Gas of Baby Universes in JT Gravity and Matrix Models
Abstract
1. Introduction
2. Generating Functional in Matrix Models
3. Generating Functional in JT Gravity
4. Double Scaling Limit for the GUE
5. Deformation by an Exponential Potential
6. Matrix Model for JT Gravity
6.1. Potentials for Non-Normalized Density Distribution
6.2. Effective Energy
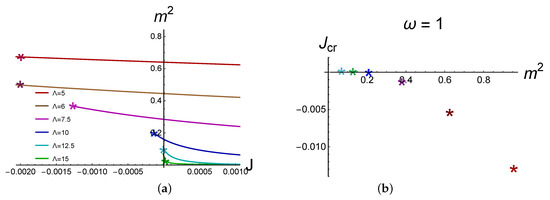
6.3. Phase Transition
7. Discussion and Conclusions
Author Contributions
Funding
Acknowledgments
Conflicts of Interest
References
- Saad, P.; Shenker, S.H.; Stanford, D. JT gravity as a matrix integral. arXiv 2019, arXiv:1903.11115. [Google Scholar]
- Jackiw, R. Lower Dimensional Gravity. Nucl. Phys. B 1985, 252, 343–356. [Google Scholar] [CrossRef]
- Teitelboim, C. Gravitation and Hamiltonian Structure in Two Space-Time Dimensions. Phys. Lett. B 1983, 126, 41–45. [Google Scholar] [CrossRef]
- Mirzakhani, M. Growth of Weil-Petersson volumes and random hyperbolic surface of large genus. J. Differ. Geom. 2013, 94, 267–300. [Google Scholar] [CrossRef]
- Eynard, B.; Orantin, N. Invariants of algebraic curves and topological expansion. arXiv 2007, arXiv:math-ph/0702045. [Google Scholar] [CrossRef]
- Eynard, B.; Orantin, N. Weil-Petersson volume of moduli spaces, Mirzakhani’s recursion and matrix models. arXiv 2007, arXiv:0705.3600. [Google Scholar]
- Witten, E. Two-dimensional gravity and intersection theory on moduli space. Surv. Diff. Geom. 1991, 1, 243–310. [Google Scholar]
- Kontsevich, M. Intersection theory on the moduli space of curves and the matrix airy function. Commun. Math. Phys. 1992, 147, 1–23. [Google Scholar] [CrossRef]
- Manin, Y.I.; Zograf, P. Invertible Cohomological Field Theories and Weil-Petersson volumes. arXiv 1999, arXiv:math/9902051. [Google Scholar] [CrossRef]
- Dijkgraaf, R.; Witten, E. Developments in Topological Gravity. Int. J. Mod. Phys. A 2018, 33, 1830029. [Google Scholar] [CrossRef]
- Cotler, J.S.; Gur-Ari, G.; Hanada, M.; Polchinski, J.; Saad, P.; Shenker, S.H.; Stanford, D.; Streicher, A.; Tezuka, M. Black Holes and Random Matrices. J. High Energy Phys. 2017, 2017, 118. [Google Scholar] [CrossRef]
- Saad, P.; Shenker, S.H.; Stanford, D. A semiclassical ramp in SYK and in gravity. arXiv 2018, arXiv:1806.06840. [Google Scholar]
- Green, M.B.; Schwarz, J.H.; Witten, E. Superstring Theory; Cambridge University Press: Cambridge, UK, 1987; 469p. [Google Scholar]
- Witten, E. Noncommutative Geometry and String Field Theory. Nucl. Phys. B 1986, 268, 253–294. [Google Scholar] [CrossRef]
- Aref’eva, I.Y.; Volovich, I.V. Two-dimensional gravity, string field theory and spin glasses. Phys. Lett. 1991, 255, 197–201. [Google Scholar] [CrossRef]
- Wigner, E.P. On the statistical distribution of the widths and spacings of nuclear resonance levels. Proc. Cambr. Philos. Soc. 1951, 47, 790–798. [Google Scholar] [CrossRef]
- Dyson, F.J. A Class of Matrix Ensembles. J. Math. Phys. 1972, 13, 90–97. [Google Scholar] [CrossRef]
- Brezin, E.; Itzykson, C.; Parisi, G.; Zuber, J.-B. Planar diagrams. Commun. Math. Phys. 1978, 50, 35–51. [Google Scholar] [CrossRef]
- Mehta, M.L. Random Matrices, 2nd ed.; Academic Press: New York, NY, USA, 1991. [Google Scholar]
- Migdal, A. Loop equations and 1/N expansion. Phys. Rep. 1983, 102, 199. [Google Scholar] [CrossRef]
- Muskhelishvili, N.I. Singular Integral Equations; Noordhoff: Groningen, The Netherlands, 1953. [Google Scholar]
- Gakhov, F.D. Boundary Problems; Fizmatgiz: Moscow, Russia, 1977. (In Russian) [Google Scholar]
- Brézin, E.; Kazakov, V.A. Exactly Solvable Field Theories of Closed Strings. Phys. Lett. B 1990, 236, 144. [Google Scholar] [CrossRef]
- di Francesco, P.; Ginsparg, P.; Zinn-Justin, J. 2-D Gravity and random matrices. Phys. Rep. 1995, 254, 1–133. [Google Scholar] [CrossRef]
- Marino, M. Les Houches lectures on matrix models and topological strings. arXiv 2004, arXiv:hep-th/0410165. [Google Scholar]
- Eynard, B.; Kimura, T.; Ribault, S. Random matrices. arXiv 2004, arXiv:1510.04430. [Google Scholar]
- Ambjorn, J.; Jurkiewicz, J.; Makeenko, Y.M. Multiloop correlators for two-dimensional quantum gravity. Phys. Lett. B 1990, 251, 517–524. [Google Scholar] [CrossRef]
- Eynard, B. Topological expansion for the 1-Hermitian matrix model correlation functions. J. High Energy Phys. 2004, 2004, 31. [Google Scholar] [CrossRef]
- Almheiri, A.; Polchinski, J. Models of AdS2 backreaction and holography. J. High Energy Phys. 2015, 2015, 14. [Google Scholar] [CrossRef]
- Hawking, S.W.; Laflamme, R. Baby universes and the non-renormalizability of gravity. Phys. Lett. 1988, 209, 39–41. [Google Scholar] [CrossRef]
- Lavrelashvili, G.V.; Rubakov, V.A.; Tinyakov, P.G. Disruption of Quantum Coherence upon a Change in Spatial Topology in Quantum Gravity. JETP Lett. 1987, 46, 167. [Google Scholar]
- Giddings, S.B.; Strominger, A. Axion Induced Topology Change in Quantum Gravity and String Theory. Nucl. Phys. B 1988, 306, 890–907. [Google Scholar] [CrossRef]
- Strominger, A. Baby Universes. In Quantum Cosmology and Baby Universes; World Scientific: Singapore, 1991; pp. 269–346. [Google Scholar]
- Hawking, S.W. Quantum coherence down the wormhole. Phys. Lett. B. 1987, 195, 337–343. [Google Scholar] [CrossRef]
- Giddings, S.B.; Strominger, A. Baby Universes, Third Quantization and the Cosmological Constant. Nucl. Phys. B 1989, 321, 481–508. [Google Scholar] [CrossRef]
- Coleman, S.R. Why There Is Nothing Rather than Something: A Theory of the Cosmological Constant. Nucl. Phys. B 1988, 310, 643–668. [Google Scholar] [CrossRef]
- Volovich, I.V. Baby universes and the dimensionality of spacetime. Phys. Lett. B 1989, 219, 66–70. [Google Scholar] [CrossRef]
- Hebecker, A.; Mikhail, T.; Soler, P. Euclidean wormholes, baby universes, and their impact on particle physics and cosmology. Front. Astron. Space Sci. 2018, 5, 35. [Google Scholar] [CrossRef]
- Jain, S.; Mathur, S.D. World sheet geometry and baby universes in 2-D quantum gravity. Phys. Lett. B 1992, 286, 239–246. [Google Scholar] [CrossRef]
- Ambjorn, J.; Barkley, J.; Budd, T.; Loll, R. Baby Universes Revisited. Phys. Lett. B 2011, 706, 86–89. [Google Scholar] [CrossRef][Green Version]
- Douglas, M.R.; Shenker, S.H. Strings in Less than One-Dimension. Nucl. Phys. B 1990, 335, 635–654. [Google Scholar] [CrossRef]
- Gross, D.J.; Migdal, A.A. Nonperturbative Two-Dimensional Quantum Gravity. Phys. Rev. Lett. 1990, 64, 127. [Google Scholar] [CrossRef]
- Brezin, E.; Zee, A. Universality of the correlations between eigenvalues of large random matrices. Nucl. Phys. B 1993, 402, 613–627. [Google Scholar] [CrossRef]
- Bowick, M.; Brezin, E. Universal scaling of the tail of the density of eigenvalues in random matrix models. Phys. Lett. B 1991, 268, 21. [Google Scholar] [CrossRef]
- Bleher, P.M.; Its, A.R. Double scaling limit in the random matrix model: The Riemann-Hilbert approach. Commun. Pure Appl. Math. 2003, 56, 433–516. [Google Scholar] [CrossRef]
- De Monvel, A.B.; Pastur, L.; Shcherbina, M. On the statistical mechanics approach in the random matrix theory: Integrated density of state. J. Stat. Phys. 1995, 79, 585–611. [Google Scholar] [CrossRef]
- Pastur, L.; Shcherbina, M. Universality of the Local Eigenvalue Statistics for a Class of Unitary Invariant Random Matrix Ensembles. J. Stat. Phys. 1997, 86, 109–147. [Google Scholar] [CrossRef]
- Tracy, C.; Widom, H. Level-Spacing Distributions and the Airy Kernel. Commun. Math. Phys. 1994, 159, 151–174. [Google Scholar] [CrossRef]
- Tracy, C.; Widom, H. Fredholm Determinants, Differential Equations and Matrix Models. Commun. Math. Phys. 1994, 163, 33–72. [Google Scholar] [CrossRef]
- Kuijlaars, A.B.J.; McLauglin, K.T.-R. Generic behavior of the density of states in random matrix theory and equilibrium problems in the presence of real analytic external field. Commun. Pure Appl. Math. 2000, 53, 736–785. [Google Scholar] [CrossRef]
- Deift, P.; Kriecherbauer, T.; McLaughlin, K.T.-R.; Venakides, S.; Zhou, X. Uniform asymptotics for polynomials orthogonal with respect to varying exponential weights and applications to universality questions in random matrix theory. Commun. Pure Appl. Math. 1999, 52, 1335–1425. [Google Scholar] [CrossRef]
- Brezin, E.; Hikami, S. Random Matrix Theory with an External Source; Springer: Singapore, 2016. [Google Scholar]
- Kazakov, V.A. A simple solvable model of quantum field theory of open strings. Phys. Lett. B 1990, 237, 212–216. [Google Scholar] [CrossRef]
- Arefeva, I.Y.; Ilchev, A.C.; Mitruchkin, B.K. Phase structure of matrix NxN Goldstoune model in the large N limit. In Proceedings of the III International Symposium on Selected Topics in Statistical Mechanics, Dubna, Russia, 22–26 August 1984; pp. 20–26. [Google Scholar]
- Cicuta, G.M.; Molinari, L.; Montaldi, E. Large N phase transition in low dimensions. Mod. Phys. Lett. A 1986, 1, 125–129. [Google Scholar] [CrossRef]
- Crnkovic, C.; Moore, G. Multicritical multi-cut matrix models. Phys. Lett. B 1991, 257, 322–328. [Google Scholar] [CrossRef]
- Aref’eva, I.; Volovich, I. Gas of baby universes in JT gravity and matrix models. arXiv 2019, arXiv:1905.08207. [Google Scholar]
- Bagrets, D.; Altland, A.; Kamenev, A. Sachdev-Ye-Kitaev Model as Liouville Quantum Mechanics. Nucl. Phys. B 2016, 911, 191–205. [Google Scholar] [CrossRef]
- Stanford, D.; Witten, E. Fermionic Localization of the Schwarzian Theory. J. High Energy Phys. 2017, 2017, 8. [Google Scholar] [CrossRef]
- Bethe, H.A. An Attempt to Calculate the Number Energy Levels of a Heavy Nucleus. Phys. Rev. 1936, 50, 332. [Google Scholar] [CrossRef]
- Aref’eva, I.; Khramtsov, M.; Tikhanovskaya, M.; Volovich, I. Replica-nondiagonal solutions in the SYK model. J. High Energy Phys. 2019, 2019, 113. [Google Scholar] [CrossRef]
- Garcia-Garcia, A.M.; Jia, Y.; Verbaarschot, J.J.M. Exact moments of the Sachdev-Ye-Kitaev model up to order 1/N2. J. High Energy Phys. 2018, 2018, 146. [Google Scholar] [CrossRef]
- Garca-Garca, A.M.; Zacaras, S. Quantum Jackiw-Teitelboim gravity, Selberg trace formula, and random matrix theory. arXiv 2019, arXiv:1911.10493. [Google Scholar]
- McGuigan, M. Dark Horse, Dark Matter: Revisiting the SO(16)x SO(16)’ Nonsupersymmetric Model in the LHC and Dark Energy Era. arXiv 2019, arXiv:1907.01944. [Google Scholar]
- Jensen, K. Chaos in AdS2 Holography. Phys. Rev. Lett. 2016, 117, 111601. [Google Scholar] [CrossRef]
- Engelsy, J.; Mertens, T.G.; Verlinde, H. An investigation of AdS2 backreaction and holography. J. High Energy Phys. 2016, 2016, 139. [Google Scholar] [CrossRef]
- Maldacena, J.; Stanford, D.; Yang, Z. Conformal symmetry and its breaking in two dimensional Nearly Anti-de-Sitter space. Prog. Theor. Exp. Phys. 2016, 2016, 12C104. [Google Scholar] [CrossRef]
- Harlow, D.; Jafferis, D. The Factorization Problem in Jackiw-Teitelboim Gravity. J. High Energy Phys. 2020, 2020, 1–32. [Google Scholar] [CrossRef]
- Aref’eva, I.; Volovich, I. Notes on the SYK model in real time. Theor. Math. Phys. 2018, 197, 1650–1662. [Google Scholar] [CrossRef]
- Aref’eva, I.; Volovich, I. Spontaneous symmetry breaking in fermionic random matrix model. J. High Energy Phys. 2019, 2019, 114. [Google Scholar] [CrossRef]
- Okuyama, K. Replica symmetry breaking in random matrix model: A toy model of wormhole networks. Phys. Lett. B 2020, 803, 135280. [Google Scholar] [CrossRef]
- Wang, H.; Bagrets, D.; Chudnovskiy, A.L.; Kamenev, A. On the replica structure of Sachdev-Ye-Kitaev model. J. High Energy Phys. 2019, 2019, 57. [Google Scholar] [CrossRef]
- Aref’eva, I.; Khramtsov, M.; Volovich, I. Revealing nonperturbative effects in the SYK model. Theor. Math. Phys. 2019, 201, 1585–1605. [Google Scholar] [CrossRef]
- Maldacena, J.; Qi, X.-L. Eternal traversable wormhole. arXiv 2018, arXiv:1804.00491. [Google Scholar]
- Kim, J.; Klebanov, I.R.; Tarnopolsky, G.; Zhao, W. Symmetry Breaking in Coupled SYK or Tensor Models. Phys. Rev. X 2019, 9, 021043. [Google Scholar] [CrossRef]
- Garcia-Garcia, A.M.; Nosaka, T.; Rosa, D.; Verbaarschot, J.J.M. Quantum chaos transition in a two-site SYK model dual to an eternal traversable wormhole. Phys. Rev. D 2019, 100, 026002. [Google Scholar] [CrossRef]
- Aref’eva, I.Y.; Volovich, I.V. Cosmological daemon. J. High Energy Phys. 2011, 2011, 102. [Google Scholar] [CrossRef]
- Coleman, S.R.; Lee, K. Escape From the Menace of the Giant Wormholes. Phys. Lett. B 1989, 221, 242–249. [Google Scholar] [CrossRef]
- Maldacena, J.; Turiaci, G.J.; Yang, Z. Two dimensional Nearly de Sitter gravity. arXiv 2019, arXiv:1904.01911. [Google Scholar]
- Lin, H.W.; Maldacena, J.; Zhao, Y. Symmetries Near the Horizon. J. High Energy Phys. 2019, 2019, 49. [Google Scholar] [CrossRef]
- Chen, Y.; Zhang, P. Entanglement Entropy of Two Coupled SYK Models and Eternal Traversable Wormhole. J. High Energy Phys. 2019, 2019, 33. [Google Scholar] [CrossRef]
- Freivogel, B.; Godet, V.; Morvan, E.; Pedraza, J.F.; Rotundo, A. Lessons on Eternal Traversable Wormholes in AdS. J. High Energy Phys. 2019, 2019, 122. [Google Scholar] [CrossRef]
- Betzios, P.; Kiritsis, E.; Papadoulaki, O. Euclidean Wormholes and Holography. J. High Energy Phys. 2019, 2019, 42. [Google Scholar] [CrossRef]
- Cotler, J.; Jensen, K.; Maloney, A. Low-dimensional de Sitter quantum gravity. arXiv 2019, arXiv:1905.03780. [Google Scholar]
- Dijkgraaf, R.; Gopakumar, R.; Ooguri, H.; Vafa, C. Baby universes in string theory. Phys. Rev. D 2006, 73, 066002. [Google Scholar] [CrossRef]
- Blommaert, A.; Mertens, T.G.; Verschelde, H. Fine Structure of Jackiw-Teitelboim Quantum Gravity. J. High Energy Phys. 2019, 2019, 66. [Google Scholar] [CrossRef]
- Blommaert, A.; Mertens, T.G.; Verschelde, H. Clocks and Rods in Jackiw-Teitelboim Quantum Gravity. J. High Energy Phys. 2019, 2019, 60. [Google Scholar] [CrossRef]
- Iliesiu, L.V.; Pufu, S.S.; Verlinde, H.; Wang, Y. An exact quantization of Jackiw-Teitelboim gravity. J. High Energy Phys. 2019, 2019, 91. [Google Scholar] [CrossRef]









© 2020 by the authors. Licensee MDPI, Basel, Switzerland. This article is an open access article distributed under the terms and conditions of the Creative Commons Attribution (CC BY) license (http://creativecommons.org/licenses/by/4.0/).
Share and Cite
Aref’eva, I.; Volovich, I. Gas of Baby Universes in JT Gravity and Matrix Models. Symmetry 2020, 12, 975. https://doi.org/10.3390/sym12060975
Aref’eva I, Volovich I. Gas of Baby Universes in JT Gravity and Matrix Models. Symmetry. 2020; 12(6):975. https://doi.org/10.3390/sym12060975
Chicago/Turabian StyleAref’eva, Irina, and Igor Volovich. 2020. "Gas of Baby Universes in JT Gravity and Matrix Models" Symmetry 12, no. 6: 975. https://doi.org/10.3390/sym12060975
APA StyleAref’eva, I., & Volovich, I. (2020). Gas of Baby Universes in JT Gravity and Matrix Models. Symmetry, 12(6), 975. https://doi.org/10.3390/sym12060975
