs/10.1177/0954406220906245 (accessed on 20 February 2020).
- Gao, L.; Yang, Z.; Cai, L.; Wang, H.; Chen, P. Roller Bearing Fault Diagnosis Based on Nonlinear Redundant Lifting Wavelet Packet Analysis. Sensors 2011, 11, 260–277. [Google Scholar] [CrossRef]
- Li, Y.; Xu, M.; Wei, Y.; Huang, W. An improvement EMD method based on the optimized rational Hermite interpolation approach and its application to gear fault diagnosis. Measurement 2015, 63, 330–345. [Google Scholar] [CrossRef]
- Kuai, M.; Cheng, G.; Pang, Y.; Li, Y. Research of planetary gear fault diagnosis based on permutation entropy of CEEMDAN and ANFIS. Sensors 2018, 18, 782. [Google Scholar] [CrossRef] [Green Version]
- Lei, Y.; Li, N.; Lin, J.; Wang, S. Fault diagnosis of rotating machinery based on an adaptive ensemble empirical mode decomposition. Sensors 2013, 13, 16950–16964. [Google Scholar] [CrossRef] [Green Version]
- Sun, W.; Yao, B.; Zeng, N.; Chen, B.; He, Y.; Cao, X.; He, W. An intelligent gear fault diagnosis methodology using a complex wavelet enhanced convolutional neural network. Materials 2017, 10, 790. [Google Scholar] [CrossRef] [Green Version]
- Wang, L.; Liu, Z.; Cao, H.; Zhang, X. Subband averaging kurtogram with dual-tree complex wavelet packet transform for rotating machinery fault diagnosis. Mech. Syst. Signal Proc. 2020, 142, 106755. [Google Scholar] [CrossRef]
- Sun, R.; Yang, Z.; Chen, X.; Tian, S.; Xie, Y. Gear fault diagnosis based on the structured sparsity time-frequency analysis. Mech. Syst. Signal Proc. 2018, 102, 346–363. [Google Scholar] [CrossRef]
- Huang, W.; Li, S.; Fu, X.; Zhang, C.; Shi, J.; Zhu, Z. Transient extraction based on minimax concave regularized sparse representation for gear fault diagnosis. Measurement 2019, 151, 107273. [Google Scholar] [CrossRef]
- Benzi, R.; Sutera, A.; Vulpiani, A. The mechanism of stochastic resonance. J. Phys. A Math. Gen. 1981, 14, L453–L457. [Google Scholar] [CrossRef]
- Gammaitoni, L.; Hänggi, P.; Jung, P.; Marchesoni, F. Stochastic resonance. Rev. Mod. Phys. 1998, 70, 223. [Google Scholar] [CrossRef]
- Li, Q.; Wang, T.; Leng, Y.; Wang, W.; Wang, G. Engineering signal processing based on adaptive step-changed stochastic resonance. Mech. Syst. Signal Proc. 2007, 21, 2267–2279. [Google Scholar]
- Lu, S.; He, Q.; Kong, F. Stochastic resonance with Woods–Saxon potential for rolling element bearing fault diagnosis. Mech. Syst. Signal Proc. 2014, 45, 488–503. [Google Scholar] [CrossRef]
- Zhang, H.; He, Q.; Lu, S.; Kong, F. Stochastic resonance with a joint woods-saxon and gaussian potential for bearing fault diagnosis. Math. Probl. Eng. 2014, 2014. [Google Scholar] [CrossRef] [Green Version]
- Liu, X.; Liu, H.; Yang, J.; Litak, G.; Cheng, G.; Han, S. Improving the bearing fault diagnosis efficiency by the adaptive stochastic resonance in a new nonlinear system. Mech. Syst. Signal Proc. 2017, 96, 58–76. [Google Scholar] [CrossRef]
- Chen, Z.; Shao, Y. Dynamic simulation of spur gear with tooth root crack propagating along tooth width and crack depth. Eng. Fail. Anal. 2011, 18, 2149–2164. [Google Scholar] [CrossRef]
- Khang, N.; Cau, T.; Dien, N. Modelling parametric vibration of gear-pair systems as a tool for aiding gear fault diagnosis. Tech. Mech. 2004, 24, 198–205. [Google Scholar]
- Qiao, Z.; Lei, Y.; Lin, J.; Jia, F. An adaptive unsaturated bistable stochastic resonance method and its application in mechanical fault diagnosis. Mech. Syst. Signal Proc. 2017, 84, 731–746. [Google Scholar] [CrossRef]
- Li, J.; Chen, X.; He, Z. Multi-stable stochastic resonance and its application research on mechanical fault diagnosis. J. Sound Vibr. 2013, 332, 5999–6015. [Google Scholar] [CrossRef]
- Zhao, S.; Shi, P.; Han, D. A novel mechanical fault signal feature extraction method based on unsaturated piecewise tri-stable stochastic resonance. Measurement 2021, 168, 108374. [Google Scholar] [CrossRef]
- Li, Z.; Liu, X.; He, T.; Shan, Y. A periodic potential underdamped stochastic resonance method and its application for gear fault diagnosis. IEEE Access 2019, 7, 141633–141647. [Google Scholar] [CrossRef]
- Ray, R.; Sengupta, S. Stochastic resonance in underdamped, bistable systems. Phys. Lett. A. 2006, 353, 364–371. [Google Scholar] [CrossRef] [Green Version]
- Qi, Q.; Zhou, B. Stochastic resonance in an underdamped periodic potential system with symmetric trichotomous noise. Indian J. Phys. 2020, 94, 81–86. [Google Scholar] [CrossRef]
- Leng, Y.; Wang, T.; Guo, Y.; Xu, Y.; Fan, S. Engineering signal processing based on bistable stochastic resonance. Mech. Syst. Signal Proc. 2007, 21, 138–150. [Google Scholar] [CrossRef]
- Hu, N.; Chen, M.; Wen, X. The application of stochastic resonance theory for early detecting rub-impact fault of rotor system. Mech. Syst. Signal Proc. 2003, 17, 883–895. [Google Scholar] [CrossRef]
- He, Q.; Wang, J.; Liu, Y.; Dai, D.; Kong, F. Multiscale noise tuning of stochastic resonance for enhanced fault diagnosis in rotating machines. Mech. Syst. Signal Proc. 2012, 28, 443–457. [Google Scholar] [CrossRef]















| Gear Parameters | Values |
|---|---|
| Module | 3 |
| Tooth width | 20 mm |
| Pressure angle | 20° |
| Number of the normal pinion teeth | 55 |
| Number of the tested gear teeth | 75 |
| Defect Type | Local Crack Defect |
|---|---|
| Envelope signal SNR(dB) | −16.0298 |
| Output SNR of UBSR | −4.5762 |
| Output SNR of UAPPSR | 23.7435 |
Publisher’s Note: MDPI stays neutral with regard to jurisdictional claims in published maps and institutional affiliations. |
© 2021 by the authors. Licensee MDPI, Basel, Switzerland. This article is an open access article distributed under the terms and conditions of the Creative Commons Attribution (CC BY) license (https://creativecommons.org/licenses/by/4.0/).
Share and Cite
Hu, B.; Zhang, S.; Peng, M.; Liu, J.; Liu, S.; Zhang, C. Weak Feature Extraction of Local Gear Damage Based on Underdamped Asymmetric Periodic Potential Stochastic Resonance. Symmetry 2021, 13, 2008. https://doi.org/10.3390/sym13112008
Hu B, Zhang S, Peng M, Liu J, Liu S, Zhang C. Weak Feature Extraction of Local Gear Damage Based on Underdamped Asymmetric Periodic Potential Stochastic Resonance. Symmetry. 2021; 13(11):2008. https://doi.org/10.3390/sym13112008
Chicago/Turabian StyleHu, Bingbing, Shuai Zhang, Ming Peng, Jie Liu, Shanhui Liu, and Chunlin Zhang. 2021. "Weak Feature Extraction of Local Gear Damage Based on Underdamped Asymmetric Periodic Potential Stochastic Resonance" Symmetry 13, no. 11: 2008. https://doi.org/10.3390/sym13112008
APA StyleHu, B., Zhang, S., Peng, M., Liu, J., Liu, S., & Zhang, C. (2021). Weak Feature Extraction of Local Gear Damage Based on Underdamped Asymmetric Periodic Potential Stochastic Resonance. Symmetry, 13(11), 2008. https://doi.org/10.3390/sym13112008

