A Method to Optimize the Electron Spectrum for Simulating Thermo-Mechanical Response to X-ray Radiation
Abstract
1. Introduction
2. The Optimized Method
2.1. The Differences between X-ray and Electron Interaction with Materials
2.2. The Optimized Method for Electrons
3. Specific Results
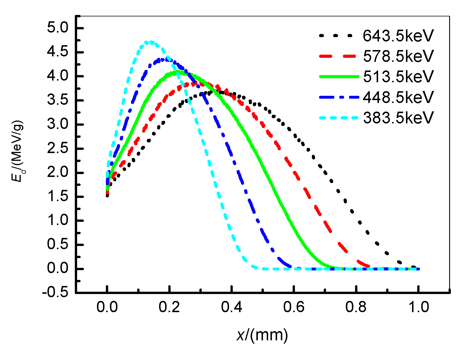
3.1. The effect of X-ray spectrum
3.2. The Effect of Material
4. Conclusions
Author Contributions
Funding
Conflicts of Interest
References
- Doron, K.; Eli, W. Hard X-ray Emission from Accretion Shocks around Galaxy Clusters. J. Cosmol. Astropart. Phys. 2010, 25, 1–14. [Google Scholar]
- George, R.S.; David, H.M.; Hani, K. Radioisotope electric propulsion (REP): A near-term approach to nuclear propulsion. Acta Astronaut. 2010, 7, 501–507. [Google Scholar]
- Andreas, B.; Bernd, S.; Martin, B.K. Introduction to the Topical Volume: Recent Advances in Nuclear Explosion Monitoring. Pure Appl. Geophys. 2010, 7, 373–379. [Google Scholar]
- Lomov, I.; Herbold, E.B.; Antoun, T.H. Influence of mechanical properties relevant to standoff deflection of hazardous asteroids. Procedia Eng. 2013, 58, 251–259. [Google Scholar] [CrossRef]
- Hammerling, P.; Remo, J.L. NEO interaction with nuclear radiation. Acta Astronaut. 1995, 36, 337–346. [Google Scholar] [CrossRef]
- Holsapple, K.A. About deflecting asteroids and comets. Mitig. Hazard. Comets Asteroids 2004, 113–140. [Google Scholar]
- Qiu, A.C.; Zhang, J.S.; Peng, J.C. Research progress about high power pulse ion beam of imitating X-ray thermal-mechanical response. Nucl. Technol. 2002, 36, 714–719. [Google Scholar]
- Yang, H.L.; Qiu, A.C.; Zhang, J.S. Simulation calculation for the energy deposition profile and the transmission fraction of intense pulsed electron beam at various incident angles. High Power Laser Part. Beams 2002, 14, 778–782. [Google Scholar]
- Jane, L.; Fox, M.I.; Galand, R.E. Energy deposition in planetary atmospheres by charged particles and solar photons. Space Sci. Rev. 2008, 39, 213–220. [Google Scholar]
- Mihailo, D.R.; Dragan, D.M. Laser beam spatial profile determination by pulsed photoacoustics: Exact solution. Meas. Sci. Technol. 2010, 21, 065603. [Google Scholar]
- Lai, D.G.; Zhang, Y.M.; Li, J.X. Design of bremsstrahlung composite thin converter for high current electron beams. High Power Laser Part. Beams 2013, 25, 1396–1400. [Google Scholar]
- Wang, J.G.; Niu, S.L. Handbook for the Parameters of High-Altitude Nuclear Explosion Effects, 1st ed.; Atomic Energy Press: Beijing, China, 2010; pp. 45–55. [Google Scholar]
- Hu, L.; Lei, Y.; Zhu, J. Simulation on distributed target material impacted by high intensity current multi-pulse electron beam. High Power Laser Part. Beams 2013, 25, 2125–2129. [Google Scholar]
- Esam, M.A.H. Monte Carlo Particle Transport with the MCNP Code. Ph.D. Thesis, University of New Brunswick, Fredericton, NB, Canada, 2011; pp. 1–57. [Google Scholar]










© 2019 by the authors. Licensee MDPI, Basel, Switzerland. This article is an open access article distributed under the terms and conditions of the Creative Commons Attribution (CC BY) license (http://creativecommons.org/licenses/by/4.0/).
Share and Cite
Ran, X.; Wang, B.; Zhang, K.; Tang, W. A Method to Optimize the Electron Spectrum for Simulating Thermo-Mechanical Response to X-ray Radiation. Symmetry 2020, 12, 59. https://doi.org/10.3390/sym12010059
Ran X, Wang B, Zhang K, Tang W. A Method to Optimize the Electron Spectrum for Simulating Thermo-Mechanical Response to X-ray Radiation. Symmetry. 2020; 12(1):59. https://doi.org/10.3390/sym12010059
Chicago/Turabian StyleRan, Xianwen, Bo Wang, Kun Zhang, and Wenhui Tang. 2020. "A Method to Optimize the Electron Spectrum for Simulating Thermo-Mechanical Response to X-ray Radiation" Symmetry 12, no. 1: 59. https://doi.org/10.3390/sym12010059
APA StyleRan, X., Wang, B., Zhang, K., & Tang, W. (2020). A Method to Optimize the Electron Spectrum for Simulating Thermo-Mechanical Response to X-ray Radiation. Symmetry, 12(1), 59. https://doi.org/10.3390/sym12010059

