DR-SCIR Public Opinion Propagation Model with Direct Immunity and Social Reinforcement Effect
Abstract
1. Introduction
2. SCIR Public Opinion Propagation Model
3. DR-SCIR Public Opinion Propagation Model
3.1. Direct Immune
3.2. Social Reinforcement Effect
3.3. DR-SCIR Network Public Opinion Propagation Model
- (i)
- Assume that the total number of users remains constant during the spread of public opinion, corresponding to the network is the total number of nodes N remains unchanged, that is, at any time t, there will be:
- (ii)
- In the process of public opinion propagation, the topology of the entire social network remains the same, that is, the friend relationship between users in the social network remains constant.
- (iii)
- Users treat the information from different friends equally, that is, under the effect of social reinforcement effect, the weight of the impact of each time they receive the information is the same.
3.4. Transition Probability
- (i)
- When the unknown state S contacts the propagation state I, there will be three transition states for S: the first one is to transform to the hesitant state C with probability , the second one is to transform to the propagation state I with probability , and the last one is to transform to the immune state R with probability .
- (ii)
- When the hesitation state C contacts the propagation state I, one part will transforms to the propagation state I with probability , and the other part will transforms to the immune state R with probability .
- (iii)
- The propagation state I will transforms to the immune state R with probability .
- (iv)
- The immune state R will transform to the hesitant state C with probability under the function of social reinforcement effect.
- (i)
- Suppose node j is in state S at time t; the relationship between propagation probabilities is given byConsidering as the number of nodes at state I in the neighborhood of node j at time t, we can write the above probabilities as follows,Thus,Supposing node j has k edges and is a random variable obeying the binomial distribution,where is the probability of connecting from node in state S with k edges to node in state I at time t:is a degree correlation function, which represents the conditional probability that a node with degree k is adjacent to a node with degree k1. represents the probability that a node with k1 edges is in the propagation state I under the condition that it is connected to a susceptible node with degree k.Use to represent the density of nodes in state I with degree of k1 at time t, and then is approximately:Then, the average probability that the S state node with degree k becomes state C within the time period is:Substituting Equation (12) into Equation (13), there is:Similarly, the average probability that the S state node with degree k becomes state I within the time period is:Similarly, the average probability that the S state node with degree k becomes state R within the time period is:Thus, the average probability that the S state node with degree k maintains its state in the time period is:
- (ii)
- Suppose node j is in state C at time t; the relationship between propagation probabilities is given bySpecifically, there areThus, the average probability that the C state node with degree k maintains its state in the time period is:
- (iii)
- Suppose node j is in state I at time t; the relationship between propagation probabilities are as followings,Thus, the average probability that the I state node with degree k maintains its state in the time period is:
- (iv)
- Suppose node j is in state I at time t; the relationship between propagation probabilities is given by,Considering as the number of nodes at state I in the neighborhood of node j at time t,Supposing node j has k edges and is a random variable obeying the binomial distribution,where is the probability of connecting from node in state R with k edges to node in state I at time t:represents the probability that a node with k1 edges is in the propagation state I under the condition that it is connected to an immune node with degree k.Use to represent the density of nodes in state I with degree of k1 at time t; then, is approximately:Then, the average probability that the R state node with degree k becomes state C within the time period is:Substituting Equation (28) into Equation (29), there is:Thus, the average probability that the R state node with degree k maintains its state in the time period is:
4. Simulation Analysis
4.1. Simulation Dataset
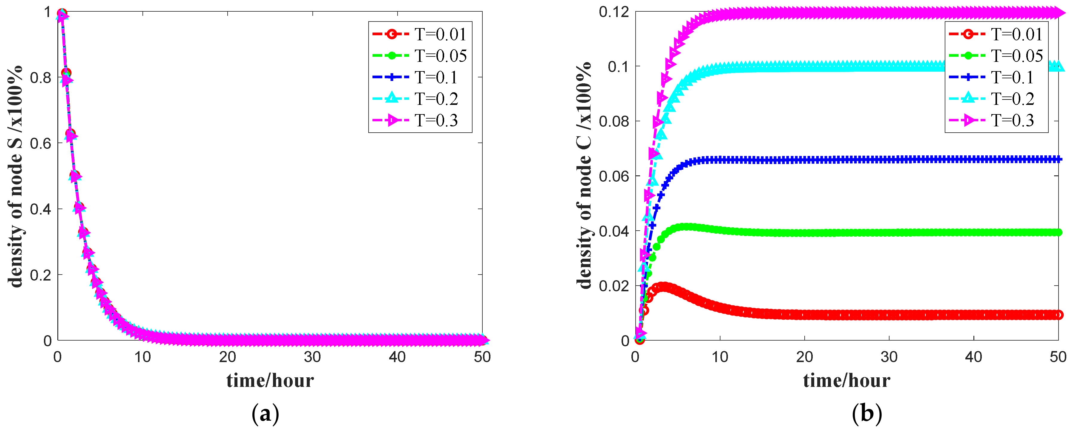
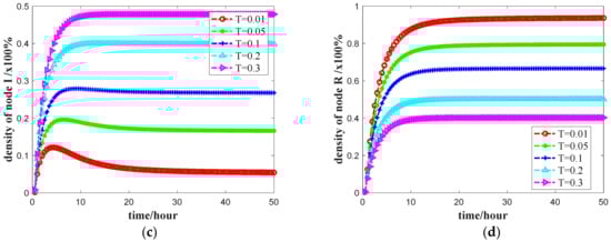
4.2. Impact of Propagation Probability Upper Limit T on Propagation
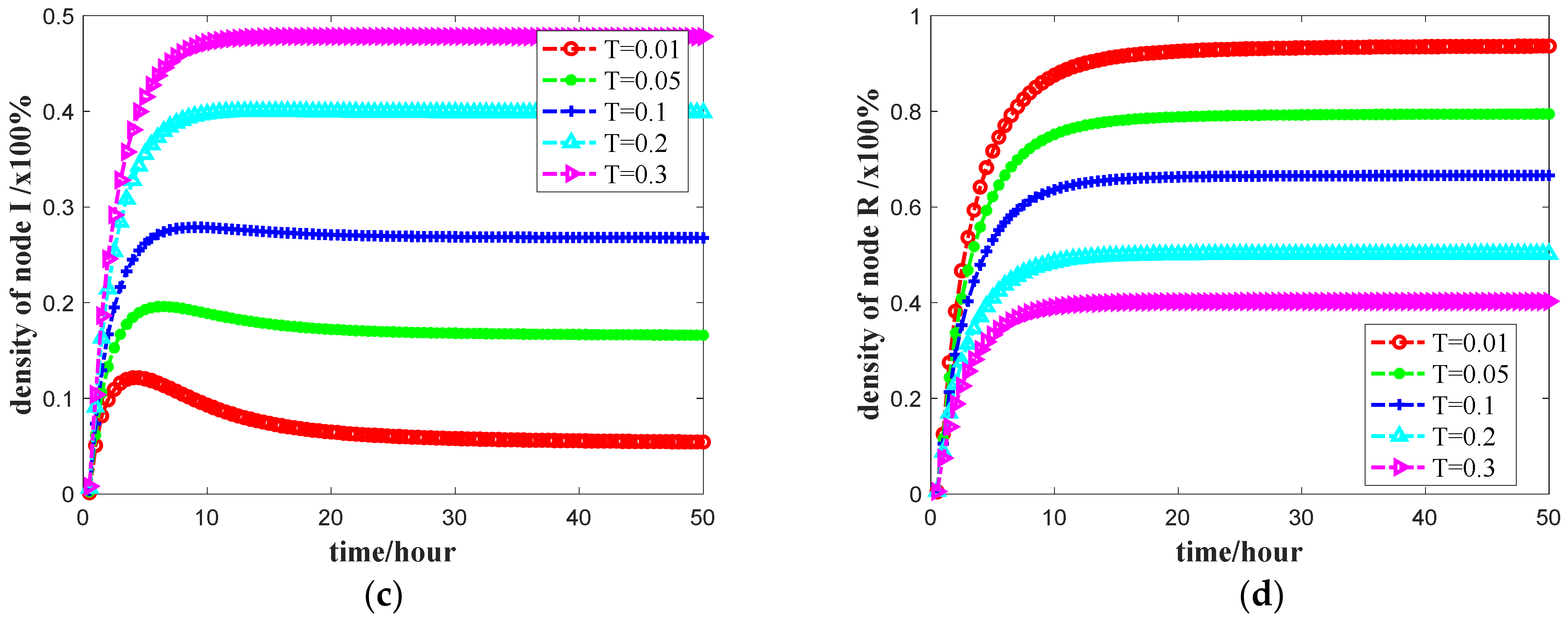
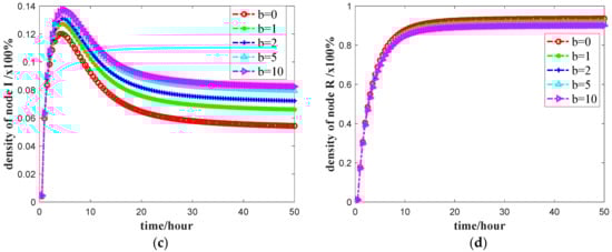
4.3. Impact of Positive Social Reinforcement Effect Factor b on Propagation
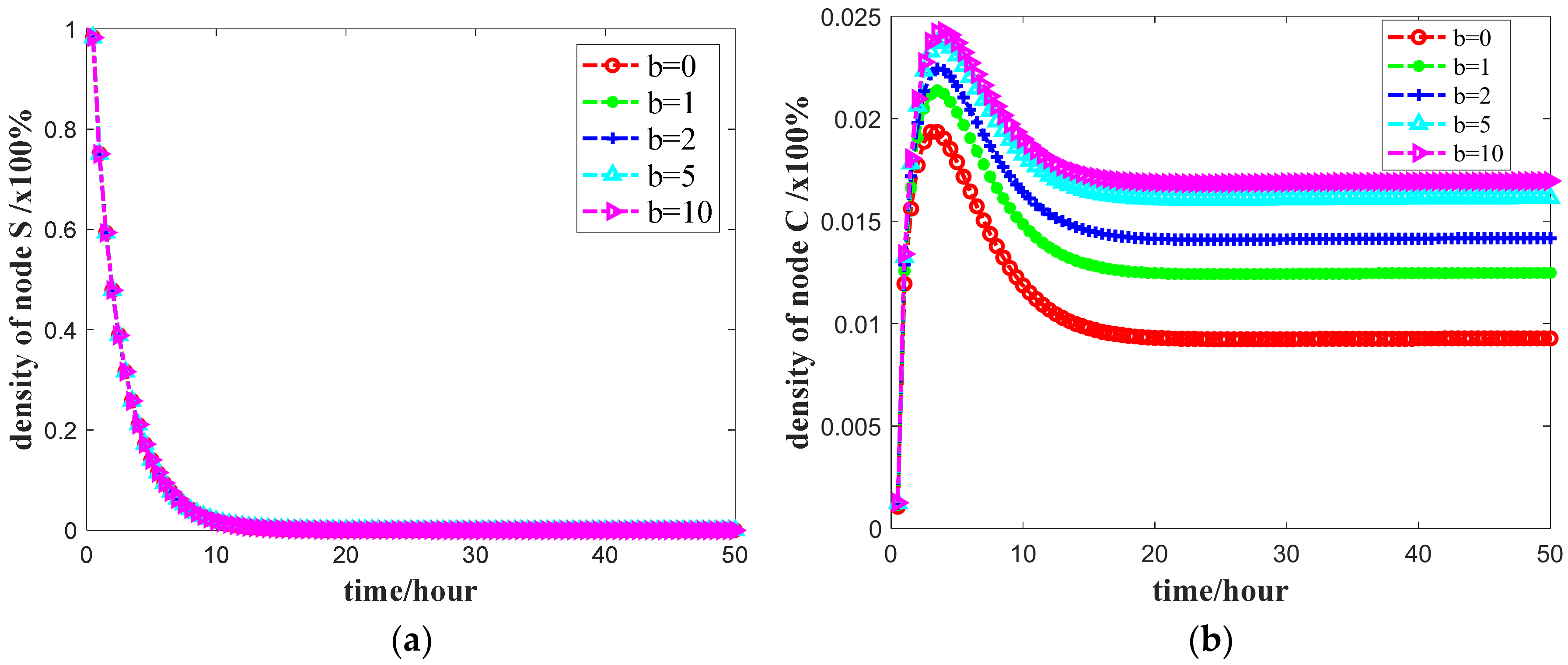
4.4. Impact of Negative Social Reinforcement Effect Factor b on Propagation
4.5. Impact of Direct Immunization on Propagation
4.6. Comparative Analysis of SIR Model, SCIR Model and DR-SCIR Model
5. Conclusions
Author Contributions
Funding
Conflicts of Interest
References
- Singh, A.; Singh, Y.N. Nonlinear Spread of Rumor and Inoculation Strategies in the Nodes with Degree Dependent Tie Strength in Complex Networks. Acta. Phys. Pol. B 2013, 44. [Google Scholar] [CrossRef]
- Lim, S.; Berry, F.S.; Lee, K. Stakeholders in the Same Bed with Different Dreams: Semantic Network Analysis of Issue Interpretation in Risk Policy Related to Mad Cow Disease. J. Public Adm. Res. Theory 2015, 26, 79–93. [Google Scholar] [CrossRef]
- Chen, T.G.; LI, Q.Q.; Fu, P.H. Public Opinion Polarization by Individual Revenue from the Social Preference Theory. Int. J. Environ. Res. Public Health 2020, 17, 946. [Google Scholar] [CrossRef] [PubMed]
- Kawachi, K.; Seki, M.; Yoshida, H.; Otake, Y.; Warashina, K.; Ueda, H. A rumor transmission model with various contact interactions. J. Theor. Biol. 2008, 253, 55–60. [Google Scholar] [CrossRef] [PubMed]
- De Arruda, G.F.; Rodrigues, F.A.; Moreno, Y. Fundamentals of spreading processes in single and multilayer complex networks. Phys. Rep. 2018, 756, 1–59. [Google Scholar] [CrossRef]
- Malecki, K.; Jankowski, J.; Szkwarkowski, M. Modelling the Impact of Transit Media on Information Spreading in an Urban Space Using Cellular Automata. Symmetry 2019, 11, 428. [Google Scholar] [CrossRef]
- Bodaghi, A.; Goliaei, S.; Salehi, M. The number of followings as an influential factor in rumor spreading. Appl. Math. Comput. 2019, 357, 167–184. [Google Scholar] [CrossRef]
- Lu, P.; Deng, L.; Liao, H. Conditional effects of individual judgment heterogeneity in information dissemination. Physica A 2019, 523, 335–344. [Google Scholar] [CrossRef]
- Ebel, H.; Bornholdt, S. Coevolutionary games on networks. Phys. Rev. E 2002, 66, 056118. [Google Scholar] [CrossRef]
- Szabo, G.; Fath, G. Evolutionary games on graphs. Phys. Rep. 2007, 446, 97–216. [Google Scholar] [CrossRef]
- Olinky, R.; Stone, L. Unexpected epidemic thresholds in heterogeneous networks: The role of disease transmission. Phys. Rev. E 2004, 70, 030902. [Google Scholar] [CrossRef] [PubMed]
- Boguna, M.; Pastor-Satorras, R.; Vespignani, A. Absence of epidemic threshold in scale-free networks with degree correlations. Phys. Rev. Lett. 2003, 90, 028701. [Google Scholar] [CrossRef] [PubMed]
- Moreno, Y.; Gomez, J.B.; Pacheco, A.F. Epidemic incidence in correlated complex networks. Phys. Rev. E 2003, 68, 035103. [Google Scholar] [CrossRef] [PubMed]
- Moreno, Y.; Nekovee, M.; Vespignani, A. Efficiency and reliability of epidemic data dissemination in complex networks. Phys. Rev. E 2004, 69, 055101. [Google Scholar] [CrossRef] [PubMed]
- Yan, G.; Fu, Z.Q.; Ren, J.; Wang, W.X. Collective synchronization induced by epidemic dynamics on complex networks with communities. Phys. Rev. E 2007, 75, 016108. [Google Scholar] [CrossRef]
- Denphedtnong, A.; Chinviriyasit, S.; Chinviriyasit, W. On the dynamics of SEIRS epidemic model with transport-related infection. Math. Biosci. 2013, 245, 188–205. [Google Scholar] [CrossRef]
- Kimura, M.; Satio, K.; Ohara, K. Learning information diffusion model in a social network forpredicting influence of nodes. Intell. Data Anal. 2011, 15, 633–652. [Google Scholar] [CrossRef]
- Liu, X.; Li, T.; Tian, M. Rumor spreading of a SEIR model in complex social networks with hesitating mechanism. Adv. Differ. Equ. 2018, 2018, 391. [Google Scholar] [CrossRef]
- Galuba, W.; Aberer, K.; Chakraborty, D. Outtweeting the Twitterers—Predicting Information Cascades in Microblogs. In Proceedings of the 3rd Workshop on Online Social Networks (WOSN 2010), Boston, MA, USA, 22 June 2010; p. 3. [Google Scholar]
- Lu, L.; Chen, D.B.; Zhou, T. The small world yields the most effective information spreading. New J. Phys. 2011, 13, 123005. [Google Scholar] [CrossRef]
- Ma, J.; Li, D.D.; Tian, Z.H. Rumor spreading in online social networks by considering the bipolar social reinforcement. Physica A 2016, 447, 108–115. [Google Scholar] [CrossRef]
- Wang, J.; Zhao, L.; Huang, R. SIRaRu rumor spreading model in complex networks. Physica A 2014, 398, 43–55. [Google Scholar] [CrossRef]
- Moreno, Y.; Nekovee, M.; Pacheco, A. Dynamics of Rumor Spreading in Complex Networks. Phy. Rev. E 2004, 69, 066130. [Google Scholar] [CrossRef] [PubMed]
- Pastor-Satorras, R.; Vespignani, A. Immunization of complex networks. Phy. Rev. E 2002, 65, 036104. [Google Scholar] [CrossRef] [PubMed]
- Gu, Y.R.; Xia, L.L. The propagation and inhibition of rumors in online social network. Acta Phys. Sin. 2012, 61, 544–550. [Google Scholar]
- Cohen, R.; Havlin, S.; Daniel, B.A. Efficient immunization strategies for computer networks and populations. Phys. Rev. Lett. 2003, 91, 247901. [Google Scholar] [CrossRef]
- Moore, C.; Newman, M.E. Epidemics and percolation in small-world networks. Phy. Rev. E 2000, 61, 5678–5682. [Google Scholar] [CrossRef]
- Eguiluz, V.M.; Klemm, K. Epidemic threshold in structured scale-free networks. Phys. Rev. Lett. 2002, 89, 108701. [Google Scholar] [CrossRef]
- Liu, Z.H.; Hu, B.B. Epidemic spreading in community networks. EPL (Europhys. Lett.) 2005, 72, 315–321. [Google Scholar] [CrossRef]
- Zhao, L.; Wang, J.; Chen, Y.; Wang, Q.; Cheng, J.; Cui, H. SIHR rumor spreading model in social networks. Physica A 2012, 391, 2444–2453. [Google Scholar] [CrossRef]
- Liu, Q.; Li, T.; Sun, M. The analysis of an SEIR rumor propagation model on heterogeneous network. Physica A 2017, 469, 372–380. [Google Scholar] [CrossRef]
- Hosseini, S.; Azgomi, M.A. A model for malware propagation in scale-free networks based on rumor spreading process. Comput. Netw. 2016, 108, 97–107. [Google Scholar] [CrossRef]
- Xia, L.L.; Jiang, G.P.; Song, B.; Zhu, G.H. Rumor Spreading Model Considering the Importance and Fuzziness of Information. In Proceedings of the IEEE International Conference on P2P, Parallel, Grid, Cloud and Internet Computing (3PGCIC), Guangdong, China, 8–10 October 2014; pp. 3463–3470. [Google Scholar]
- Fu, X.; Small, M.; Walker, D.M.; Zhang, H. Epidemic dynamics on scale-free networks with piecewise linear infectivity and immunization. Phy. Rev. E 2008, 77, 036113. [Google Scholar] [CrossRef] [PubMed]
- Wang, Y.M.; Chen, B.; Chen, X.S.; Gao, X.E. Cascading Failure Model for Command and Control Networks Based on an m-Order Adjacency Matrix. Mob. Inf. Syst. 2018, 2018, 1–11. [Google Scholar] [CrossRef]
- Maeda, H.; Wu, J.; Sawa, T.; Matsumura, Y.; Hori, K. Tumor vascular permeability and the EPR effect in macromolecular therapeutics: A review. J. Control. Release 2000, 65, 271–284. [Google Scholar] [CrossRef]
- Huang, J.; Jin, X. Preventing rumor spreading on small-world networks. J. Syst. Sci. Complex. 2011, 24, 449–456. [Google Scholar] [CrossRef]
- Wang, H.; Han, J.-H.; Deng, L.; Cheng, K.-Q. Dynamics of rumor spreading in mobile social networks. Acta Phys. Sin. 2013, 62, 110505. [Google Scholar]
- Nekovee, M.; Moreno, Y.; Bianconi, G.; Marsili, M. Theory of rumour spreading in complex social networks. Physica A 2007, 374, 457–470. [Google Scholar] [CrossRef]
- Chen, B.; Yu, H.; Wang, Y.; Gao, X.; Xu, Y. Multilevel Command and Control Supernetwork Modeling Based on Attribute Synergy Prioritization. IEEE Access 2019, 7, 32693–32702. [Google Scholar] [CrossRef]
- Zhu, H.M.; Kong, Y.H.; Wei, J.; Ma, J. Effect of users’ opinion evolution on information diffusion in online social networks. Physica A 2018, 492, 2034–2045. [Google Scholar] [CrossRef]
- Cui, W.; Gong, X.Q.; Liu, C.; Xu, D.; Chen, X.J.; Fang, D.Y.; Tang, S.J.; Wu, F.; Chen, G.H. Node Immunization with Time-Sensitive Restrictions. Sensors 2016, 16, 2141. [Google Scholar] [CrossRef]
- Albert, B. Emergence of scaling in random networks. Science 1999, 286, 509–512. [Google Scholar]
- Zhou, Y.S.; Wu, C.J. Identifying Rumor Source of Online Social Networks in the SEIR Model. In Proceedings of the International Conference on Cloud Computing and Security, Haikou, China, 8–10 June 2018; pp. 384–394. [Google Scholar]
- Zhou, Y.S.; Wu, C.J.; Zhu, Q.Y.; Xiang, Y.; Loke, S.W. Rumor Source Detection in Networks Based on the SEIR Model. IEEE Access 2019, 7, 45240–45258. [Google Scholar] [CrossRef]
- Chen, B.; Guo, Y.; Gao, X.; Wang, Y. A Novel Multi-Attribute Decision Making Approach: Addressing the Complexity of Time Dependent and Interdependent Data. IEEE Access 2018, 6, 55838–55849. [Google Scholar] [CrossRef]
- Wang, Y.M.; Chen, S.; Pan, C.; Chen, B. Measure of invulnerability for command and control network based on mission link. Inf. Sci. 2018, 426, 148–159. [Google Scholar]










| Name | Node | Edge | Average Degree | Max Degree | Min Degree | Average Path Length | Average Clustering Coefficient |
|---|---|---|---|---|---|---|---|
| Random | 1000 | 499,345 | 499.354 | 548 | 440 | 1.501 | 1.501 |
| NW | 1000 | 105,013 | 105.013 | 126 | 86 | 1.895 | 0.105 |
| BA | 1000 | 7981 | 7.981 | 230 | 8 | 3.233 | 0.029 |
© 2020 by the authors. Licensee MDPI, Basel, Switzerland. This article is an open access article distributed under the terms and conditions of the Creative Commons Attribution (CC BY) license (http://creativecommons.org/licenses/by/4.0/).
Share and Cite
Li, W.; Guo, T.; Wang, Y.; Chen, B. DR-SCIR Public Opinion Propagation Model with Direct Immunity and Social Reinforcement Effect. Symmetry 2020, 12, 584. https://doi.org/10.3390/sym12040584
Li W, Guo T, Wang Y, Chen B. DR-SCIR Public Opinion Propagation Model with Direct Immunity and Social Reinforcement Effect. Symmetry. 2020; 12(4):584. https://doi.org/10.3390/sym12040584
Chicago/Turabian StyleLi, Weidong, Tianyi Guo, Yunming Wang, and Bo Chen. 2020. "DR-SCIR Public Opinion Propagation Model with Direct Immunity and Social Reinforcement Effect" Symmetry 12, no. 4: 584. https://doi.org/10.3390/sym12040584
APA StyleLi, W., Guo, T., Wang, Y., & Chen, B. (2020). DR-SCIR Public Opinion Propagation Model with Direct Immunity and Social Reinforcement Effect. Symmetry, 12(4), 584. https://doi.org/10.3390/sym12040584

