Abstract
Wireless Sensor Networks (WSNs) may be incorporated with thousands of small nodes. This gives them the capability to effectively sense, communicate, and compute parameters. However, the security and life span of a WSN node is a primary concern. This paper is focused on introducing a mathematical model of a modified Multitier Deterministic Energy-Efficient Clustering (DEC) based on novel election multi-tier random probability protocol for agricultural WSNs to enhance the life span of a WSN node along with a comparison of it with existing DEC protocol. In the proposed model, the selection of cluster heads, (CH), is done based on the energy drain pattern and location of the sensor nodes, which increased the lifespan of sensor nodes. In addition, several WSN probabilistic routing protocols to save energy throughout data transmissions like Low Energy Adaptive Clustering Hierarchy (LEACH), Power-Efficient Gathering in Sensor Information Systems (PEGASIS), DEC, and Stable Election Protocol (SEP) are explained. Moreover, it has been found that, after some mathematical modification in existing DEC routing, it will be capable to give a more positive result and reduce the energy drain in WSN nodes using a selective cluster head technique based on residual energy of sensor nodes. The DEC protocol is also compared with our proposed modified protocol for showing the energy-efficiency. The energy efficiency of clustering is associated with the field of energy sustainability of wireless sensor networks which is in the scope of Symmetry journal.
1. Introduction
Wireless sensor networks (WSN) have gained popularity due to its applications and ease of installation [,]. These networks are used for the collection and transmission of various parameters depending upon its application. WSNs are self-organized and self-maintained due to its powerful operating system and consume less power and operational time. These networks reorganize by pre-programmed instructions based on the predefined parameter’s quantity and place. A new DEC network with its structure and other parameters have been investigated in this work. A task-specific application has been proposed with a new routing protocol. The proposed protocol will have random nodes, which will be placed at different distance locations within the radio signal range. The radio range will depend on the environment and the life expectancy of the node. The power generated by the node is adjusted according to the required radio range and data bandwidth. One of the most important factors is to increase the life span of the WSN by utilizing the data arriving from the network system without considering neighboring nodes—for example, leftover vitality of individual hubs. The model experiences comparable issues of unreliable group head decisions per round when compared with similar models. As per the previous study, LEACH protocol presented an optimal environment that could ensure the best execution utilizing the stochastic model they proposed, yet more often than not the outcome could be imperfect because of the vulnerabilities in the bunch head race process [,]. The WSN performance is dependent on the routing protocol as it needs to have a protocol, which has less queuing and congestion. The congestion consumes power, which limits the lifetime of the sensors and thus networks. The proposed work is expected to overcome the issues of efficiency and other shortcomings. The network classifications and other parameters are being explained for providing simplicity.
2. Classification of Routing Protocols
Wireless sensor networks have their applicability but need to perform based on expectations. Routing protocols are the major players in the performance measurement of the sensor networks. The routing protocols are classified on various parameters. In this work classification, clustering-based has been narrated. In Figure 1, only hierarchical protocols have been considered and the most used protocol has been discussed in detail.

Figure 1.
Classification of clustering based energy efficient routing protocols.
The LEACH protocol has been considered for most of the applications [,]. Hence, it needs to be investigated for finding the performance and its applicability in the networks. SEP-E has not been mentioned in this study for performance measurements due to difficulties introduced with distant nodes [].
2.1. Low Energy Adaptive Clustering Hierarchy (LEACH) Protocol
This is a hierarchical clustering-based routing protocol used for WSN design. In this protocol, cluster heads are changed randomly and one by one all the nodes become cluster heads as shown in Figure 2. For scalability and robustness, LEACH uses localized coordination for the dynamic network and does data aggregation at the cluster head level. Thus, the data transmitted to the sink are reduced and bandwidth is saved.

Figure 2.
Base station and cluster head distributions.
The LEACH protocol’s basic flow diagram is shown in Figure 3. The clustering system procedure begins with a setup step in which all nodes use an indicator function to pick CHs. This process is given in Figure 3. The chosen cluster heads then broadcast an Advertisement (ADV) message using the non-persistent protocol which includes CH’s ID (also called CHID) [,].

Figure 3.
Algorithm for LEACH protocol.
2.2. Power-Efficient Gathering in Sensor Information Systems (PEGASIS)
The PEGASIS protocol is a chain based protocol in which the chain is formed by using a greedy approach. The node which is far away from the base station is selected to form the chain and the nearest node is selected to send the fused data to the base station [,]. Thus, the PEGASIS protocol performs this process in two steps and these are as follows:
2.2.1. Formation of the Chain among the Sensor Nodes
In this method [], first we find a node that is furthest away from the base station. Then, this node is selected to form the chain to another node that is close to this selected node. Following the same process, all the sensor nodes are connected to form a chain in different clusters. The nodes are thus connected to form the chain as shown in Figure 4.

Figure 4.
The chain is constructed by using the minimum distance between the sensor nodes.
2.2.2. Data Gathering
After selecting the leader node in the chain, which is node 1 in this case, the data aggregation is done in which the leader node sends the aggregated data to the next node 9 that is near the leader node, which becomes the leader node and then sends the aggregated data to the next nearest node continuing this process until we reach the last node. The last node, which is closest to the base station (BS), sends the data to the base station. The nodes in the figure are numbered randomly. This data gathering process is done as shown in Figure 5.

Figure 5.
Method of Token Passing to the base station.
2.3. Deterministic Energy-Efficient Clustering (DEC) Protocol
2.3.1. DEC Network Model and Energy Dissipation
A radio energy dissipation model of the network is assumed [,], as shown in Figure 6.

Figure 6.
Basic network energy distribution model.
The sensor design is known to dissipate energy for each bit around nanojoules/bit to run for transmitter or receiver circuits in this model. The amplification energy must be used to reduce either free space losses (fs) or multi-path (mp) losses to transmit the data bits up to distance (d) with a suitable SNR, which is dependent on the total transmission distance (d). Hence, the power used for the transmission of k bits, [,], is:
where total transmitter energy dissipated is , the sum of dissipated electronics energy is , and amplification energy is , in each transceiver unit in the network. and are the amplifier energies that depend on the transmitter amplifier model. is equal to the distance threshold value for the swapping amplification model, where:
To receive the k-bit message, the energy expended by the radio given as
Under the heterogeneous environment, it may be assumed that the same energy is needed to transmit the k-bit information between the nodes A and B in the network. The network remains energy heterogeneous until all the nodes are fully active.
2.3.2. Energy Heterogeneity
DEC calculates a threshold residual energy to make sure that the advanced node does not become cluster heads again and again when their residual energy becomes equal to that of the normal node after some rounds. Threshold residual energy is defined, [,], as
where is initial energy, is energy dissipation of normal node, and is the energy dissipation of the advance node. In DEC, the Residual Energy (RE) information of a cluster member (CMs) is known by their relevant CH’s. This information is utilized for rotation of CH in the succeeding rounds. The current CHs review the stored RE information received from CMs at the end of each round. They determine whether they will stay as CHs or replace them with any node in their clusters with the highest RE to become a new CH. The probabilities for normal, advanced, and intermediate nodes to become CH in DEC are:
is the optimal percentage of nodes that have to become cluster heads in each round in space. is the weighted probability for normal nodes, is the weighted probability for the advanced nodes, m is the proportion of advanced nodes with a times more energy than the normal nodes, and is the total initial energy of the network [,]. As a result, three of the energy-efficient protocols are briefly summarized in this section. The protocol which is introduced in this study is introduced in Section 3.
3. Proposed Multi-Tier Protocol
In this study, a Non-Residual Modified-Deterministic Energy-Efficient Clustering (NR-MDEC) protocol is proposed that selects cluster heads based on residual energy of nodes []. The setup phase is modified as in LEACH, but the steady-state phase is kept the same. The algorithm is modified in such a way that most of the residual energy of WSN nodes are utilized. Each elected CH advertises their privilege to the entire network using four key parameters utilizing Carrier-sense multiple access (CSMA) media access control (MAC) protocol as in LEACH. Every join-request message will contain CM-ID, CH-ID, CM-RE, and the header as its request for “Standard Request for Comment (RFC)” [,].
Hence, the information about residual energy of cluster members will be known to cluster heads which could be used for the rotation of cluster heads in the subsequent rounds. The current round is considered as . After the setup phase, the steady phase would start. The next round of begins with the broadcasting of new identities to the entire network. Identity transaction from BS to CMs can be considered as an equivalent single packet transmission that doesn’t contribute much in energy-draining. Thus, it is economical for the health of WSNs and doesn’t affect their life span. The entire process continues until the last node dies. It can be observed that, if a protocol starts losing nodes earlier than expected, it is not considered an acceptable scenario. An ideal scenario is required for heterogeneity to generate the M-DEC network structure. In this scenario, the total number of nodes is divided into normal, advanced, intermediate, and advanced-intermediate nodes based on selection probabilities. The simulation parameters of the NR-MDEC protocol algorithm have been selected as shown in Table 1. The weighted probabilities for all the nodes were chosen as given in Table 1. The parameter values in Table 1 were taken from [,].

Table 1.
Basic simulation parameters for multi-tier structure
Based on deployed virtual stimulation, the following factors have been observed which makes our NR-MDEC protocol desirable:
- Election of Cluster Heads is locally decided as per the residual energy of all the cluster members.
- Each round is independent in itself.
- The protocol gives an assurance to utilize all the available nodes.
- MDEC ensures a fixed number of desired cluster-heads.
- MDEC minimizes the overhead computing costs associated with the CH quest.
- It maintains stability and avoids failure during packet transmission, due to the regular check of REs.
4. Simulation and Analysis
4.1. Simulation Setup
To simulate the proposed protocol, the weighted probabilities for the nodes have been chosen based on the pre-processing of sensor nodes’ energy patterns and observing various parameters based on the narrations in [,]. Initially, a 2D virtual field, (x–y), is created with the unit dimension. A total of 500 nodes were assumed with the base station or sink node in the middle of the experimental virtual field. Table 2 shows the additional parameter list used for simulation. The parameter values in Table 2 were taken from [,].

Table 2.
Additional simulation parameters for the multi-tier structure
Table 1 and Table 2 illustrate the standard value to be considered for a sensor node inspired by the capacity and capability of actual sensors. These parameters helped to formulate the concept and establish a simulation environment. These standard parameters are treated as constant values of literals used in the program. The energy dissipated by the associated Cluster Head [] is
An innovative approach is considered for election probabilities of normal, intermediate, and advanced nodes []. The election probability for normal nodes is chosen to be
The election probability for intermediate nodes is chosen to be
The election probability for advanced-intermediate nodes is chosen to be
The election probability for advance nodes is chosen to be
In this approach, additional parameter is the percentage of the advance–intermediate nodes and is the percentage increment in the energy of the advanced–intermediate nodes with respect to normal nodes. It is observed that using the additional advanced-intermediate nodes may end up slightly reducing the network lifetime, although it may give better energy response. Therefore, to improve the life of the network, some modifications have been made at the network initialization level. The basic network energy distribution model used in simulations is shown in Figure 6.
In terms of this model, it has been analyzed for the energies of Virtual WSN nodes using the proposed simulation. The result of the simulation is a node energy distribution histogram plot as shown in Figure 7. This depicts the variation of the residual energy of the entire WSN after the death of the first node (assuming 100% remaining residual energy just after the FND).

Figure 7.
Energy results after virtual simulation.
This graph has three axes. Axis-A shows percentage loss of data/message throughout the WSN (as once nodes start dying, and data could not be collected/transmitted from the node). The blue histogram region is accompanied to axes A and C (Interpret Graph from right to left). Axis B shows the residual energy remaining in the network that is accompanied by the orange line. Axis-C shows the percentage of dead nodes. The linearity of this graph shows that the number of dead nodes is inversely proportional to the residual energy of the system. This means that WSN in the simulation is balanced, which is not the case in DEC and MDEC. This post-simulation analysis of residual energy also states that, to make the WSN survive, replacement of those nodes, which have already been drained, should have to be done on time to prevent the system from being non-responsive.
4.2. Proposed Algorithm for NR-MDEC Protocol
The proposed algorithmic flowchart of NR-MDEC protocol is shown in Figure 8, which is based on the assumptions made for the four-tier structure. The algorithmic steps are presented in the following steps:

Figure 8.
Algorithmic flowchart of proposed NR-MDEC protocol.
- Step-1: Creation of Virtual Environment for WSN Network.
- Step-2: Getting values of various parameters from the field.
- Step-3: Divide all nodes in 4-Categories—Normal, Advanced, Intermediate, Advanced-Intermediate.
- Step-4: Sorting of nodes as per their Residual Energies.
- Step-5: Selection of 10% nodes having the highest energy as Cluster Heads.
- Step-6: Apply energy minimization on nodes and also calculate their REs.
- Step-7: If CH-RE is greater, keep CH and repeat energy minimization algorithm else go to Step-4.
- Step-8: Stop after delivering all the packets or exhaustion of nodes energy.
5. Results and Discussion
The proposed algorithm aims to increase the heterogeneity of the clustering algorithms and extends the three-tier structure to a four-tier structure. There are two intermediate node structures proposed in this study. Additionally, the performance comparison of various energy-efficient clustering-based protocols has also been presented. The performance of the standard DEC and MDEC [,] is compared with the proposed method of NR-MDEC protocol for the WSN application. The standard energy parameters, deployed for performance and node analysis in the simulation, are presented in Table 3.

Table 3.
Standard energy parameters used in the simulation.
The simulation results of comparisons between MDEC and DEC are presented in Figure 9, Figure 10 and Figure 11. Figure 9 illustrates the performance comparison between DEC and MDEC protocols. Here, the x-axis denotes the number of rounds i.e., number of continuous steps of data transmission from nodes to base station, while the y-axis denotes the number of live nodes survived so far. In this simulation, 100 nodes were considered, and message transmission initiated. After nearly 1920 rounds, all the nodes of MDEC died; however, for DEC, this figure is 2068 rounds. This showed that, in this simulation, DEC’s efficiency was slightly better than MDEC.

Figure 9.
Performance of DEC vs. MDEC for 100 nodes.

Figure 10.
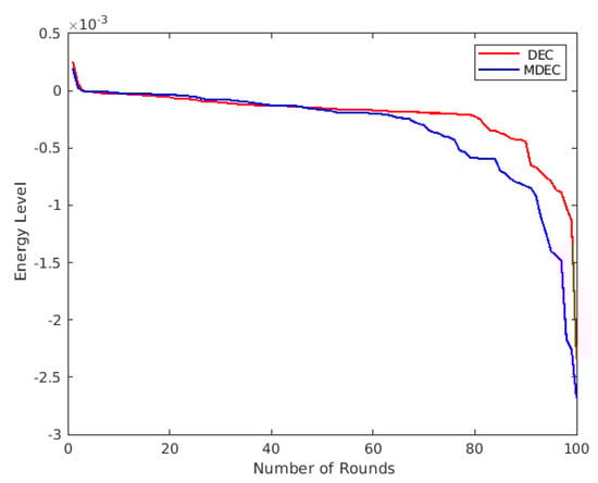
Comparison of energy level for DEC and MDEC.

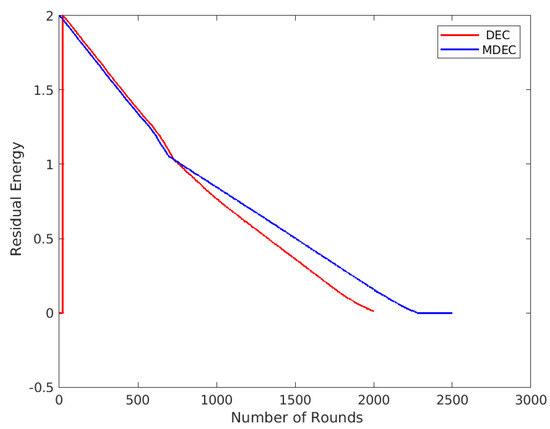
Figure 11.
Comparison of residual energy of the nodes for standard DEC and MDEC protocol.
A comparison of energy levels MDEC versus DEC is given in Figure 10. This graph compares DEC and MDEC based on energy levels after each iteration of data transmission. The x-axis represents the number of rounds and the y-axis represents the energy levels. The graph displays a slightly better energy performance by live MDEC nodes at the end of 100 rounds compared to live DEC nodes. It was found out that, when it comes to the rate of energy drain, MDEC outperforms DEC in the initial stage. This is one of the reasons this factor is utilized, and it balanced the network throughout the data transmission in WSN.
A comparison of residual energy levels of the nodes for MDEC versus DEC is given in Figure 11. The x-axis represents the number of rounds and the y-axis represents the residual energy. The graph displays a slightly better Residual energy performance by live MDEC nodes at the end of 2000 rounds compared to live DEC nodes. This also supports the facts of Figure 10, which was performed for 100 steps.
It can be observed that MDEC gives slightly better energy levels while all the nodes are live and residual energy levels are slightly better with MDEC compared to DEC. Similarly, the simulation results of comparisons of dead nodes for different methods are presented in Figure 12.

Figure 12.
Comparison of dead nodes for different methods.
In this figure, Blue, Green, and Red colored bars denote the number of rounds of DEC, MDEC, and NR-MDEC algorithms respectively. Precise values of the round number of First Node Dead (FND), Last Node Dead (LND), and 60% Dead are mentioned, and their graphical illustration is given. For DEC, the first node was dead after 1823 rounds, while 60% of all the nodes died after 1950 rounds. DEC completely shuts off at the end of 2068 rounds. For MDEC, the first node died after 1723 rounds, 60% of all the nodes died after 1880 rounds, and, after 1920 rounds, the network ran out of energy. In the proposed algorithm NR-MDEC (also a modified MDEC), the first node died earlier, as expected, which was due to building a balanced network. However, once it all set up, 60% nodes died only after 2560 rounds, which was quite impressive and far better than the previous algorithms. Similarly, it could also be said for the Last Node Dead in NR-MDEC as it ran out of energy only after 2641 rounds. It can be observed that the proposed method NR-MDEC protocol increases the network lifetime by the number of rounds as it improves the performance of the network. Simulation results of comparisons for the number of 60% died nodes are shown for DEC, MDEC, and NR-MDEC protocols in Figure 13.

Figure 13.
Comparison of the number of Dead nodes for standard DEC, MDEC, and NR-MDEC protocols.
This is a follow-up illustration of Figure 12 and gives a more comparative view of the aforesaid. Three colored lines, Grey, Blue, and Orange represent DEC, MDEC, and NR-MDEC, respectively. Here, data are also sectioned into three categories: FND, LND, and 60% dead. The y-axis denotes the number of rounds. It could be observed that MDEC and NR-MDEC, although have variations in between the transmission patterns, both have a similar slope as compared to NR-MDEC. As seen in Figure 13, the first node dies out (FND) by around 60% and the last node dies out (LND) at around 65% of the 3000 rounds for DEC and MDEC. Initially, the performance of NR-MDEC was not good because it tried to balance the network and sort out nodes as per their residual energy and switching priorities to make them cluster heads accordingly. However, it improved linearly and bypassed DEC and MDEC and stabilized itself. This also implicated how well NR-MDEC worked over the other two. Additionally, the network of NR-MDEC survived longer, and it is visible from the results that the proposed NR-MDEC has outperformed the existing methods of DEC and MDEC.
6. Conclusions
In this study, we have presented an ideal efficient modified multi-tier Deterministic Energy-Efficient Clustering protocol based on novel election multi-tier random probability in modified non-residual format NR-MDEC. It can efficiently utilize the most precious network resource i.e., Energy in WSN. We also proposed a mathematical model to increase the heterogeneity of the clustering algorithms and extend the three-tier structure to a four-tier structure. Two intermediate node structures are proposed in this work. Among them, NR-MDEC precedes over probabilistic-based models which we have considered so far, by giving assurance that a static number of cluster heads are to be elected per round as per the remaining live nodes.
At different rounds, the re-election of cluster-heads would take place following the comparison of residual energies within each CHs and cluster-member. As discussed earlier, NR-MDEC is capable of propagating energy consumption in all of the WSNs evenly among the nodes. This utilizes the distributed network concept in terms of energy consumption—thus resulting in optimum efficiency as discussed in the paper. Figure 9, Figure 10 and Figure 11 is a comparative study of two already existing WSN routing algorithms. Those results were shown for the sole purpose of identifying the disadvantages of DEC and MDEC along with their differences. As DEC and MDEC have some uncommon differences as described through the paper, these figures helped to reveal them. After it is done, we developed NR-MDEC and compared it with MDEC and DEC.
Although DEC is better than MDEC, MDEC outperforms DEC when it comes to residual energy level after 60% died. This type of fact is hard to identify when one’s focus is on the new algorithm only. Thus, a separate analysis is always recommended for old systems and algorithms before comparing them with the new one. We also compared this proposed NR-MDEC model with standard DEC and MDEC. NR-MDEC was considered as best so far and it was explained how the entire network survives longer in NR-MDEC compared to standard DEC and MDEC.
Author Contributions
Conceptualization, H.K.; Methodology, G.S.T.; Software, D.S.; Validation, H.K. and G.S.T.; Formal analysis, H.K. and G.S.T.; Investigation, G.S.T.; Resources, H.K. and D.S.; Data curation, D.S.; Writing—original draft preparation, D.S.; Writing—review and editing, H.K.; Visualization, D.S.; Supervision, G.S.T.; Project administration, H.K.; All authors have read and agreed to the published version of the manuscript.
Funding
This research received no external funding.
Conflicts of Interest
The authors declare no conflict of interest.
Abbreviations
DEC | Deterministic Energy-efficient Clustering |
LEACH | Low Energy Adaptive Clustering Hierarchy |
PEGASIS | Power-Efficient Gathering in Sensor Information Systems |
SEP | Stable Election Protocol |
CH | Cluster Head |
CSMA | Carrier-sense multiple access |
MAC | Media Access Control |
ADV | Advertisement |
NR-MDEC | Non-Residua Modified-DEC |
FND | First Node Dead |
LND | Last Node Dead |
References
- Sankarasubramaniam, Y.; Cayirci, E.; Akyildiz, I.F. Wireless sensor networks: A survey. Comput. Netw. 2001, 38, 393–422. [Google Scholar] [CrossRef]
- Akyildiz, I.F.; Weilian, S.; Sankarasubramaniam, Y.; Cayirci, E. A survey on sensor networks. IEEE Commun. Mag. 2002, 40, 102–114. [Google Scholar] [CrossRef]
- Aderohunmu, F.A.; Deng, J.D.; Purvis, M.K. Enhancing clustering in wireless sensor networks with energy heterogeneity. Int. J. Bus. Data Commun. Netw. 2011, 7, 18–31. [Google Scholar] [CrossRef]
- Estrin, D.; Govindan, R.; Heidemann, J.; Kumar, S. Next, century challenges: Scalable coordination in sensor networks. In Proceedings of the 5th Annual ACM/IEEE International Conference on Mobile Computing and Networking (MobiCom′99), Seattle, WA, USA, 15–20 August 1999; ACM: New York, NY, USA, 1999; pp. 263–270. [Google Scholar] [CrossRef]
- Sharma, T.; Kumar, B.; Tomar, G.S. Performance Comparison of LEACH, SEP and DEEC Protocols in Wireless Sensor Network. UACEE Int. J. Adv. Comput. Netw. Its Secur. 2012, 2, 10–15. [Google Scholar]
- Heinzelman, W.R.; Chandrakasan, A.; Balakrishnan, H. Energy-Efficient Communication Protocol for Wireless Microsensor Networks. In Proceedings of the 33rd Hawaii International Conference on System Sciences (HICSS′00), Maui, HI, USA, 7 January 2000; IEEE Computer Society: Washington, DC, USA, 2000; Volume 8, pp. 1–10. [Google Scholar]
- Smaragdakis, G.; Matta, I.; Bestavros, A. SEP: A Stable Election Protocol for clustered heterogeneous wireless sensor networks. In Proceedings of the Second International Workshop on Sensor and Actor Network Protocols and Applications (SANPA 2004), Boston, MA, USA, August 2004; pp. 251–261. [Google Scholar]
- Vandana, K.A.; Mohan, C. Energy Efficient Routing Protocols in Wireless Sensor Networks: A Survey. Int. J. Eng. Res. Technol. 2015, 4, 1–4. [Google Scholar] [CrossRef]
- Lee, J.Y.; Jung, K.; Jung, H.; Lee, D. Improving the energy efficiency of a cluster head election for wireless sensor networks. Int. J. Distrib. Sens. Netw. 2014, 10, 305037. [Google Scholar] [CrossRef]
- Wu, F.; Chen, T.; Zhong, S.; Li, L.E.; Yang, Y.R. Incentive-compatible opportunistic routing for wireless networks. In Proceedings of the 14th ACM international conference on Mobile computing and networking (MobiCom′08), San Francisco, CA, USA, 14–19 September 2008; ACM: New York, NY, USA, 2008; pp. 303–314. [Google Scholar] [CrossRef]
- Lindsey, S.; Raghavendra, C.S. PEGASIS: Power-Efficient Gathering in Sensor Information Systems. In Proceedings of the IEEE ICC, Big Sky, MT, USA, 9–16 March 2002. [Google Scholar]
- Chaudhary, R.; Vatta, S. Performance Optimization of WSN Using Deterministic Energy Efficient Clustering Protocol: A Review. IOSR J. Eng. (IOSRJEN) 2014, 4, 23–30. [Google Scholar] [CrossRef]
- Brahim, E.; Rachid, S.; Zamora, A.P.; Aboutajdine, D. Stochastic and Balanced Distributed Energy-Efficient Clustering (SBDEEC) for heterogeneous wireless sensor networks. INFOCOMP J. Comput. Sci. 2009, 8, 11–20. [Google Scholar]
- Heinzelman, W.B.; Chandrakasan, A.P.; Balakrishnan, H. An application-specific protocol architecture for wireless microsensor networks. IEEE Trans. Wirel. Commun. 2002, 1, 660–670. [Google Scholar] [CrossRef]
- Qing, L.; Zhu, Q.; Wang, M. Design of a distributed energy-efficient clustering algorithm for heterogeneous wireless sensor networks. ELSEVIER Comput. Commun. 2006, 29, 2230–2237. [Google Scholar] [CrossRef]
- Aderohunmu, F.A.; Deng, J.D.; Purvis, M.K. Enhancing clustering in wireless sensor networks with energy heterogeneity. In Information Science Discussion Papers; Series No. 2009/07; University of Otago: Dunedin, New Zealand, 2009. [Google Scholar]
- Elbhiri, B.; Rachid, S.; El Fkihi, S.; Aboutajdine, D. Developed Distributed Energy-Efficient Clustering (DDEEC) for heterogeneous wireless sensor networks. In Proceedings of the 2010 5th International Symposium on I/V Communications and Mobile Networks, ISIVC, Rabat, Morocco, 30 September–2 October 2010; pp. 1–4. [Google Scholar]
- Sheikhpour, R.; Jabbehdari, S.; Khadem-zadeh, A. Comparison of Energy Efficient Clustering Protocols in Heterogeneous Wireless Sensor Networks. Sci. Addit. Technol. 2011, 36, 27–40. [Google Scholar]
- Yu, M.; Leung, K.K.; Malvankar, A. A dynamic clustering and energy efficient routing technique for sensor networks. IEEE Trans. Wirel. Commun. 2007, 6, 3069–3079. [Google Scholar] [CrossRef]
- Al-Karaki, J.N.; Kamal, A.E. Wireless Sensor Networks Routing Techniques in Wireless Sensor Networks: A Survey. IEEE Wirel. Commun. 2004, 11, 6–28. [Google Scholar] [CrossRef]
- Gobriel, S. Energy-Efficient Design of Adhoc and Sensor Networks. Ph.D. Thesis, University of Pittsburgh, Pittsburgh, PA, USA, 2008. [Google Scholar]
- Latif, K.; Ahmad, A.; Javaid, N.; Khan, Z.A.; Alrajeh, N. Divide-and-rule scheme for energy efficient routing in wireless sensor networks. Procedia Comput. Sci. 2013, 19, 340–347. [Google Scholar] [CrossRef]
© 2020 by the authors. Licensee MDPI, Basel, Switzerland. This article is an open access article distributed under the terms and conditions of the Creative Commons Attribution (CC BY) license (http://creativecommons.org/licenses/by/4.0/).