New Distance Measures for Dual Hesitant Fuzzy Sets and Their Application to Multiple Attribute Decision Making
Abstract
1. Introduction
2. Preliminaries
2.1. Dual Hesitant Fuzzy Sets
- (1)
- if , then is inferior than , denoted by ;
- (2)
- if , then
- (i)
- if , then is equal to , denoted by ;
- (ii)
- if , then is inferior than , denoted by ;
2.2. Existing Distance Measures for DHFSs
- ;
- if and only if;
- ;
3. New Distance Measure for DHFSs
3.1. Analysis of Deficiencies of Existing Distance Measures
- ;
- if and only if;
- ;
- Letbe any DHFS, then;
3.2. Construction of New Distance Measures for DHFSs
- The new distance measures for DHFSs are developed in terms of the mean, variance and number of elements of DHFEs, which efficiently considers the characteristics of DHFS. The new distance measures not only focus on the difference among the value of DHFEs but also pay much attention to the volatility of DHF information.
- The new distance measures between DHFSs are developed without the consideration of two potential assumptions adopted in aforementioned distance measures. We do not need to extend the shorter DHFEs to the same length by adding any value in it, which can avoid inaccuracy by adding values to DHFEs artificially.
- As a basic property of the distance measures, the triangle inequality is an essential part of the axioms of distance measures. We improve the Definition 4 by adding the property of triangle inequality, which makes the axioms of distance measures more complete. The new distance measures for DHFSs not only meet all properties in Definition 4 but also the property of triangular inequality.
4. MADM Method Based on New Distance Measure for DHFSs
4.1. Determination of Completely Unknown Attribute Weights
4.2. Algorithm for MADM Problem with DHF Assessment
5. Application of the Proposed Method in MADM
5.1. Description of the Airline Service Quality Evaluation Problem
5.2. Solution Procedure of Airline Service Quality Evaluation Problem
5.3. Comparison Analysis with the Existing Distance Measures
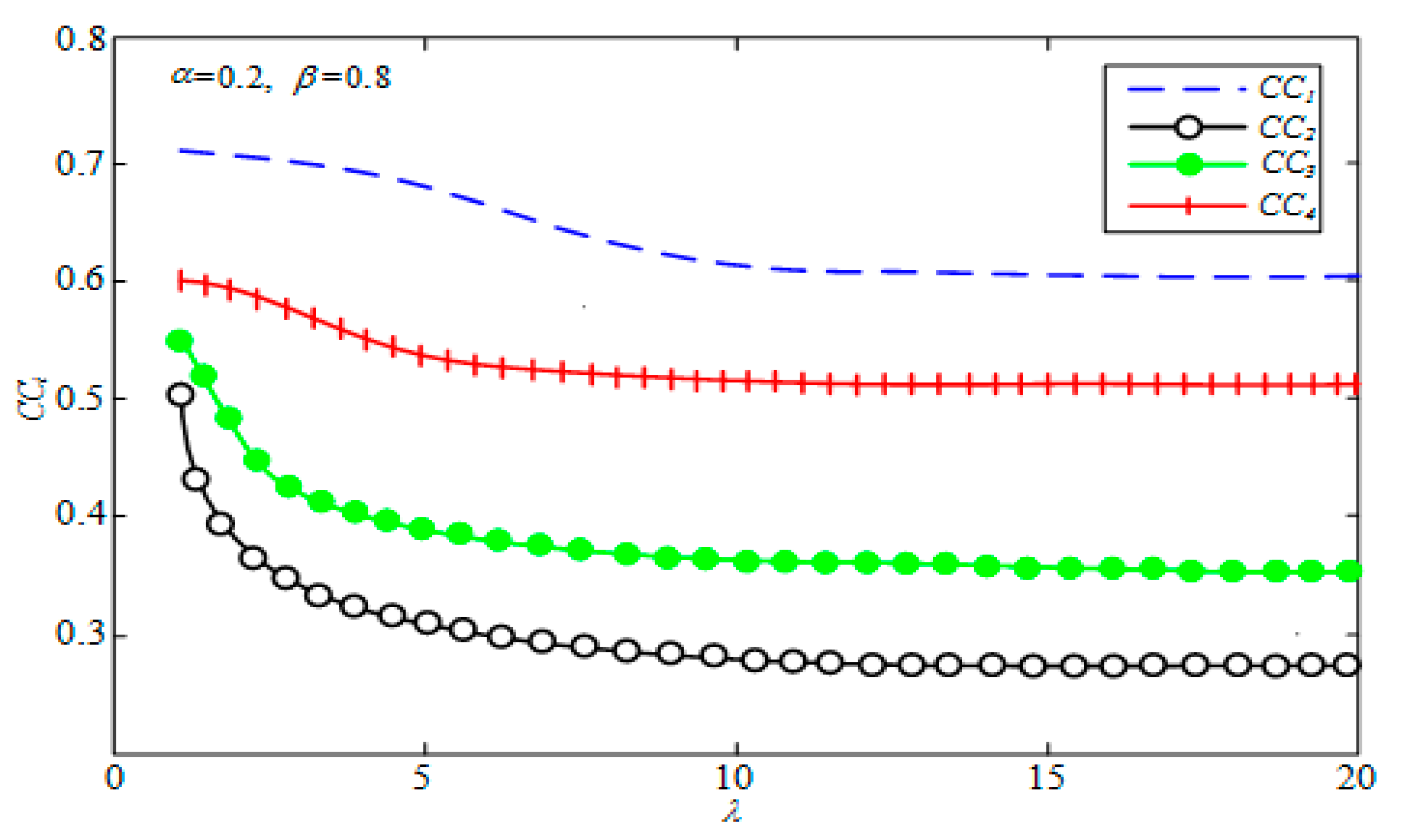
5.4. Sensitivity Analysis on the Parameter of the Proposed Distance Measure
- From the perspective of DHF theory, the proposed new distance measures between DHFSs do not depend on two assumptions to deal with DHF information, which makes the calculation results more objective. Moreover, the construction of new distance measures takes into account not only the difference among the value of DHFEs but also the volatility of dual hesitant fuzzy information. The proposed new distance measures further reflect the characteristics of the DHF information. Besides, the preference coefficients can be determined according to the decision maker’s psychological preference, having strong practicability and availability.
- From the perspective of the determination of completely unknown attribute weights, the weights of attributes can be obtained objectively by constructing optimization model with the help of the new distance measure for DHFSs. The decision information is fully utilized and the attribute weight determination model is flexible and easy to operate.
- From the perspective of practical application, DHFS can better characterize the preferences and cognitions of decision makers in MADM problem. The proposed distance measures for DHFSs can be effectively applied to solve the MADM problem of airline service quality evaluation and help the Civil Aviation bureau to find the best service quality airline.
6. Conclusions
Author Contributions
Funding
Conflicts of Interest
References
- Dyer, J.S.; Fishburn, P.C.; Steuer, R.E.; Wallenius, J.; Zionts, S. Multiple criteria decision making, multiattribute utility theory:the next ten years. Manag. Sci. 1992, 38, 645–654. [Google Scholar] [CrossRef]
- Zadeh, L.A. Fuzzy sets, Inform. Control 1965, 8, 338–356. [Google Scholar] [CrossRef]
- Atanassov, K.T. Intuitionistic fuzzy sets. Fuzzy Sets Syst. 1986, 20, 87–96. [Google Scholar] [CrossRef]
- Torra, V.; Narukawa, Y. On hesitant fuzzy sets and decision. In Proceedings of the 18th IEEE International Conference on Fuzzy Systems, JejuIsland, Korea, 20–24 August 2009; pp. 1378–1382. [Google Scholar] [CrossRef]
- Zhu, B.; Xu, Z.S.; Xia, M.M. Dual hesitant fuzzy sets. J. Appl. Math. 2012, 22, 100–121. [Google Scholar] [CrossRef]
- Wang, L.; Shen, Q.G.; Zhu, L. Dual hesitant fuzzy power aggregation operators based on Archimedean t-conorm and t-norm and their application to multiple attribute group decision making. Appl. Soft. Comput. 2016, 38, 23–50. [Google Scholar] [CrossRef]
- Zhang, Y. Research on the computer network security evaluation based on the DHFHCG operator with dual hesitant fuzzy information. J. Intell. Fuzzy Syst. 2015, 28, 199–204. [Google Scholar] [CrossRef]
- Su, Z.; Xu, Z.S.; Liu, H.F.; Liu, S.S. Distance and similarity measure for dual hesitant fuzzy sets and their application in pattern recognition. J. Intell. Fuzzy Syst. 2015, 29, 731–745. [Google Scholar] [CrossRef]
- Wang, L.; Xu, S.; Wang, Q.; Ni, M. Distance and similarity measures of dual hesitant fuzzy sets with their applications to multiple attribute decision making. In Proceedings of the International Conference on Progress in Informatics and Computing, Shanghai, China, 16–18 May 2014; pp. 88–92. [Google Scholar] [CrossRef]
- Singh, P. Distance and similarity measures for multiple-attribute decision making with dual hesitant fuzzy sets. J. Comput. Appl. Math. 2017, 36, 111–126. [Google Scholar] [CrossRef]
- Zhao, N.; Xu, Z.S. Entropy measures for dual hesitant fuzzy information. In Proceedings of the 2015 Fifth International Conference on Communication Systems and Network Technologies, Gwalior, India, 4–6 April 2015; pp. 1152–1156. [Google Scholar]
- Tyagi, S.K. Correlation coefficient of dual hesitant fuzzy sets and its applications. Appl. Math. Model. 2015, 39, 7082–7092. [Google Scholar] [CrossRef]
- Ye, J. Correlation coefficient of dual hesitant fuzzy sets and its application to multiple attribute decision making. Appl. Math. Model. 2014, 38, 659–666. [Google Scholar] [CrossRef]
- Ye, J. Cross-entropy of dual hesitant fuzzy sets for multiple attribute decision-making. Int. J. Decis. Support Syst. Technol. 2016, 8, 20–30. [Google Scholar] [CrossRef]
- Ren, Z.L.; Wei, C.P. A multi-attribute decision-making method with prioritization relationship and dual hesitant fuzzy decision information. Int. J. Mach. Learn. Cybern. 2017, 8, 755–763. [Google Scholar] [CrossRef]
- Qu, G.H.; Li, Y.J.; Qu, W.H.; Li, C.H. Some new Shapley dual hesitant fuzzy Choquet aggregation operators and their applications to multiple attribute group decision making-based TOPSIS. J. Intell. Fuzzy Syst. 2017, 33, 2463–2483. [Google Scholar] [CrossRef]
- Liang, D.C.; Xu, Z.S.; Liu, D. Three-way decisions based on decision-theoretic rough sets with dual hesitant fuzzy information. Inf. Sci. 2017, 396, 127–143. [Google Scholar] [CrossRef]
- Chen, J.J.; Huang, X.J.; Tang, J. Distance measures for higher order dual hesitant fuzzy sets. Comp. Appl. Math. 2018, 37, 1784–1806. [Google Scholar] [CrossRef]
- Xu, X.R.; Wei, G.W. Dual hesitant bipolar fuzzy aggregation operators in multiple attribute decision making. Int. J. Knowl.-Based Intell. Eng. Syst. 2017, 21, 155–164. [Google Scholar] [CrossRef]
- Zhang, F.W.; Chen, J.H.; Zhu, Y.H.; Li, J.R.; Li, Q.; Zhuang, Z.Y. A dual hesitant fuzzy rough pattern recognition approach based on deviation theories and its application in urban traffic modes recognition. Symmetry 2017, 9, 262. [Google Scholar] [CrossRef]
- Zhang, H.D.; Shu, L. Dual Hesitant Fuzzy Soft Set and Its Properties. Adv. Intell. Syst. Comput. 2016, 367, 171–182. [Google Scholar]
- Liao, H.C.; Xu, Z.S.; Zeng, X.J. Distance and similarity measures for hesitant fuzzy linguistic term sets and their application in multi-criteria decision making. Inf. Sci. 2014, 271, 125–142. [Google Scholar] [CrossRef]
- Peng, J.J.; Wang, J.Q.; Wang, J.; Yang, L.J.; Chen, X.H. An extension of ELECTRE to multi-criteria decision-making problem with multi-hesitant fuzzy sets. Inf. Sci. 2015, 307, 113–126. [Google Scholar] [CrossRef]
- Su, Z.; Xu, Z.S.; Zhao, H.; Liu, S.S. Distribution-Based Approaches to Deriving Weights from Dual Hesitant Fuzzy Information. Symmetry 2019, 11, 85. [Google Scholar] [CrossRef]
- Ren, Z.L.; Xu, Z.S.; Wang, H. Dual hesitant fuzzy VIKOR method for multi-criteria group decision making based on fuzzy measure and new comparison method. Inf. Sci. 2017, 388, 1–16. [Google Scholar] [CrossRef]
- Li, D.Q.; Zeng, W.Y.; Li, J.H. New distance and similarity measures on hesitant fuzzy sets and their applications in multiple criteria decision making. Eng. Appl. Artif. Intell. 2015, 40, 11–16. [Google Scholar] [CrossRef]
- Singh, P. A new method for solving dual hesitant fuzzy assignment problems with restrictions based on similarity measure. Appl. Soft Comput. 2014, 24, 559–571. [Google Scholar] [CrossRef]
- Xu, Z.S.; Xia, M.M. Hesitant fuzzy entropy and cross-entropy and their use in multi-attribute decision-making. Int. J. Intell. Syst. 2012, 27, 799–822. [Google Scholar] [CrossRef]
- Xue, M.; Fu, C.; Chang, W.J. Determining the Parameter of Distance Measure between Dual Hesitant Fuzzy Information in Multiple Attribute Decision Making. Int. J. Fuzzy Syst. 2018, 20, 2065–2082. [Google Scholar] [CrossRef]
- Li, D.Q.; Zeng, W.Y.; Zhao, Y.B. Note on distance measure of hesitant fuzzy sets. Inf. Sci. 2015, 321, 103–115. [Google Scholar] [CrossRef]
- Farhadinia, B. Correlation for dual hesitant fuzzy sets and dual interval-valued hesitant fuzzy sets. Int. J. Intell. Syst. 2014, 29, 184–205. [Google Scholar] [CrossRef]
- Xu, Z.S.; Zhao, N. Information fusion for intuitionistic fuzzy decision making: An overview. Inf. Fusion 2016, 28, 10–23. [Google Scholar] [CrossRef]
- Zhang, H.B.; Liu, X.M.; Ji, H.H.; Hou, Z.S.; Fan, L.L. Multi-Agent-Based Data-Driven Distributed Adaptive Cooperative Control in Urban Traffic Signal Timing. Energies 2019, 12, 1402. [Google Scholar] [CrossRef]
- Farhadinia, B. A multiple criteria decision making model with entropy weight in an interval-transformed hesitant fuzzy environment. Cognit. Comput. 2017, 9, 513–525. [Google Scholar] [CrossRef]
- Roman, R.C.; Precup, R.E.; Bojan-Drago, C.A.; Szedlak-Stinean, A.I. Combined Model-Free Adaptive Control with Fuzzy Component by Virtual Reference Feedback Tuning for Tower Crane Systems. Procedia Comput. Sci. 2019, 162, 267–274. [Google Scholar] [CrossRef]
- Park, J.H.; Kwark, H.E.; Kwun, Y.C. Entropy and cross-entropy for generalized hesitant fuzzy information and their use in multiple attribute decision making. Int. J. Intell. Syst. 2017, 32, 266–290. [Google Scholar] [CrossRef]
- Sahin, R.; Liu, P. Maximizing deviation method for neutrosophic multiple attribute decision making with incomplete weightinformation. Neural Comput. Appl. 2016, 7, 1–13. [Google Scholar] [CrossRef]
- Kuang, J. Applied Inequalities, 3rd ed.; Shandong Science and Technology Press: Jinan, China, 2004; pp. 154–196. [Google Scholar]
- Diakoulaki, D.; Mavrotas, G.; Papayannakis, L. Determining objective weights in multiple criteria problems: The critic method. Comput. Oper. Res. 1995, 22, 763–770. [Google Scholar] [CrossRef]
- Wang, Y.M.; Luo, Y. Integration of correlations with standard deviations for determining attribute weights in multiple attribute decision making. Math. Comput. Model. 2010, 51, 1–12. [Google Scholar] [CrossRef]
- Alcantud, J.; Santos-García, G.; Peng, X.D.; Zhan, J.M. Dual Extended Hesitant Fuzzy Sets. Symmetry 2019, 11, 714. [Google Scholar] [CrossRef]
- Zhang, R.C.; Li, Z.M.; Liao, H.C. Multiple-attribute decision-making method based on the correlation coefficient between dual hesitant fuzzy linguistic term sets. Knowl.-Based. Syst. 2019. [Google Scholar] [CrossRef]



| Attribute | Description of the Attribute |
|---|---|
| Booking and ticketing services | Booking and ticketing services mainly include the convenience, rapidity and courtesy in the process of purchasing air tickets, etc. |
| Security and boarding services | Security and boarding services mainly include the convenience and efficiency of security inspection, the courtesy of security personnel, the clarity of notices and announcements, etc. |
| Cabin Services | Cabin services can generally be divided into cabin security demonstration services, courtesy and helpfulness of flight attendants, cleanliness and comfort in the cabin, etc. |
| Responsive Services | Responsive services mainly include the appropriateness of call waiting time, the satisfaction degree of complaint handling and baggage parcel loss processing, etc. |
| ({0.6,0.4}, {0.4,0.2,0.1}) | ({0.7,0.6}, {0.3,0.2,0.1}) | ({0.9,0.7,0.5}, {0.1}) | ({0.6,0.4}, {0.3,0.2}) | ||
| ({0.4,0.3,0.2}, {0.4}) | ({0.6,0.5,0.4}, {0.2,0.1}) | ({0.6,0.5,0.4,0.2}, {0.2,0.1}) | ({0.8,0.5}, {0.2}) | ||
| ({0.6,0.4}, {0.3,0.2}) | ({0.8,0.4}, {0.2, 0.1}) | ({0.5,0.3}, {0.4,0.2}) | ({0.6,0.4}, {0.3,0.2}) | ||
| ({0.8,0.4}, {0.2,0.1}) | ({0.8,0.5}, {0.2,0.1,0}) | ({0.6,0.4}, {0.3,0.2,0.1}) | ({0.7}, {0.2}) |
| Airlines | CCi Using | Ranking Order | CCi Using | Ranking Order | CCi Using | Ranking Order |
|---|---|---|---|---|---|---|
| A1 | 0.6052 | 1 | 0.5412 | 1 | 0.5832 | 1 |
| A2 | 0.3289 | 4 | 0.4068 | 4 | 0.4830 | 2 |
| A3 | 0.3979 | 3 | 0.4255 | 3 | 0.3821 | 4 |
| A4 | 0.5279 | 2 | 0.4726 | 2 | 0.4328 | 3 |
© 2020 by the authors. Licensee MDPI, Basel, Switzerland. This article is an open access article distributed under the terms and conditions of the Creative Commons Attribution (CC BY) license (http://creativecommons.org/licenses/by/4.0/).
Share and Cite
Wang, R.; Li, W.; Zhang, T.; Han, Q. New Distance Measures for Dual Hesitant Fuzzy Sets and Their Application to Multiple Attribute Decision Making. Symmetry 2020, 12, 191. https://doi.org/10.3390/sym12020191
Wang R, Li W, Zhang T, Han Q. New Distance Measures for Dual Hesitant Fuzzy Sets and Their Application to Multiple Attribute Decision Making. Symmetry. 2020; 12(2):191. https://doi.org/10.3390/sym12020191
Chicago/Turabian StyleWang, Rugen, Weimin Li, Tao Zhang, and Qi Han. 2020. "New Distance Measures for Dual Hesitant Fuzzy Sets and Their Application to Multiple Attribute Decision Making" Symmetry 12, no. 2: 191. https://doi.org/10.3390/sym12020191
APA StyleWang, R., Li, W., Zhang, T., & Han, Q. (2020). New Distance Measures for Dual Hesitant Fuzzy Sets and Their Application to Multiple Attribute Decision Making. Symmetry, 12(2), 191. https://doi.org/10.3390/sym12020191
