A Two-Stage Routing Protocol for Partitioned Underwater Wireless Sensor Networks
Abstract
1. Introduction
- Network architecture is proposed that is suitable for mobile UWSNs.
- A partition resolution strategy is devised which improves network performance by improving the packet delivery ratio.
- A minimum residual energy threshold is used in order to delay early death of nodes and to shift the traffic load to the less loaded downstream nodes.
- In order to deal with connectivity holes, a loop-free re-routing scheme is devised to keep the network connected.
2. Literature Review
3. Methodology
3.1. Network Model
3.2. Underwater Channel Model
3.3. The Routing Process
3.3.1. Network Partitioning Scenarios
3.3.2. Neighborhood Information Acquisition Phase
- (1)
- One and two hop neighbors of node X. We refer to the set of one hop neighbors of node X as Nx and the set of two hop neighbors of node X as N2x
- (2)
- Minimum hop count of all the nodes in sets Nx and N2x
- (3)
- Residual energies of all the nodes in sets Nx and N2x
- (4)
- Distance of every node in Nx from node X and distance of every node in N2x from their corresponding node in Nx (i.e., the node in Nx that received beacon from the node in N2x).
- A partitioned node may not find a beacon hosting node even with increased transmission power as the beacon hosting nodes may be farther away.
- The beacon transmission in response to a request is lost due to collision or channel impairments.
3.3.3. Relay Selection and Data Transmission Phase
Relay Selection
Data Transmission
Rerouting
- All the one hop neighbors have reached their minimum residual energy threshold.
- There is no other one-hop neighbor in the list.
Forwarding Loop
Forwarding Loop Resolution
Why Residual Energy Threshold
3.4. Protocol 1.1: No Partition Handling (NPH)
- Unlike the proposed protocol, protocol 1.1 does not incorporate any partition handling mechanism. Therefore, in case of network partitioning, the partitioned part will not be able to receive beacons and therefore will not be able to access the main body of the network. The drop in the packet delivery ration will depend upon the number of partitioned nodes besides other factors such as connectivity hole and erroneous reception.
- Unlike the proposed protocol, protocol 1.1 does not implement any mechanism for diverting the traffic load to less burdened, high residual energy downstream nodes.
- Protocol 1.1 does not incorporate a loop resolution strategy.
- Protocol 1.1 does not enforce any minimum residual energy threshold and therefore does not follow the actions taken by the proposed scheme when a node reaches its residual energy threshold.
- Protocol 1.1 assumes untethered free mobility of sensor nodes with water currents. It, therefore, assumes the same network architecture as that of the proposed scheme.
- Next hop selection criteria is the similar to that of the proposed scheme. The candidate nodes are first evaluated based on the link condition. The nodes with acceptable expected SNR are shortlisted. Among the shortlisted nodes, the nodes with minimum hop count and maximum residual energy are selected as next hop.
4. Results and Discussion
4.1. Network without Partitions
4.1.1. Number of Delivered Packets
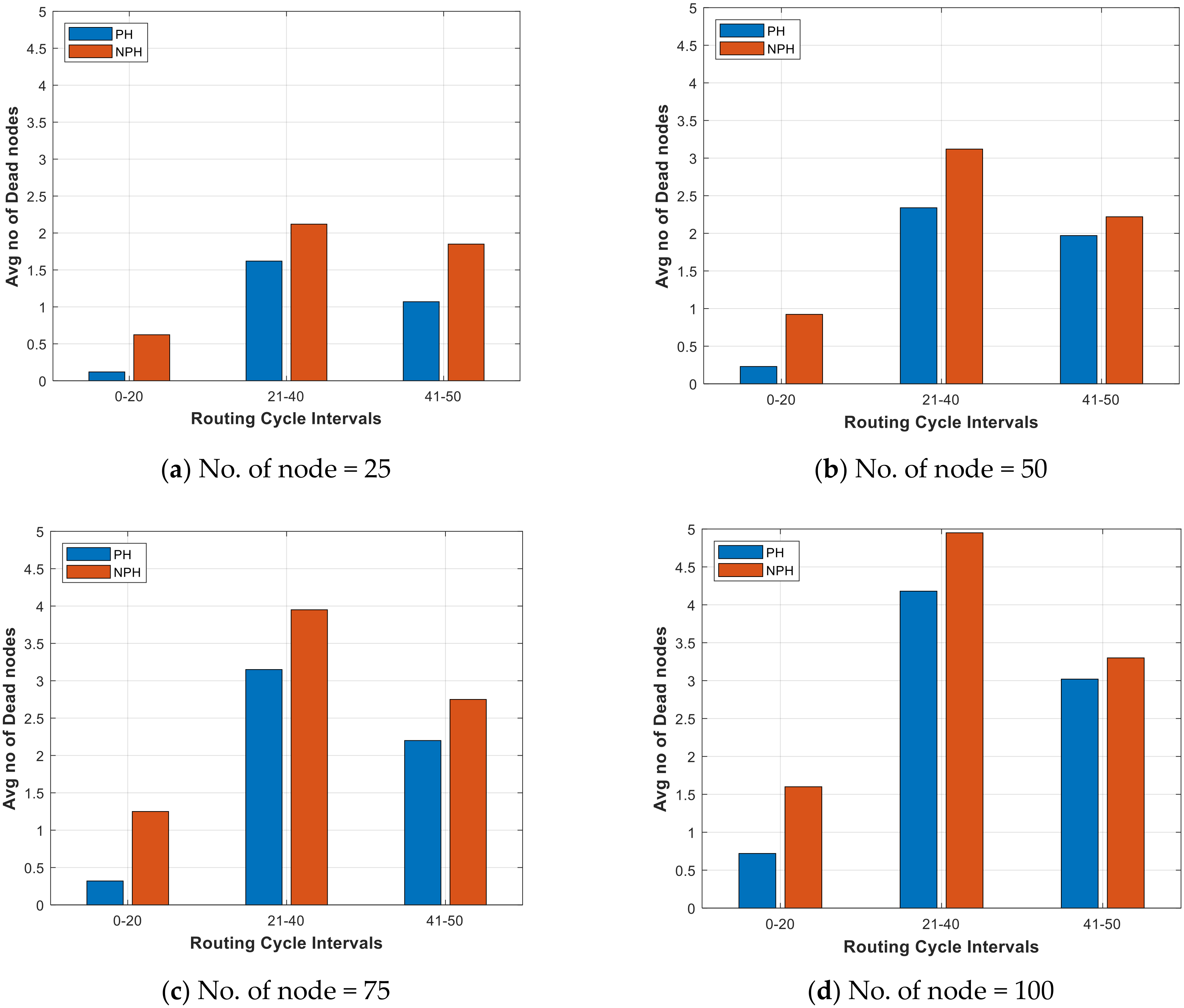
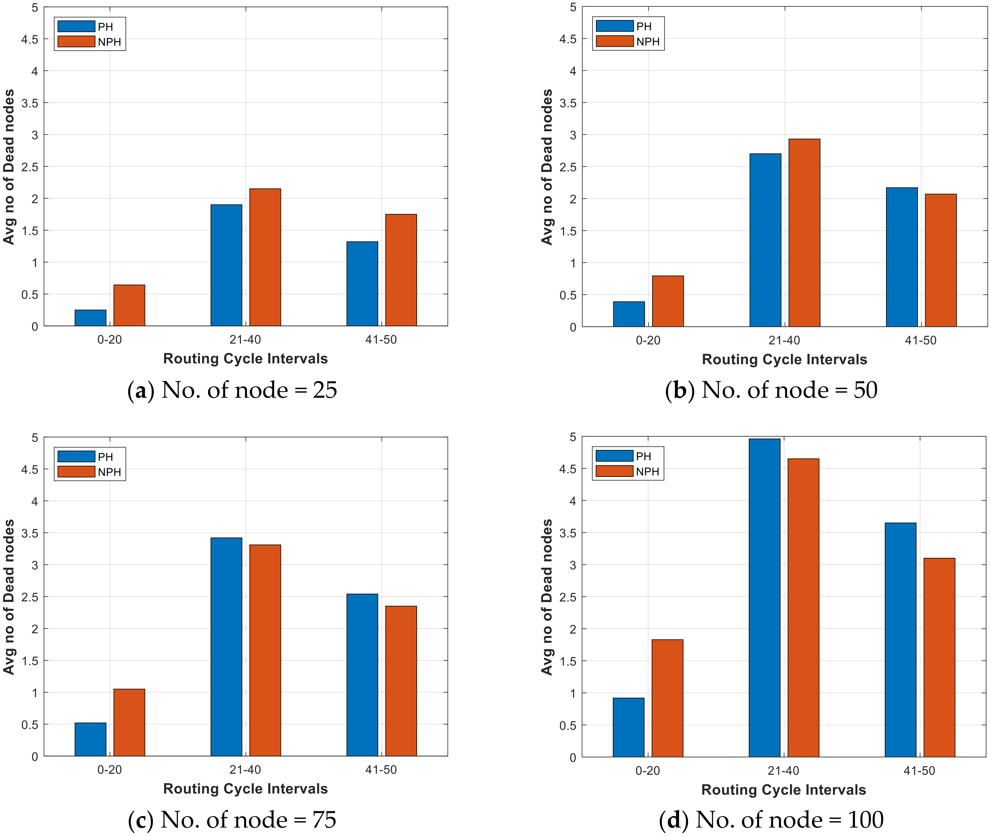
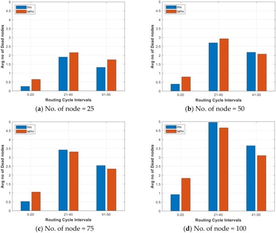
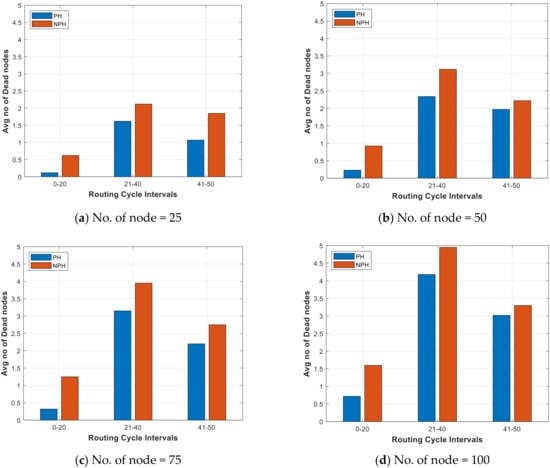
4.1.2. Death Ratio
4.1.3. Communication Overhead
- In case of partitioning in the network, PH involves transmission of localization requests. Beacons are transmitted in response to the requests by the nodes that receive the request. However, if a particular node that received a request and subsequently heard a beacon destined for the requester it abandons transmission of the beacon.
- Unlike NPH, in PH when a node reaches its residual energy threshold it transmits a notification to inform its neighbor about denial of relay service, thus adding to the overall communication overhead.
4.1.4. Energy Consumption
4.2. Partitioned Network
4.2.1. Packet Delivery Ratio
4.2.2. Death Rate
5. Conclusions
Author Contributions
Funding
Conflicts of Interest
References
- Luo, J.; Fan, L.; Wu, S.; Yan, X. Research on Localization Algorithms Based on Acoustic Communication for Underwater Sensor Networks. Sensors 2017, 18, 67. [Google Scholar] [CrossRef] [PubMed]
- Felemban, E.; Shaikh, F.K.; Qureshi, U.M.; Sheikh, A.A.; Qaisar, S. Underwater Sensor Network Applications: A Comprehensive Survey. Int. J. Distrib. Sens. Netw. 2015, 11, 896832. [Google Scholar] [CrossRef]
- Heidemann, J.; Ye, W.; Wills, J.; Syed, A.; Li, Y. Research challenges and applications for underwater sensor networking. In Proceedings of the WCNC 2006 IEEE Wireless Communications and Networking Conference, Las Vegas, NV, USA, 3–6 April 2006; Volume 1, pp. 228–235. [Google Scholar]
- Kumar, R.; Singh, N. A Survey on Data Aggregation and Clustering Schemes in Underwater Sensor Networks. Int. J. Grid Distrib. Comput. 2014, 7, 29–52. [Google Scholar] [CrossRef]
- Luo, J.; Fan, L. A Two-Phase Time Synchronization-Free Localization Algorithm for Underwater Sensor Networks. Sensors 2017, 17, 726. [Google Scholar] [CrossRef]
- Akyildiz, I.F.; Pompili, D.; Melodia, T. Underwater acoustic sensor networks: Research challenges. Ad Hoc Netw. 2005, 3, 257–279. [Google Scholar] [CrossRef]
- Islam, T.; Lee, Y.K. A Comprehensive Survey of Recent Routing Protocols for Underwater Acoustic Sensor Networks. Sensors 2019, 19, 4256. [Google Scholar] [CrossRef]
- Bouabdallah, F.; Zidi, C.; Boutaba, R. Joint Routing and Energy Management in UnderWater Acoustic Sensor Networks. IEEE Trans. Netw. Serv. Manag. 2017, 14, 456–471. [Google Scholar] [CrossRef]
- Jin, Z.; Ji, Z.; Su, Y. An Evidence Theory Based Opportunistic Routing Protocol for Underwater Acoustic Sensor Networks. IEEE Access 2018, 6, 71038–71047. [Google Scholar] [CrossRef]
- Ali, M.; Khan, A.; Aurangzeb, K.; Ali, I.; Mahmood, H.; Haider, S.I.; Bhatti, N. CoSiM-RPO: Cooperative Routing with Sink Mobility for Reliable and Persistent Operation in Underwater Acoustic Wireless Sensor Networks. Sensors 2019, 19, 1101. [Google Scholar] [CrossRef]
- Guan, Q.; Ji, F.; Liu, Y.; Yu, H.; Chen, W. Distance-Vector-Based Opportunistic Routing for Underwater Acoustic Sensor Networks. IEEE Internet Things J. 2019, 6, 3831–3839. [Google Scholar] [CrossRef]
- Coutinho, R.W.L.; Boukerche, A.; Vieira, L.F.; Loureiro, A.A.F. A Joint Anypath Routing and Duty-Cycling Model for Sustainable Underwater Sensor Networks. IEEE Trans. Sustain. Comput. 2019, 4, 314–325. [Google Scholar] [CrossRef]
- Tseng, C.-H.; Lu, F.-S.; Chen, F.-K.; Wu, S.-T. Compensation of multipath fading in underwater spread-spectrum communication systems. In Proceedings of the 1998 International Symposium on Underwater Technology, Tokyo, Japan, 15–17 April 1998; pp. 453–458. [Google Scholar]
- Azam, I.; Javaid, N.; Ahmad, A.; Abdul, W.; Almogren, A.; Alamri, A. Balanced Load Distribution With Energy Hole Avoidance in Underwater WSNs. IEEE Access 2017, 5, 15206–15221. [Google Scholar] [CrossRef]
- Hou, R.; He, L.; Hu, S.; Luo, J. Energy-Balanced Unequal Layering Clustering in Underwater Acoustic Sensor Networks. IEEE Access 2018, 6, 39685–39691. [Google Scholar] [CrossRef]
- Wang, S.; Nguyen, T.L.N.; Shin, Y. Data Collection Strategy for Magnetic Induction Based Monitoring in Underwater Sensor Networks. IEEE Access 2018, 6, 43644–43653. [Google Scholar] [CrossRef]
- Ghoreyshi, S.M.; Shahrabi, A.; Boutaleb, T. An Underwater Routing Protocol with Void Detection and Bypassing Capability. In Proceedings of the 2017 IEEE 31st International Conference on Advanced Information Networking and Applications (AINA), Taipei, Taiwan, 27–29 March 2017; pp. 530–537. [Google Scholar]
- Wang, Z.; Wang, Y.S.Z. Mobile-MultiSink Routing Protocol for Underwater Wireless Sensor Networks. IJPE 2017, 13, 966–974. [Google Scholar] [CrossRef]
- Khalid, M.; Cao, Y.; Ahmad, N.; Khalid, W.; Dhawankar, P.; Khalıd, M. Radius-based multipath courier node routing protocol for acoustic communications. IET Wirel. Sens. Syst. 2018, 8, 183–189. [Google Scholar] [CrossRef]
- Tran-Dang, H.; Kim, D.-S. Channel-Aware Energy-Efficient Two-Hop Cooperative Routing Protocol for Underwater Acoustic Sensor Networks. IEEE Access 2019, 7, 63181–63194. [Google Scholar] [CrossRef]
- Coutinho, R.W.; Boukerche, A.; Loureiro, A.A. PCR: A power control-based opportunistic routing for underwater sensor networks. In Proceedings of the 21st ACM International Conference on Modeling, Analysis and Simulation of Wireless and Mobile Systems, Montreal, QC, Canada, 28 October 2018; pp. 173–180. [Google Scholar]
- Faheem, M.; Tuna, G.; Gungor, V.C. QERP: Quality-of-Service (QoS) Aware Evolutionary Routing Protocol for Underwater Wireless Sensor Networks. IEEE Syst. J. 2017, 12, 2066–2073. [Google Scholar] [CrossRef]
- Khan, Z.A.; Latif, G.; Sher, A.; Usman, I.; Ashraf, M.; Ilahi, M.; Javaid, N. Efficient routing for corona based underwater wireless sensor networks. Computing 2019, 101, 831–856. [Google Scholar] [CrossRef]
- Toso, G.; Masiero, R.; Casari, P.; Komar, M.; Kebkal, O.; Zorzi, M. Revisiting Source Routing for Underwater Networking: The SUN Protocol. IEEE Access 2018, 6, 1525–1541. [Google Scholar] [CrossRef]
- Joshy, S.; Babu, A. Capacity of Underwater Wireless Communication Channel with Different Acoustic Propoagation Loss Models. Int. J. Comput. Netw. Commun. (IJCNC) 2010, 2. [Google Scholar] [CrossRef]
- Qadir, J.; Khan, A.; Zareei, M.; Vargas-Rosales, C. Energy Balanced Localization-Free Cooperative Noise-Aware Routing Protocols for Underwater Wireless Sensor Networks. Energies 2019, 12, 4263. [Google Scholar] [CrossRef]
- MacKenzie, K.V. Discussion of sea water sound-speed determinations. J. Acoust. Soc. Am. 1981, 70, 801. [Google Scholar] [CrossRef]
- Stojanovic, M. On the relationship between capacity and distance in an underwater acoustic communication channel. ACM SIGMOBILE Mob. Comput. Commun. Rev. 2007, 11, 34–43. [Google Scholar] [CrossRef]
- Rice, J.A.; Hansen, J.T. Wideband link-budget analysis for undersea acoustic signaling. J. Acoust. Soc. Am. 2002, 112, 2420. [Google Scholar] [CrossRef]
- Available online: https://evologics.de/acoustic-modem/48-78/r-seriehtml (accessed on 12 April 2020).
















| Parameters | Values |
|---|---|
| Number of nodes | 25, 50, 75,100 |
| Simulation Runs (Routing Cycles) | 50 |
| Energy Resource | 200 Joules |
| Minimum Energy Threshold | 20 |
| Data Packet size | 512 bytes |
| Data rate | 31.2 kbps |
| Default range | 250 m |
| Carrier Frequency | 26 khz |
| Simulation Area | 1000 × 1000 m |
© 2020 by the authors. Licensee MDPI, Basel, Switzerland. This article is an open access article distributed under the terms and conditions of the Creative Commons Attribution (CC BY) license (http://creativecommons.org/licenses/by/4.0/).
Share and Cite
Islam, T.; Park, S.-H. A Two-Stage Routing Protocol for Partitioned Underwater Wireless Sensor Networks. Symmetry 2020, 12, 783. https://doi.org/10.3390/sym12050783
Islam T, Park S-H. A Two-Stage Routing Protocol for Partitioned Underwater Wireless Sensor Networks. Symmetry. 2020; 12(5):783. https://doi.org/10.3390/sym12050783
Chicago/Turabian StyleIslam, Tariq, and Seok-Hwan Park. 2020. "A Two-Stage Routing Protocol for Partitioned Underwater Wireless Sensor Networks" Symmetry 12, no. 5: 783. https://doi.org/10.3390/sym12050783
APA StyleIslam, T., & Park, S.-H. (2020). A Two-Stage Routing Protocol for Partitioned Underwater Wireless Sensor Networks. Symmetry, 12(5), 783. https://doi.org/10.3390/sym12050783
