Generation of Circularly Polarized Luminescence by Symmetry Breaking
Abstract
1. Introduction
2. CD and CPL from Achiral and Racemic Molecules by Spontaneous Resolution
3. CPL from Optically Inactive Organometallic and Organic Luminophores under a Magnetic Field
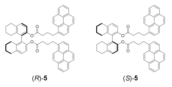
4. CPL from Cryptochiral Organic Luminophores
5. Conclusions
Funding
Acknowledgments
Conflicts of Interest
References
- Yang, X.; Zhou, G.; Wong, W.Y. Functionalization of phosphorescent emitters and their host materials by main-group elements for phosphorescent organic light-emitting devices. Chem. Soc. Rev. 2015, 44, 8484–8575. [Google Scholar] [PubMed]
- Veldhuis, S.A.; Boix, P.P.; Yantara, N.; Li, M.; Sum, T.C.; Mathews, N.; Mhaisalkar, S.G. Perovskite Materials for Light-Emitting Diodes and Lasers. Adv. Mater. 2016, 28, 6804–6834. [Google Scholar] [PubMed]
- Im, Y.; Kim, M.; Cho, Y.J.; Seo, J.; Yook, K.S.; Lee, J.Y. Molecular Design Strategy of Organic Thermally Activated Delayed Fluorescence Emitters. Chem. Mater. 2017, 29, 1946–1963. [Google Scholar] [CrossRef]
- Huang, T.; Jiang, W.; Duan, L. Recent progress in solution processable TADF materials for organic light-emitting diodes. J. Mater. Chem. C 2018, 6, 5577–5596. [Google Scholar]
- Ma, X.; Wang, J.; Tian, H. Assembling-Induced Emission: An Efficient Approach for Amorphous Metal-Free Organic Emitting Materials with Room-Temperature Phosphorescence. Acc. Chem. Res. 2019, 52, 738–748. [Google Scholar]
- Zhang, D.-W.; Li, M.; Chen, C.-F. Recent advances in circularly polarized electroluminescence based on organic light-emitting diodes. Chem. Soc. Rev. 2020, 49, 1331–1343. [Google Scholar]
- Field, J.E.; Muller, G.; Riehl, J.P.; Venkataraman, D. Circularly Polarized Luminescence from Bridged Triarylamine Helicenes. J. Am. Chem. Soc. 2003, 125, 11808–11809. [Google Scholar]
- Maeda, H.; Bando, Y. Recent progress in research on stimuliresponsive circularly polarized luminescence based on π-conjugated molecules. Pure Appl. Chem. 2013, 85, 1967–1978. [Google Scholar] [CrossRef]
- Sanchez-Carnerero, E.M.; Agarrabeitia, A.R.; Moreno, F.; Maroto, B.L.; Muller, G.; Ortiz, M.J.; Moya, S. Circularly Polarized Luminescence from Simple Organic Molecules. Chem. Eur. J. 2015, 21, 13488–13500. [Google Scholar] [PubMed]
- Kumar, J.; Nakashima, T.; Kawai, T. Circularly Polarized Luminescence in Chiral Molecules and Supramolecular Assemblies. J. Phys. Chem. Lett. 2015, 6, 3445–3452. [Google Scholar] [PubMed]
- Longhi, G.; Castiglioni, E.; Kosyoubu, J.; Mazzeo, G.; Sergio, A. Circularly Polarized Luminescence: A Review of Experimental and Theoretical Aspects. Chirality 2016, 28, 696–707. [Google Scholar] [CrossRef]
- Sun, Z.; Suenaga, T.; Sarkar, P.; Sato, S.; Kotani, M.; Isobe, H. Stereoisomerism, crystal structures, and dynamics of belt-shaped cyclonaphthylenes. Proc. Natl. Acad. Sci. USA 2016, 113, 8109–8114. [Google Scholar] [CrossRef]
- Tanaka, H.; Inoue, Y.; Mori, T. Circularly Polarized Luminescence and Circular Dichroisms in Small Organic Molecules: Correlation between Excitation and Emission Dissymmetry Factors. ChemPhotoChem 2018, 2, 386–402. [Google Scholar] [CrossRef]
- Pop, F.; Zigon, N.; Avarvari, N. Main-Group-Based Electro- and Photoactive Chiral Materials. Chem. Rev. 2019, 119, 8435–8478. [Google Scholar] [CrossRef] [PubMed]
- Ma, J.-L.; Peng, Q.; Zhao, C.-H. Circularly Polarized Luminescence Switching in Small Organic Molecules. Chem. Eur. J. 2019, 25, 15441–15454. [Google Scholar] [CrossRef] [PubMed]
- Ohishi, Y.; Inouye, M. Circularly polarized luminescence from pyrene excimers. Tetrahedron Lett. 2019, 60, 151232. [Google Scholar] [CrossRef]
- Gao, J.; Zhang, W.Y.; Wu, Z.G.; Zheng, Y.X.; Fu, D.W. Enantiomorphic Perovskite Ferroelectrics with Circularly Polarized Luminescence. J. Am. Chem. Soc. 2020, 142, 4756–4761. [Google Scholar] [CrossRef] [PubMed]
- He, C.; Feng, Z.; Shan, S.; Wang, M.; Chen, X.; Zou, G. Highly enantioselective photo-polymerization enhanced by chiral nanoparticles and in situ photopatterning of chirality. Nat. Commun. 2020, 11, 1188. [Google Scholar] [CrossRef]
- Jin, Q.; Chen, S.; Sang, Y.; Guo, H.; Dong, S.; Han, J.; Chen, W.; Yang, X.; Li, F.; Duan, P. Circularly polarized luminescence of achiral open-shell π-radicals. Chem. Commun. 2019, 55, 6583–6586. [Google Scholar] [CrossRef]
- Zhao, J.; Zhang, T.; Dong, X.-Y.; Sun, M.-E.; Zhang, C.; Li, X.; Zhao, Y.S.; Zang, S.-Q. Circularly Polarized Luminescence from Achiral Single Crystals of Hybrid Manganese Halides. J. Am. Chem. Soc. 2019, 141, 15755–15760. [Google Scholar] [CrossRef]
- Mason, S. Biomolecular homochirality. Chem. Soc. Rev. 1988, 17, 347–359. [Google Scholar] [CrossRef]
- Girard, C.; Kagan, H.B. Nonlinear Effects in Asymmetric Synthesis and Stereoselective Reactions: Ten Years of Investigation. Angew. Chem. Int. Ed. 1998, 37, 2923–2959. [Google Scholar] [CrossRef]
- Feringa, B.L.; Delden, R.A. Absolute Asymmetric Synthesis: The Origin, Control, and Amplification of Chirality. Angew. Chem. Int. Ed. 1999, 38, 3418–3438. [Google Scholar] [CrossRef]
- Green, M.M.; Park, J.-W.; Sato, T.; Teramoto, A.; Lifson, S.; Selinger, R.L.B.; Selinger, J.V. The Macromolecular Route to Chiral Amplification. Angew. Chem. Int. Ed. 1999, 38, 3139–3154. [Google Scholar] [CrossRef]
- Eschenmoser, A. Chemical Etiology of Nucleic Acid Structure. Science 1999, 284, 2118–2124. [Google Scholar] [CrossRef]
- Soai, K.; Osanai, S.; Kadowaki, K.; Yonekubo, S.; Shibata, T.; Sato, I. d- and l-Quartz-Promoted Highly Enantioselective Synthesis of a Chiral Organic Compound. J. Am. Chem. Soc. 1999, 121, 11235–11236. [Google Scholar] [CrossRef]
- Sato, I.; Kadowaki, K.; Soai, K. Asymmetric synthesis of an organic compound with high enantiomeric excess induced by inorganic ionic sodium chlorate. Angew. Chem. Int. Ed. 2000, 39, 1510–1512. [Google Scholar] [CrossRef]
- Kondepudi, D.K.; Asakura, K. Chiral Autocatalysis, Spontaneous Symmetry Breaking, and Stochastic Behavior. Acc. Chem. Res. 2001, 34, 946–954. [Google Scholar] [CrossRef]
- Zepik, H.; Shavit, E.; Tang, M.; Jensen, T.R.; Kjaer, K.; Bolbach, G.; Leiserowitz, L.; Weissbuch, I.; Lahav, M. Chiral amplification of oligopeptides in two-dimensional crystalline self-assemblies on water. Science 2002, 295, 1266–1269. [Google Scholar] [CrossRef]
- Sato, I.; Kadowaki, K.; Ohgo, Y.; Soai, K. Highly enantioselective asymmetric autocatalysis induced by chiral ionic crystals of sodium chlorate and sodium bromate. J. Mol. Catal. A Chem. 2004, 216, 209–214. [Google Scholar] [CrossRef]
- Imai, Y.; Kamon, K.; Murata, K.; Harada, T.; Nakano, Y.; Sato, T.; Fujiki, M.; Kuroda, R.; Matsubara, Y. Preparation of a spontaneous resolution chiral fluorescent system using 2-anthracenecarboxylic acid. Org. Biomol. Chem. 2008, 6, 3471–3475. [Google Scholar] [CrossRef] [PubMed]
- Imai, Y.; Murata, K.; Asano, N.; Nakano, Y.; Kawaguchi, K.; Harada, T.; Sato, T.; Fujiki, M.; Kuroda, R.; Matsubara, Y. Selective Formation and Optical Property of a 21-Helical Columnar Fluorophore Composed of Achiral 2-Anthracenecarboxylic Acid and Benzylamine. Cryst. Growth Des. 2008, 8, 3376–3379. [Google Scholar] [CrossRef]
- Rexwinkel, R.B.; Meskers, S.C.J.; Riel, J.P.; Dekkers, H.P.J.M. Analysis of enantioselective quenching of tris(2,6-pyridinedicarboxylate)terbate(3-) luminescence by resolved tris(1,10-phenanthroline)ruthenium(2+) in methanol and in water. J. Phys. Chem. 1992, 96, 1112–1120. [Google Scholar] [CrossRef]
- Petoud, S.; Muller, G.; Moore, E.G.; Xu, J.; Sokolnicki, J.; Riehl, J.P.; Le, U.N.; Cohen, S.M.; Raymond, K.N. Brilliant Sm, Eu, Tb, and Dy Chiral Lanthanide Complexes with Strong Circularly Polarized Luminescence. J. Am. Chem. Soc. 2007, 129, 77–83. [Google Scholar] [CrossRef] [PubMed]
- Lunkley, J.L.; Shirotani, D.; Yamanari, K.; Kaizaki, S.; Muller, G. Extraordinary Circularly Polarized Luminescence Activity Exhibited by Cesium Tetrakis(3-heptafluoro-butylryl-(+)-camphorato) Eu(III) Complexes in EtOH and CHCl3 Solutions. J. Am. Chem. Soc. 2008, 130, 13814–13815. [Google Scholar] [CrossRef]
- Walton, J.W.; Carr, R.; Evans, N.H.; Funk, A.M.; Kenwright, A.M.; Parker, D.; Yufit, D.S.; Botta, M.; Pinto, S.D.; Wong, K.-L. Isostructural Series of Nine-Coordinate Chiral Lanthanide Complexes Based on Triazacyclononane. Inorg. Chem. 2012, 51, 8042–8056. [Google Scholar] [CrossRef]
- Zinna, F.; Bari, L.D. Lanthanide Circularly Polarized Luminescence: Bases and Applications. Chirality 2015, 27, 1–13. [Google Scholar] [CrossRef]
- Zinna, F.; Giovanella, U.; Bari, L.D. Highly Circularly Polarized Electroluminescence from a Chiral Europium Complex. Adv. Mater. 2015, 27, 1791–1795. [Google Scholar] [CrossRef]
- Richardson, F.; Brittain, H.G. A structural study of tris(β-diketonate)europium(III) complexes in solution using magnetic circularly polarized luminescence spectroscopy. J. Am. Chem. Soc. 1981, 103, 18–24. [Google Scholar] [CrossRef]
- Foster, D.R.; Richardson, F.S. Magnetic circularly polarized luminescence of 9-coordinate europium(III) complexes in aqueous solution. Inorg. Chem. 1983, 22, 3996–4002. [Google Scholar] [CrossRef]
- Foster, D.R.; Richardson, F.S.; Vallarino, L.M.; Shilladt, D. Magnetic circularly polarized luminescence spectra of Eu(β-diketonate)3X2 complexes in nonaqueous solution. Inorg. Chem. 1983, 22, 4002–4009. [Google Scholar] [CrossRef]
- Glover-Fischer, D.P.; Metcalf, D.H.; Hopkins, T.A.; Pugh, V.J.; Chisdes, S.J.; Kankare, J.; Richardson, F.S. Excited-State Enantiomer Interconversion Kinetics Probed by Time-Resolved Chiroptical Luminescence Spectroscopy. The Solvent and Temperature Dependence of Λ-Eu(dpa)33- ⇄ Δ-Eu(dpa)33- Enantiomer Interconversion Rates in Solution. Inorg. Chem. 1998, 37, 3026–3033. [Google Scholar] [CrossRef]
- Okutani, K.; Nozaki, K.; Iwamura, M. Specific Chiral Sensing of Amino Acids Using Induced Circularly Polarized Luminescence of Bis(diimine)dicarboxylic Acid Europium(III) Complexes. Inorg. Chem. 2014, 53, 5527–5537. [Google Scholar] [CrossRef]
- Nelson, H.D.; Hinterding, S.O.M.; Fainblat, R.; Creutz, S.E.; Li, X.; Gamelin, D.R. Mid-Gap States and Normal vs Inverted Bonding in Luminescent Cu+- and Ag+-Doped CdSe Nanocrystals. J. Am. Chem. Soc. 2017, 139, 6411–6421. [Google Scholar] [CrossRef]
- Jalilah, A.J.; Asanoma, F.; Fujiki, M. Unveiling controlled breaking of the mirror symmetry of Eu(fod)3 with α-/β-pinene and BINAP by circularly polarised luminescence (CPL), CPL excitation, and 19F-/31P{1H}-NMR spectra and Mulliken charges. Inorg. Chem. Front. 2018, 5, 2718–2733. [Google Scholar] [CrossRef]
- Okada, H.; Hara, N.; Kaji, D.; Shizuma, M.; Fujuiki, M.; Imai, Y. Excimer-origin CPL vs monomer-origin magnetic CPL in photo-excited chiral binaphthyl-ester-pyrenes: Critical role of ester direction. Phys. Chem. Chem. Phys. 2020, 22, 13862–13866. [Google Scholar] [CrossRef] [PubMed]
- Yoshikawa, H.; Nakajima, G.; Mimura, Y.; Kimoto, T.; Kondo, S.; Suzuki, A.; Fujiki, M.; Imai, Y. Mirror-image magnetic circularly polarized luminescence (MCPL) from optically inactive EuIII and TbIII tris(β-diketonate). Dalton Trans. 2020, 49, 9588–9594. [Google Scholar] [CrossRef]
- Kaji, D.; Okada, H.; Hara, N.; Kondo, Y.; Suzuki, S.; Miyasaka, M.; Fujiki, M.; Imai, Y. Non-classically Controlled Sign in a 1.6 Tesla Magnetic Circularly Polarized Luminescence of Three Pyrenes in a Chloroform and a PMMA Film. Chem. Lett. 2020, 49, 674–676. [Google Scholar] [CrossRef]
- Mislow, K.; Bickart, P. An epistemological note on chirality. Isr. J. Chem. 1977, 15, 1–6. [Google Scholar] [CrossRef]
- Mislow, K. Absolute asymmetric synthesis: A commentary. Collect. Czech. Chem. Commun. 2003, 68, 849–864. [Google Scholar]
- Amako, T.; Nakabayashi, K.; Suzuki, N.; Guo, S.; Rahim, N.A.A.; Harada, T.; Fujiki, M.; Imai, Y. Pyrene magic: Chiroptical enciphering and deciphering 1,3-dioxolane bearing two wirepullings to drive two remote pyrenes. Chem. Commun. 2015, 51, 8237–8240. [Google Scholar] [CrossRef] [PubMed]
- Kimoto, T.; Tajima, N.; Fujiki, M.; Imai, Y. Control of Circularly Polarized Luminescence by Using Open- and Closed-Type Binaphthyl Derivatives with the Same Axial Chirality. Chem. Asian J. 2012, 7, 2836–2841. [Google Scholar] [CrossRef] [PubMed]
- Hara, N.; Yanai, M.; Kaji, D.; Shizuma, M.; Tajima, N.; Fujiki, M.; Imai, Y. A Pivotal Biaryl Rotamer Bearing Two Floppy Pyrenes that Exhibits Cryptochiral Characteristics in the Ground State. ChemistrySelect 2018, 3, 9970–9973. [Google Scholar] [CrossRef]



















Publisher’s Note: MDPI stays neutral with regard to jurisdictional claims in published maps and institutional affiliations. |
© 2020 by the author. Licensee MDPI, Basel, Switzerland. This article is an open access article distributed under the terms and conditions of the Creative Commons Attribution (CC BY) license (http://creativecommons.org/licenses/by/4.0/).
Share and Cite
Imai, Y. Generation of Circularly Polarized Luminescence by Symmetry Breaking. Symmetry 2020, 12, 1786. https://doi.org/10.3390/sym12111786
Imai Y. Generation of Circularly Polarized Luminescence by Symmetry Breaking. Symmetry. 2020; 12(11):1786. https://doi.org/10.3390/sym12111786
Chicago/Turabian StyleImai, Yoshitane. 2020. "Generation of Circularly Polarized Luminescence by Symmetry Breaking" Symmetry 12, no. 11: 1786. https://doi.org/10.3390/sym12111786
APA StyleImai, Y. (2020). Generation of Circularly Polarized Luminescence by Symmetry Breaking. Symmetry, 12(11), 1786. https://doi.org/10.3390/sym12111786

