Disdrometer Performance Optimization for Use in Urban Settings Based on the Parameters that Affect the Measurements
Abstract
1. Introduction
- Catching instruments.
- Non-catching instruments.
- It should be a simple, low-cost system implemented with commercial materials.
- It should be capable of operating both at fixed stations in the road network and onboard a vehicle to provide information to the driver and activate the fog lights or windscreen wipers when required.
2. Materials and Methods
2.1. Operating Principle
2.2. Drop Size Measurement
2.3. Signal Duration Measurement
2.4. Data Processing
2.5. Time Technique
2.6. Counting Technique
2.7. Precipitation Intensity Calculation
2.8. Edge Effects
- Two small drops can be detected as a larger drop. In this case, a larger amount of water than the one that actually contains the two smaller drops is detected.
- The time of the transition detected as a consequence of the coincidence of two drops is larger than that corresponding to a drop of larger diameter, which simulates a greater probability of large drops and consequently an exaggerated contribution to the determination of the precipitation intensity.
- “The iterative procedure to compensate for the fringe effects is based on the assumption that these effects occur according to their mean statistics. The Monte Carlo studies are used to quantify the portion of the total error variance produced by the random occurrence of the fringe effects. This will be referred to in the following as (fringe effects).
- The Monte Carlo simulations also consider the inhomogeneity and anisotropy of the sensitive volume. The variance that is caused by this effect is therefore included in the variance obtained from the Monte Carlo model.
- The total error variance also includes a sampling error due to the fact that even at a constant rainfall the number of drops penetrating the sensitive volume varies from one measurement to another. This sampling error has not been considered in the Monte Carlo simulations. This variance that is only caused by the sampling error will be called. The value of was determined analytically”.
2.9. Numerical Model
3. Results
- The drop distribution was obtained according to their size: maintaining a constant number of drops of each size, we randomly generated different spatial and temporal distributions (200 analyses) to estimate the variations that could arise in the determination of the measured as a function of the position of the drops at the initial time.
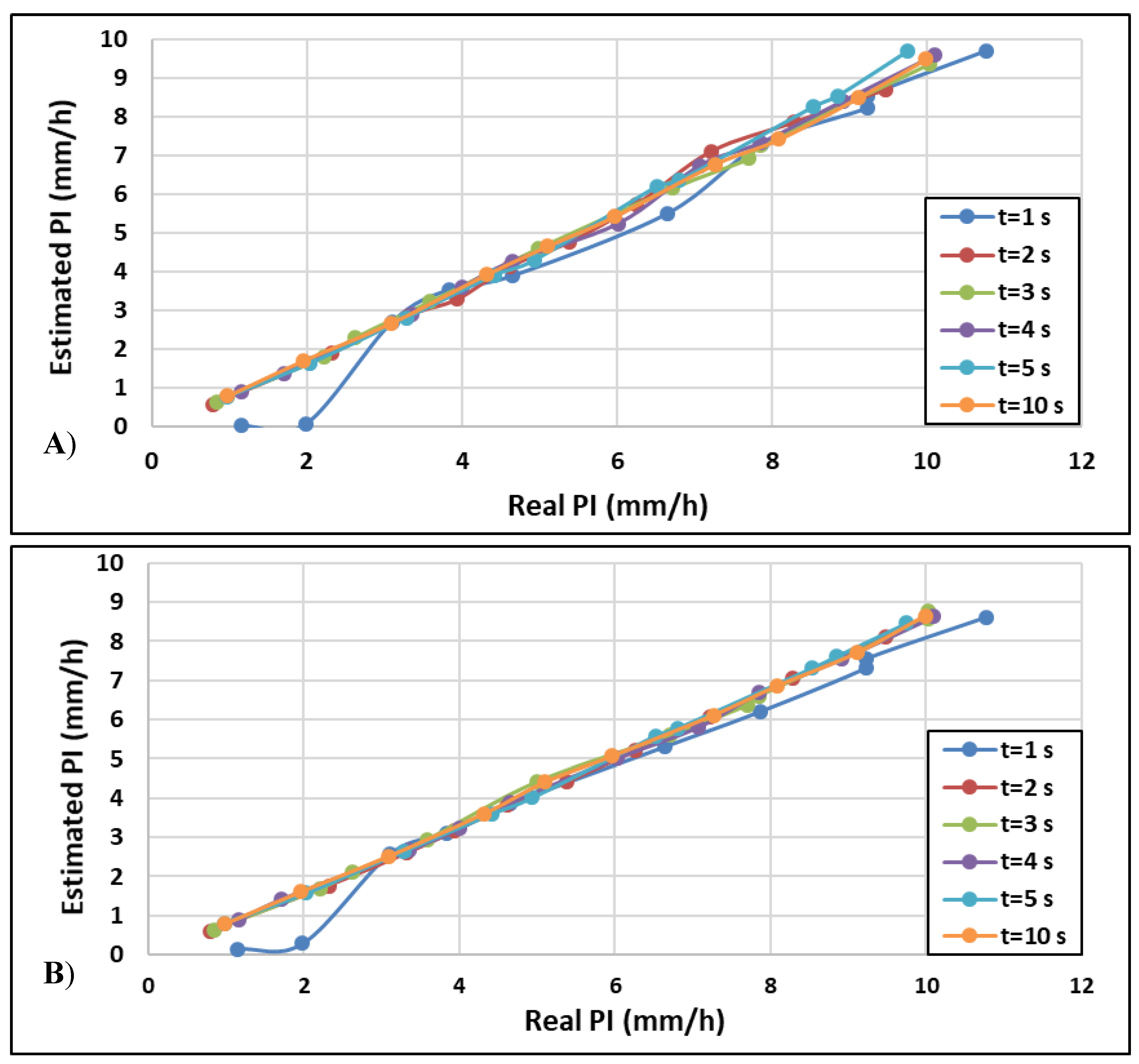
- The effect of considering different sampling times of 1−120 s was analyzed. To minimize the effect of the spatial and temporal distribution of the drops on the measurement, the average of 200 measurements with different distributions was analyzed.
- The effect of the type of gamma distribution applied was analyzed by comparing the results of the stratiform and convective distribution.
- The effect of the wind speed on the results of the counting and time estimation systems was analyzed. These measurements were performed for a PI of with measurement periods of 5 s, resolution of 0.1 milliseconds and an average of 20 measurements.
- The results were compared for 8- and 10-bit converters and an average of 20 measurements.
- Estimation of precipitation measurement error for different sampling times, measurement technique, and type of precipitation (Figure 10).
4. Discussion
- The use of the counting technique always results in an estimate of precipitation the time technique.
- The time technique usually overestimates of the precipitation values, except for precipitation intensities above 50 mm/h.
- The counting technique provides very close estimated PI values to the actual values, which are slightly below them.
- The PI measurement with 8-bit A/D converters provides better results with the time technique than with the counting technique. The latter usually underestimates the PI.
- The PI measurement with 10-bit A/D converters provides better results with the counting technique than with the time technique. In this case, the latter usually overestimates the PI values.
- For measurements using the time technique, the results show that it is better to work with 8-bit A/D converters.
- For measurements using the counting technique, the results show that it is better to work with 10-bit A/D converters.
- The edge effects have a smaller influence on the convective precipitation. The reason is that for a given precipitation intensity, the numerical density in the convective rain is less than that in the stratiform rainfall, and multiple occupations are less frequent.
Author Contributions
Funding
Conflicts of Interest
References
- Frasson, R.P.D.M.; da Cunha, L.K.; Krajewski, W.F. Assessment of the thies optical disdrometer performance. Atmos. Res. 2011, 101, 237–255. [Google Scholar] [CrossRef]
- Krajewski, W.F.; Kruger, A.; Caracciolo, C.; Golé, P.; Barthes, L.; Creutin, J.D.; Delahaye, J.-Y.; Nikolopoulos, E.I.; Ogden, F.; Vinson, J.P. DEVEX-disdrometer evaluation experiment: Basic results and implications for hydrologic studies. Adv. Water Resour. 2006, 29, 311–325. [Google Scholar] [CrossRef]
- Peng, Y.; Jiang, Y.; Lu, J.; Zou, Y. Examining the effect of adverse weather on road transportation using weather and traffic sensors. PLoS ONE 2018, 13, e0205409. [Google Scholar] [CrossRef]
- Ibrahim, A.; Hall, F. Effect of Adverse Weather Conditions on Speed-Flow-Occupancy Relationships; Transportation Research Record, No. 1457, TRB; National Research Council: Washington, DC, USA, 1994. [Google Scholar]
- Rakha, H.; Arafeh, M.; Park, S. Modeling inclement weather impacts on traffic stream behavior. Int. J. Transp. Sci. Technol. 2012, 1, 25–47. [Google Scholar] [CrossRef]
- Cruse, R.; Flanagan, D.; Frankenberger, J.; Gelder, B.; Herzmann, D.; James, D.; Krajewski, W.; Kraszewski, M.; Laflen, J.; Opsomer, J.; et al. Daily estimates of rainfall, water runoff, and soil erosion in Iowa. J. Soil Water Conserv. 2006, 61, 191–199. [Google Scholar]
- Malin, F.; Norros, I.; Innamaa, S. Accident risk of road and weather conditions on different road types. Accid. Anal. Prev. 2019, 122, 181–188. [Google Scholar] [CrossRef] [PubMed]
- Lolli, S.; Di Girolamo, P.; Demoz, B.; Li, X.; Welton, E.J. Rain Evaporation Rate Estimates from Dual-Wavelength Lidar Measurements and Intercomparison against a Model Analytical Solution. J. Atmos. Ocean. Technol. 2017, 34, 829–839. [Google Scholar] [CrossRef]
- World Meteorological Organization. Guide to Meteorological Instruments and Methods of Observation. WMO-No. 8; WMO: Geneva, Switzerland, 2014. [Google Scholar]
- Grossklaus, M.; Uhlig, K.; Hasse, L. An Optical Disdrometer for Use in High Wind Speeds. J. Atmos. Ocean. Technol. 1998, 15, 1051–1059. [Google Scholar] [CrossRef]
- Hauser, D.; Amayenc, P.; Nutten, B.; Waldteufel, P. A new optical instrument for simultaneous measurement of raindrop diameter and fall speed distributions. J. Atmos. Ocean. Technol. 1984, 1, 256–269. [Google Scholar] [CrossRef]
- Kathiravelu, G.; Lucke, T.; Nichols, P. Rain drop measurement techniques: A review. Water 2016, 8, 29. [Google Scholar] [CrossRef]
- Illingworth, A.J.; Stevens, C.J. An optical disdrometer for the measurement of raindrop size spectra in windy conditions. J. Atmos. Ocean. Technol. 1987, 4, 411–421. [Google Scholar] [CrossRef]
- Atlas, D.; Ulbrich, C.W. Path- and area-integrated rainfall measurement by microwave attenuation in the 1–3 cm band. J. Appl. Meteorol. 1977, 16, 1322–1331. [Google Scholar] [CrossRef]
- Foote, G.B.; Torr, P.S.D. How fast do raindrops fall? Weather Guys Editor. Terminal Velocity of Raindrops Aloft. J. Appl. Meteorol. 2013, 8, 249–253. [Google Scholar] [CrossRef]
- Pruppacher, H.R.; Pitter, R.L. A semi-empirical determination of the shape of cloud and rain drops. J. Atmos. Sci. 1971, 28, 86–94. [Google Scholar] [CrossRef]
- Hasse, L.; Grossklaus, M.; Uhlig, K. Measurement of Precipitation at Sea, Precipitation Measurement and Quality Control; Institut für Meereskunde: Kiel, Slovakia, 1993. [Google Scholar]
- Hasse, L.; Grossklaus, M.; Isemer, H.J.; Uhlig, K. New Ship Rain Gage. Instruments and Observing Methods; Report No 57. WMO/TD No 588; World Meteorological Organisation: Geneva, Switzerland, 1998; pp. 97–101. [Google Scholar]
- Hasse, L.; Grossklaus, M.; Uhlig, K.; Timm, P. A ship rain gauge for use in high wind speeds. J. Atmos. Ocean. Technol. 1998, 15, 380–386. [Google Scholar] [CrossRef]
- Marshall, J.S.; Palmer, W.M.K. The distribution of raindrops with size. J. Meteorol. 1948, 5, 165–166. [Google Scholar] [CrossRef]
- Ulbrich, C.W. Natural variations in the analytical form of the raindrop size distribution. J. Clim. Appl. Meteorol. 1983, 22, 1764–1775. [Google Scholar] [CrossRef]
- Ulbrich, C.W. The effects of drop size distribution truncation on rainfall integral parameters and empirical relations. J. Clim. Appl. Meteorol. 1985, 24, 580–590. [Google Scholar] [CrossRef][Green Version]
- Gertzman, H.S.; Atlas, D. Sampling errors in the measurement of rain and hail parameters. J. Geophys. Res. 1977, 82, 4955–4966. [Google Scholar] [CrossRef]
- Brawn, D.; Upton, G. Estimation of an atmospheric gamma drop size distribution using disdrometer data. Atmos. Res. 2008, 87, 66–79. [Google Scholar] [CrossRef]
- Zhang, G.; Vivekanandan, J.; Brandes, E.A.; Meneghini, R.; Kozu, T. The shape–slope relation in observed gamma raindrop size distributions: Statistical error or useful information? J. Atmos. Ocean. Technol. 2003, 20, 1106–1119. [Google Scholar] [CrossRef]
- Peng, Y.; Abdel-Aty, M.; Lee, J.; Zou, Y. Analysis of the impact of fog-related reduced visibility on traffic parameters. J. Transp. Eng. 2018, 144, 04017077. [Google Scholar] [CrossRef]
- Alves de Souza, B.; da Silva Rocha Paz, I.; Ichiba, A.; Willinger, B.; Gires, A.; Amorim, J.C.C.; de Miranda Reis, M.; Tisserand, B.; Tchiguirinskaia, I.; Schertzer, D. Multi-hydro hydrological modelling of a complex peri-urban catchment with storage basins comparing C-band and X-band radar rainfall data. Hydrol. Sci. J. 2018, 63, 1619–1635. [Google Scholar] [CrossRef]
- Tabary, P.; Boumahmoud, A.-A.; Andrieu, H.; Thompson, R.J.; Illingworth, A.J.; Le Bouar, E.; Testud, J. Evaluation of two “integrated” polarimetric Quantitative Precipitation Estimation (QPE) algorithms at C-band. J. Hydrol. 2011, 405, 248–260. [Google Scholar] [CrossRef]
- Salli, R.; Lintusaari, M.; Tiikkaja, H.; Pöllänen, M. Keliolosuhteet ja Henkilöautoliikenteen Riskit [Wintertime Road Conditions and Accident Risks in Passenger Car Traffic]; Tampere University of Technology, Department of Business Information Management and Logistics: Tampere, Finland, 2008. [Google Scholar]
















| Full range | 0.02–2000 mm·h−1 |
| Rainfall threshold detected | 0.02–0.2 mm·h−1 |
| Output averaging time | One minute |
| Uncertainty required in the measurement: | |
| 0.2–2 mm·h−1 | 0.1 mm·h−1 |
| 2–2000 mm·h−1 | 5% |
| Type of Precipitation | N0 (m−3cm−1−µ) | µ |
|---|---|---|
| Convective | 7.54 × 106 | 1.63 |
| Stratified | 1.96 × 105 | 0.18 |
© 2020 by the authors. Licensee MDPI, Basel, Switzerland. This article is an open access article distributed under the terms and conditions of the Creative Commons Attribution (CC BY) license (http://creativecommons.org/licenses/by/4.0/).
Share and Cite
Mocholí Belenguer, F.; Martínez-Millana, A.; Mocholí Salcedo, A.; Milián Sánchez, V.; Josefa Palomo Anaya, M. Disdrometer Performance Optimization for Use in Urban Settings Based on the Parameters that Affect the Measurements. Symmetry 2020, 12, 303. https://doi.org/10.3390/sym12020303
Mocholí Belenguer F, Martínez-Millana A, Mocholí Salcedo A, Milián Sánchez V, Josefa Palomo Anaya M. Disdrometer Performance Optimization for Use in Urban Settings Based on the Parameters that Affect the Measurements. Symmetry. 2020; 12(2):303. https://doi.org/10.3390/sym12020303
Chicago/Turabian StyleMocholí Belenguer, Ferran, Antonio Martínez-Millana, Antonio Mocholí Salcedo, Víctor Milián Sánchez, and María Josefa Palomo Anaya. 2020. "Disdrometer Performance Optimization for Use in Urban Settings Based on the Parameters that Affect the Measurements" Symmetry 12, no. 2: 303. https://doi.org/10.3390/sym12020303
APA StyleMocholí Belenguer, F., Martínez-Millana, A., Mocholí Salcedo, A., Milián Sánchez, V., & Josefa Palomo Anaya, M. (2020). Disdrometer Performance Optimization for Use in Urban Settings Based on the Parameters that Affect the Measurements. Symmetry, 12(2), 303. https://doi.org/10.3390/sym12020303

