Modified Combined-Step-Size Affine Projection Sign Algorithms for Robust Adaptive Filtering in Impulsive Interference Environments
Abstract
1. Introduction
2. Affine Projection Sign Algorithm Based on Step-size Adjustment
2.1. APSA
2.2. VSS-APSA and CAPSA
3. Proposed Algorithms
3.1. CSS-APSA
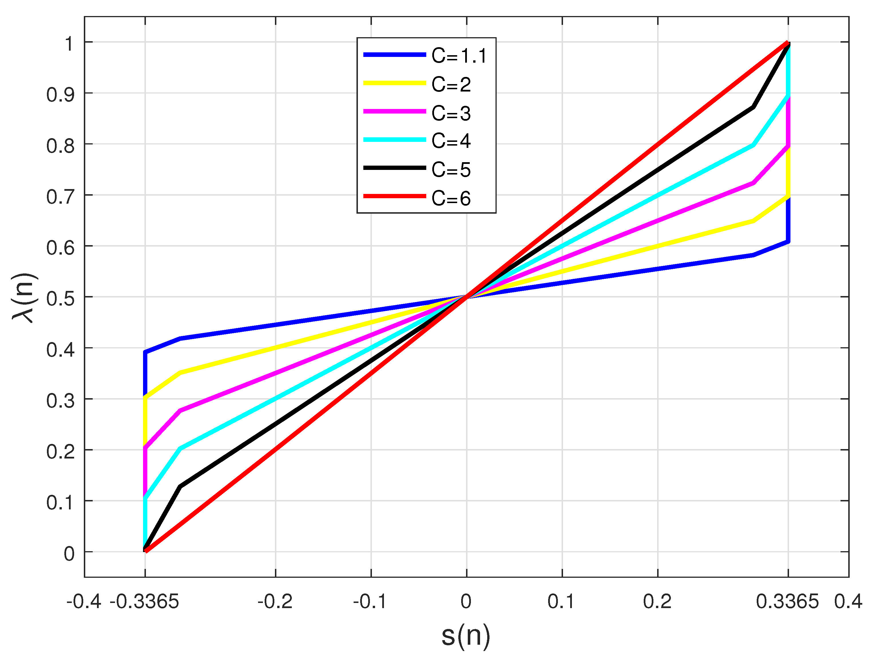
3.2. Analysis of Variable Mixing Factors for CSS-APSA
- When the C value is small, such as , we can get and . When , is approximately equal to 1 or 0. However, such two values will be slowly increased to 1 or decreased to 0 as becomes larger. Therefore, the effective range for can be treated as .
- From (23), as the C value becomes larger, becomes closer to because is a monotone decreasing function of C. Also, when the C value is relatively large, such as , will be very close to 1 or 0. Therefore, for the large C value, we can constrain .
3.3. Practical Considerations about Proposed Algorithms
3.4. Computational Complexity
| Algorithm 1: The proposed Algorithms |
|
Initialization: , , , , , and . Computation: while available do 1: 2: 3: 4: 5: for SCSS-APSA 6: 7: if : then , 8: else if : then , 9: else , end. for MCSS-APSA 6: 7: if : then , 8: else if : then , 9: else , end. for SMCSS-APSA 6: 7: if : then , 8: else if : then , 9: else , end. end while |
3.5. Steady-State Analysis
4. Numerical Simulation Results
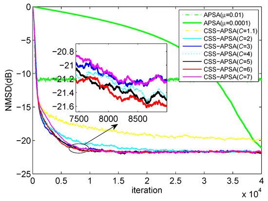
- If the value of C is too large (such as ), the change rate of from 0 to 1 is increased in the process of iteration. In this case, tends to 1 too quickly, resulting in dominated by , which is related to the lower steady-state error. Hence, the combined algorithm will still realize a slower convergence speed.
- CSS-APSA with realizes faster convergence than after an abrupt change;
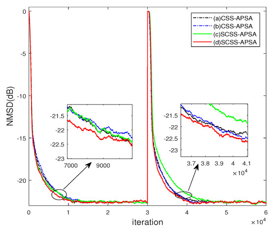
- SCSS-APSA with outperforms CSS-APSA in terms of convergence rate in the whole filtering process.
- With , MCSS-APSA realizes better filtering accuracy at a transient process than ;
- With , MCSS-APSA becomes to CSS-APSA, while MCSS-APSA with other values (such as or 10) outperforms CSS-APSA. This observation demonstrates the usefulness of modifications for CSS-APSA.
- Increasing the value from 1 to 20 cannot always improve the filtering performance of MCSS-APSA. Similarly to the effect of the C value, a value which is too large leads to dominated by in iterations, and slows down the convergence speed of MCSS-APSA.
5. Conclusions
Author Contributions
Funding
Conflicts of Interest
References
- Guo, Y.; Li, J.; Li, Y. Diffusion correntropy subband adaptive filtering (SAF) algorithm over distributed smart dust networks. Symmetry 2019, 11, 1335. [Google Scholar] [CrossRef]
- Duttweiler, D.L. Proportionate normalized least-mean-squares adaptation in echo cancelers. IEEE Trans. Speech Audio Process. 2000, 8, 508–517. [Google Scholar] [CrossRef]
- Wang, Y.; Li, Y. Norm penalized joint-optimization NLMS algorithms for broadband sparse adaptive channel estimation. Symmetry 2017, 9, 133. [Google Scholar] [CrossRef]
- Min, S.; Nikias, C.L. Signal processing with fractional lower order moments: Stable processes and their applications. Proc. IEEE 1993, 81, 986–1010. [Google Scholar]
- Ozeki, K.; Umeda, T.; Members., R. An adaptive filtering algorithm using an orthogonal projecti on to an affine subspace and its properties. Electron. Commun. Jpn. 1984, 67, 126–132. [Google Scholar] [CrossRef]
- Shin, H.C.; Sayed, A.H.; Song, W.J. Variable step-size nlms and affine projection algorithms. IEEE Signal Process. Lett. 2004, 11, 132–135. [Google Scholar] [CrossRef]
- Lee, C.H.; Park, P. Optimal step-size affine projection algorithm. IEEE Signal Process. Lett. 2012, 19, 431–434. [Google Scholar] [CrossRef]
- Paul, T.K.; Ogunfunmi, T. On the convergence behavior of the affine projection algorithm for adaptive filters. IEEE Trans. Circuits Syst. Regul. Pap. 2011, 58, 1813–1826. [Google Scholar] [CrossRef]
- Yin, W.; Mehr, A.S. A variable regularization method for affine projection algorithm. IEEE Trans. Circuits Syst. Ii: Express Briefs 2010, 57, 476–480. [Google Scholar]
- Zhao, J.; Zhang, H.; Wang, G.; Liao, X. Modified memory-improved proportionate affine projection sign algorithm based on correntropy induced metric for sparse system identification. Electron. Lett. 2018, 54, 630–632. [Google Scholar] [CrossRef]
- Li, Y.; Jiang, Z.; Yin, J. Mixed norm constrained sparse apa algorithm for satellite and network echo channel estimation. IEEE Access 2018, 6, 65901–65908. [Google Scholar] [CrossRef]
- Sivabalan, S.R.A. Za-apa with zero attractor controller selection criterion for sparse system identification. Signal Image Video Process. 2018, 12, 371–377. [Google Scholar]
- Meng, R.; Lamare, R.C.D.; Nascimento, H. Sparsity-aware affine projection adaptive algorithms for system identification. In Proceedings of the Sensor Signal Processing for Defence (SSPD 2011), London, UK, 27–29 September 2011; pp. 27–29. [Google Scholar]
- Li, Y.; Zhang, C.; Wang, S. Low-complexity non-uniform penalized affine projection algorithm for sparse system identification. Circuits Syst. Signal Process. 2016, 35, 1611–1624. [Google Scholar] [CrossRef]
- Li, Y.; Li, W.; Yu, W.; Wan, J.; Li, Z. Sparse adaptive channel estimation based on lp-norm-penalized affine projection algorithm. Int. Antennas Propag. 2014, 2014, 17–23. [Google Scholar]
- Li, Y.; Hamamura, M. Smooth approximation l0-norm constrained affine projection algorithm and its applications in sparse channel estimation. Sci. World J. 2014, 2014, 937252. [Google Scholar]
- Arikan, O.; Cetin, A.E.; Erzin, E. Adaptive filtering for non-gaussian stable processes. IEEE Signal Process. Lett. 1994, 1, 163–165. [Google Scholar] [CrossRef]
- Kwong, C. Dual sign algorithm for adaptive filtering. IEEE Trans. Commun. 1986, 34, 1272–1275. [Google Scholar] [CrossRef]
- Shao, T.; Zheng, Y.R.; Member, S.; Benesty, J.; Member, S. An affine projection sign algorithm robust against impulsive interferences. IEEE Signal Process. Lett. 2010, 17, 327–330. [Google Scholar] [CrossRef]
- Yoo, J.; Shin, J.; Park, P. Variable step-size affine projection sign algorithm. IEEE Trans. Circuits Syst. II Express Briefs 2014, 61, 274–278. [Google Scholar]
- Shin, J.; Yoo, J.; Park, P. Variable step-size affine projection sign algorithm. Electron. Lett. 2012, 48, 9–10. [Google Scholar] [CrossRef]
- Zhang, S.; Zhang, J. Modified variable step-size affine projection sign algorithm. Electron. Lett. 2013, 49, 1264–1265. [Google Scholar] [CrossRef]
- Kim, S.H.; Jeong, J.J. Robust convex combination of affine projection-type algorithms using an impulsive noise indicator. Signal Process. 2016, 129, 33–37. [Google Scholar] [CrossRef]
- Huang, F.; Zhang, J.; Zhang, S. A family of robust adaptive filtering algorithms based on sigmoid cost. Signal Process. 2018, 149, 179–192. [Google Scholar] [CrossRef]
- Huang, F.; Zhang, J.; Zhang, S. Combined-step-size affine projection sign algorithm for robust adaptive filtering in impulsive interference environments. IEEE Trans. Circuits Syst. Express Briefs 2016, 63, 493–497. [Google Scholar] [CrossRef]
- Choi, J.H.; Cho, H.; Jeong, J.J.; Kim, W. Combination of step sizes for affine projection algorithm with variable mixing parameter. Electron. Lett. 2013, 49, 29–30. [Google Scholar] [CrossRef]
- Arenas-García, J.; Gómez-Verdejo, V. New algorithms for improved adaptive convex combination of lms transversal filters. IEEE Trans. Instrum. Meas. 2005, 54, 2239–2249. [Google Scholar] [CrossRef]
- Kozat, S.S.; Erdogan, A.T.; Singer, A.C.; Sayed, A.H. Steady-state mse performance analysis of mixture approaches to adaptive filtering. IEEE Trans. Signal Process. 2010, 58, 4050–4063. [Google Scholar] [CrossRef]
- Ferrer, M.; Gonzalez, A.; Member, S.; Diego, M.D. Convex combination filtered-x algorithms for active noise control systems. IEEE Trans. Audio Speech Lang. Process. 2013, 21, 156–167. [Google Scholar] [CrossRef]







| Algorithms | Multiplications | Additions | Comparisons | Exponents |
|---|---|---|---|---|
| APSA | 0 | 0 | ||
| CAPSA | 2 | 0 | ||
| CSS-APSA | 2 | 2 | ||
| SCSS-APSA | 2 | 0 | ||
| MCSS-APSA | 2 | 2 | ||
| SMCSS-APSA | 2 | 0 |
| Algorithms | Parameters | Execution Time (s) |
|---|---|---|
| CSS-APSA | 1.7132 | |
| SCSS-APSA | 1.6952 | |
| MCSS-APSA | 1.7467 | |
| SMCSS-APSA | 1.7108 |
© 2020 by the authors. Licensee MDPI, Basel, Switzerland. This article is an open access article distributed under the terms and conditions of the Creative Commons Attribution (CC BY) license (http://creativecommons.org/licenses/by/4.0/).
Share and Cite
Li, G.; Zhang, H.; Zhao, J. Modified Combined-Step-Size Affine Projection Sign Algorithms for Robust Adaptive Filtering in Impulsive Interference Environments. Symmetry 2020, 12, 385. https://doi.org/10.3390/sym12030385
Li G, Zhang H, Zhao J. Modified Combined-Step-Size Affine Projection Sign Algorithms for Robust Adaptive Filtering in Impulsive Interference Environments. Symmetry. 2020; 12(3):385. https://doi.org/10.3390/sym12030385
Chicago/Turabian StyleLi, Guoliang, Hongbin Zhang, and Ji Zhao. 2020. "Modified Combined-Step-Size Affine Projection Sign Algorithms for Robust Adaptive Filtering in Impulsive Interference Environments" Symmetry 12, no. 3: 385. https://doi.org/10.3390/sym12030385
APA StyleLi, G., Zhang, H., & Zhao, J. (2020). Modified Combined-Step-Size Affine Projection Sign Algorithms for Robust Adaptive Filtering in Impulsive Interference Environments. Symmetry, 12(3), 385. https://doi.org/10.3390/sym12030385
