Effect of Asymmetry of Channels on Flows in Parallel Plates with a Sudden Expansion
Abstract
1. Introduction
2. Methods
2.1. Configuration of Problem
2.2. Numerical Method
3. Results and Discussion
3.1. Comparison with Previous Papers
3.2. Flow Pattern
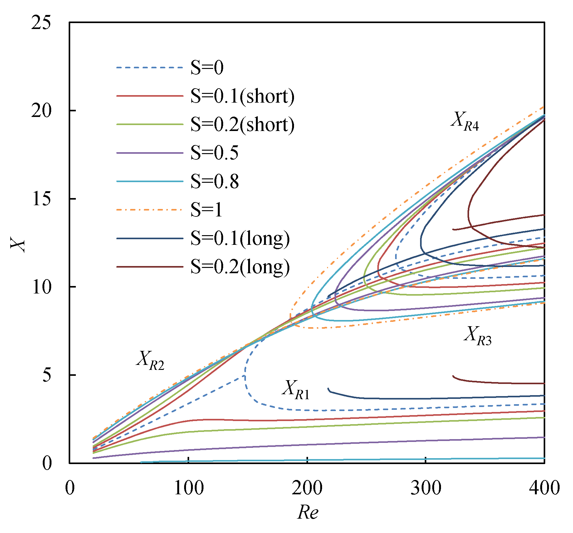
3.3. Reattachment Length
3.4. Critical Reynolds Number
3.5. Entrance Length
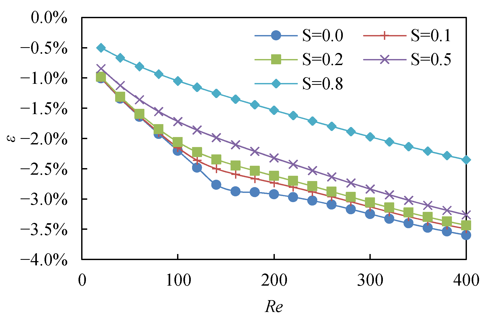
3.6. Pressure Drop
4. Conclusions
- For asymmetric flow channel, the jet flow first reattached to the short side of the sudden expansion wall surface. When the Reynolds number exceeded the critical Reynolds number Remul, the other solution where the jet flow first reattached to the long side of the sudden expansion wall surface also held. The former process is called short-side flow, and the latter one is called long-side flow. These multiple solutions appeared in the region of S ≤ 0.2. The value of Remul changed parabolically with respect to S.
- At E = 2, the third peeling vortex was generated at the critical Reynolds number Re3rd or higher not only in the short-side flow but also in the long-side flow. The value of Re3rd for the short-side flow decreased linearly with the increase in S, while the value of Re3rd for the long-side flow rather increased.
- The entrance length Le increased linearly with the increase in Re. Although Le became longer with the increase in S, the difference due to the difference in S decreased with the increase in Re. Furthermore, Le for the long-side flow was shorter than that for the short-side flow, but the difference in both values was smaller than 1%.
- The contribution of the sudden expansion part to the pressure loss could be evaluated by the pressure loss coefficient ζe. The value of ζe was proportional to the exponentiation of Re, and it increased as S approached from 0 to 1. Further, the value of ζe for the long-side flow was smaller than that for the short-side flow.
Author Contributions
Funding
Institutional Review Board Statement
Informed Consent Statement
Data Availability Statement
Conflicts of Interest
References
- Abbott, D.E.; Kline, S.J. Experimental investigation of subsonic turbulent flow over single and double backward facing steps. J. Basic Eng. 1962, 84, 317–325. [Google Scholar] [CrossRef]
- Durst, F.; Melling, A.; Whitelaw, J.H. Low Reynolds number flow over a plane symmetric sudden expansion. J. Fluid Mech. 1974, 64, 111–128. [Google Scholar] [CrossRef]
- Nakanishi, S.; Sakurai, M.; Osaka, H. Numerical study on two-dimensional symmetric sudden expansion channel flow. dynamic characteristics. Trans. Jpn. Soc. Mech. Eng. Ser. B 1995, 61, 3182–3189. [Google Scholar] [CrossRef]
- Hawa, T.; Rusak, Z. The dynamics of a laminar flow in a symmetric channel with a sudden expansion. J. Fluid Mech. 2001, 436, 283–320. [Google Scholar] [CrossRef]
- Ota, T.; Yanaoka, H.; Hata, T. Numerical analysis of laminar flow and heat transfer in a two-dimensional symmetrically enlarged channel. Trans. Jpn. Soc. Mech. Eng. Ser. B 1994, 60, 3930–3936. [Google Scholar] [CrossRef][Green Version]
- Ota, T.; Yanaoka, H.; Shibuya, K.; Nakajima, M.; Yoshikawa, H. Numerical analysis of separated flow and heat transfer in an enlarged channel. Trans. Jpn. Soc. Mech. Eng. Ser. B 2000, 66, 2109–2116. [Google Scholar] [CrossRef][Green Version]
- Mishra, S.; Jayaraman, K. Asymmetric flows in planar symmetric channels with large expansion ratio. Int. J. Numer. Methods Fluids 2002, 38, 945–962. [Google Scholar] [CrossRef]
- Duwig, C.; Salewski, M.; Fuchs, L. Simulations of a turbulent flow past a sudden expansion: A sensitivity analysis. AIAA J. 2008, 46, 408–419. [Google Scholar] [CrossRef]
- Denham, M.K.; Patrick, M.A. Laminar flow over a downstream-facing step in a two-dimensional flow channel. Trans. Inst. Chem. Eng. 1974, 52, 361–367. [Google Scholar]
- Fearn, R.M.; Mullin, T.; Cliffe, K.A. Nonlinear flow phenomena in a symmetric sudden expansion. J. Fluid Mech. 1990, 211, 595–608. [Google Scholar] [CrossRef]
- Hawa, T.; Rusak, Z. Viscous flow in a slightly asymmetric channel with a sudden expansion. Phys. Fluids 2000, 12, 2257–2267. [Google Scholar] [CrossRef]
- Kato, T. Flow analysis of adherent jets in asymmetric suddenly expansion channel (Part 1, numerical analysis in unsteady laminar flow region). Trans. Jpn. Soc. Mech. Eng. Ser. B 1983, 49, 737–740. [Google Scholar] [CrossRef]
- Nakanishi, S.; Sakurai, M.; Osaka, H. Numerical study on laminar separated flow through asymmetric sudden-expansion channel. Trans. Jpn. Soc. Mech. Eng. Ser. B 1995, 61, 460–467. [Google Scholar] [CrossRef]
- Nakanishi, S.; Sakurai, M.; Osaka, H. Numerical study on two-dimensional asymmetric expansion channel flow. examination of separated recirculation vortex. Trans. Jpn. Soc. Mech. Eng. Ser. B 1997, 63, 2915–2922. [Google Scholar] [CrossRef]
- Iguchi, M.; Ohmi, M. Loss coefficients for flows through a sudden expansion and a sudden contraction closely placed. Trans. Jpn. Soc. Mech. Eng. Ser. B 1986, 52, 3252–3258. [Google Scholar] [CrossRef][Green Version]
- Rojas, E.; Pino, C.; Montes, C. Global mode analysis of a pipe flow through a 1:2 axisymmetric sudden expansion. Phys. Fluids 2010, 22, 071702. [Google Scholar] [CrossRef]
- Lee, D.H.; Park, H.J.; Kim, S.J. Local heat transfer downstream of an asymmetric abrupt expansion and cavity in a circular tube. Int. J. Therm. Sci. 2014, 79, 229–239. [Google Scholar] [CrossRef]
- Yin, K.; Yang, S.; Dong, X.; Chu, D.; Duan, J.-A.; He, J. Robust laser-structured asymmetrical PTFE mesh for underwater directional transportation and continuous collection of gas bubbles. Appl. Phys. Lett. 2018, 112, 243701. [Google Scholar] [CrossRef]
- Yin, K.; Wu, Z.; Wu, J.; Zhu, Z.; Zhang, F.; Duan, J.-A. Solar-driven thermal-wind synergistic effect on laser-textured superhydrophilic copper foam architectures for ultrahigh efficient vapor generation. Appl. Phys. Lett. 2021, 118, 211905. [Google Scholar] [CrossRef]
- Masuda, T. Two-dimensional flow in channels with an eccentric sudden expansion. J. Polytech. Sci. 2018, 34, 86–93. [Google Scholar]
- Ebrahimpour, M.; Shafaghat, R.; Alamian, R.; Shadloo, M.S. Numerical investigation of the Savonius vertical axis wind turbine and evaluation of the effect of the overlap parameter in both horizontal and vertical directions on its performance. Symmetry 2019, 11, 821. [Google Scholar] [CrossRef]
- Jalali, E.; Akbari, O.A.; Sarafraz, M.M.; Abbas, T.; Safaei, M.R. Heat transfer of Oil/MWCNT nanofluid jet injection inside a rectangular microchannel. Symmetry 2019, 11, 757. [Google Scholar] [CrossRef]
- Masuda, T.; Tagawa, T. Quasi-periodic oscillating flows in a channel with a suddenly expanded section. Symmetry 2019, 11, 1403. [Google Scholar] [CrossRef]
- Zhang, X.; Gerdt, V.P.; Blinkov, Y.A. Algebraic construction of a strongly consistent, permutationally symmetric and conservative difference scheme for 3D steady stokes flow. Symmetry 2019, 11, 269. [Google Scholar] [CrossRef]
- Mungkasi, S.; Roberts, S.G. Weak local residuals as smoothness indicators in adaptive mesh methods for shallow water flows. Symmetry 2020, 12, 345. [Google Scholar] [CrossRef]
- Mizushima, J.; Shiotani, Y. Structural instability of the bifurcation diagram for two-dimensional flow in a channel with a sudden expansion. J. Fluid Mech. 2000, 420, 131–145. [Google Scholar] [CrossRef]
- Durst, F.; Pereira, J.; Tropea, C. The plane symmetric sudden-expansion flow at low Reynolds numbers. J. Fluid Mech. 1993, 248, 567–581. [Google Scholar] [CrossRef]












| S | Resym and Remul | Re3rd (Short) | Re3rd (Long) |
|---|---|---|---|
| 0 | 147.6 | 274.5 | 274.5 |
| 0.1 | 217.8 | 259.6 | 295.5 |
| 0.2 | 323.0 | 247.9 | 335.7 |
| 0.5 | — | 223.4 | — |
| 0.8 | — | 203.9 | — |
| 1 | — | 185.6 | — |
Publisher’s Note: MDPI stays neutral with regard to jurisdictional claims in published maps and institutional affiliations. |
© 2021 by the authors. Licensee MDPI, Basel, Switzerland. This article is an open access article distributed under the terms and conditions of the Creative Commons Attribution (CC BY) license (https://creativecommons.org/licenses/by/4.0/).
Share and Cite
Masuda, T.; Tagawa, T. Effect of Asymmetry of Channels on Flows in Parallel Plates with a Sudden Expansion. Symmetry 2021, 13, 1857. https://doi.org/10.3390/sym13101857
Masuda T, Tagawa T. Effect of Asymmetry of Channels on Flows in Parallel Plates with a Sudden Expansion. Symmetry. 2021; 13(10):1857. https://doi.org/10.3390/sym13101857
Chicago/Turabian StyleMasuda, Takuya, and Toshio Tagawa. 2021. "Effect of Asymmetry of Channels on Flows in Parallel Plates with a Sudden Expansion" Symmetry 13, no. 10: 1857. https://doi.org/10.3390/sym13101857
APA StyleMasuda, T., & Tagawa, T. (2021). Effect of Asymmetry of Channels on Flows in Parallel Plates with a Sudden Expansion. Symmetry, 13(10), 1857. https://doi.org/10.3390/sym13101857

