A Multi-Dimension Spatial Method for Topology Awareness and Multipath Generating
Abstract
:1. Introduction
2. Background and Problem Statement
2.1. Multipath Transmission on Overlay Networks and SDSON
2.2. Topology Awareness
2.3. Multipath Diversity
2.3.1. Diversity of Underlay Network
2.3.2. Enhancing Multipath Diversity
3. Constructing Multi-Dimensional Topology View
3.1. Constructing Independent Views
3.2. Merging Topology Views
| Algorithm 1 Embedding exchange points |
| Input: MM(N,N), N is the number of RSes , W is the number of autonomous systems DT, LT Output: , M is the number of locations (cities) , P,Q are the numbers of neighbor RSes. C(N,N), coordinate of exchange point, center of two RSes 1: while do 2: while do 3: while do 4: MM(f,g) ≤ LT and Get top h minimum MM(f,g) 5: (k= c or d or c-d) 6: 7: end while 8: end while 9: end while |
4. Multipath Generating
4.1. Spatial Multipath Diversity
4.2. Exploiting Underlay Diversity
| Algorithm 2 Generating multiple paths with MDSM |
| Input: , N is the number of autonomous systems , M is the number of locations (cities) , P is the number of RSes Output: MP(i,j), multiple paths from to Origin(i,j), Dest(i,j), candidate RSes near two ARSes 1: while do 2: while do 3: Add(Origin(i,j), d, k) 4: while do 5: while do 6: Add(Dest(i,j), w, r) 7: if then 8: Add(MP(i,j), k, r, 1) 9: else if then 10: Add(MP(i,j), k, b, r, 2) 11: end if 12: end while 13: end while 14: end while 15: end while |
5. Evaluation and Analysis
5.1. Accuracy of Topology Awareness
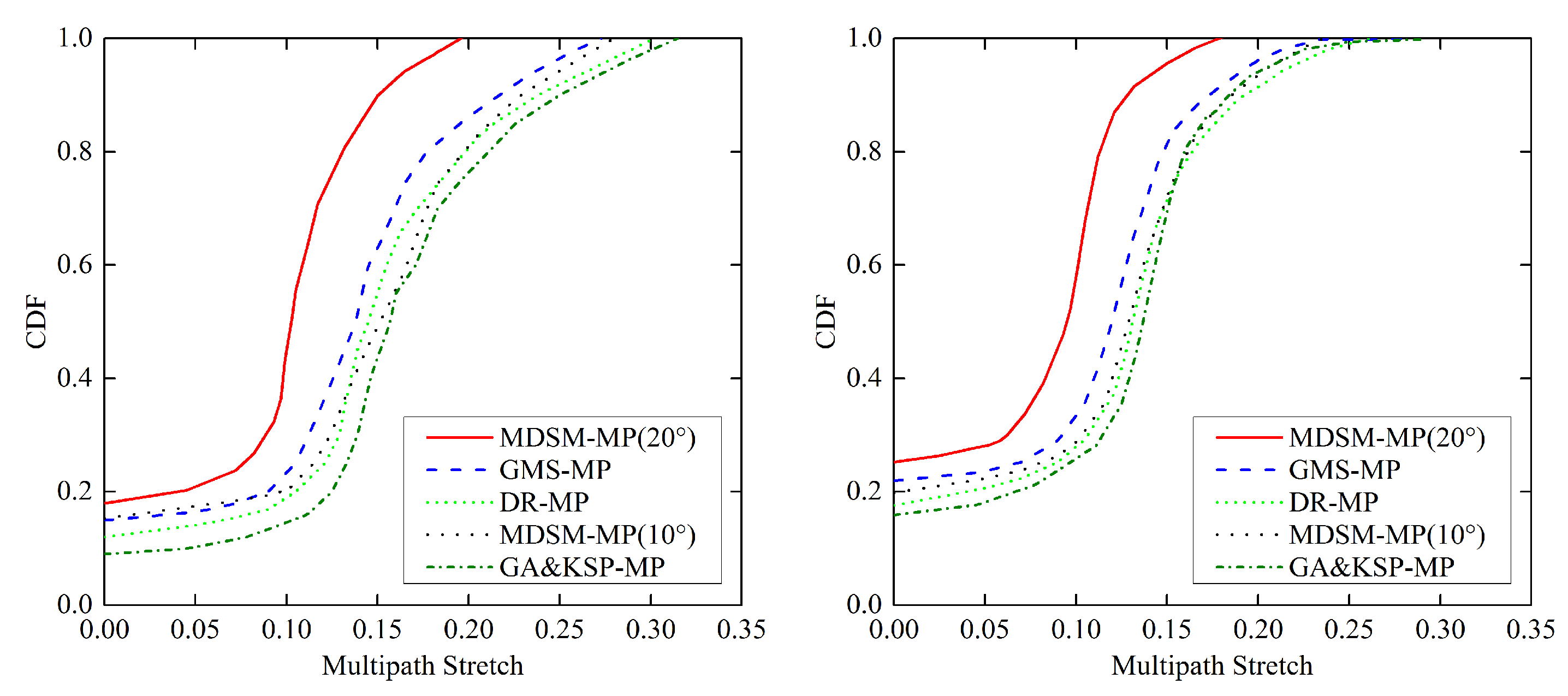
5.2. Diversity of Multipath Generating
5.3. Performance of Multipath Transmission
6. Related Work
6.1. Topology Awareness
6.2. Multipath Diversity
7. Conclusions
Author Contributions
Funding
Conflicts of Interest
References
- 3GPP. TS 23.107 (V15) Quality of service (qos) concept and architecture. 2018. Available online: http://www.3gpp.org/DynaReport/23107.htm (accessed on 14 May 2019).
- Cidon, I.; Rom, R.; Shavitt, Y. Analysis of multi-path routing. IEEE/ACM Trans. Netw. 1999, 7, 885–896. [Google Scholar] [CrossRef]
- Han, H.; Shakkottai, S.; Hollot, C.V.; Srikant, R.; Towsley, D. Multi-path tcp: A joint congestion control and routing scheme to exploit path diversity in the internet. IEEE/ACM Trans. Netw. 2006, 14, 1260–1271. [Google Scholar] [CrossRef]
- Güven, T.; La, R.J.; Shayman, M.A.; Bhattacharjee, B. A unified framework for multipath routing for unicast and multicast traffic. IEEE/ACM Trans. Netw. 2008, 16, 1038–1051. [Google Scholar] [CrossRef]
- Jiang, J.; Das, R.; Ananthanarayanan, G.; Chou, P.A.; Padmanabhan, V.; Sekar, V.; Zhang, H. Via: Improving internet telephony call quality using predictive relay selection. In Proceedings of the 2016 ACM SIGCOMM Conference, Florianopolis, Brazil, 22–26 August 2016; pp. 286–299. [Google Scholar]
- Jones, N.M.; Paschos, G.S.; Shrader, B.; Modiano, E. An overlay architecture for throughput optimal multipath routing. IEEE/ACM Trans. Netw. 2017, 25, 2615–2628. [Google Scholar] [CrossRef]
- Liao, J.; Wang, J.; Li, T.; Zhu, X. Introducing multipath selection for concurrent multipath transfer in the future internet. Comput. Netw. 2011, 55, 1024–1035. [Google Scholar] [CrossRef]
- Wang, B.; Wei, W.; Guo, Z.; Towsley, D. Multipath live streaming via tcp:scheme, performance and benefits. ACM Trans. Multimedia Comput. Commun. Appl. 2009, 5, 25. [Google Scholar] [CrossRef]
- Guan, Y.; Lei, W.; Zhang, W.; Li, H.; Zhang, S. SGMR: A spatial geometry–based multipath routing method on overlay networks. Int. J. Commun. Syst. 2019, 32, e3894. [Google Scholar] [CrossRef]
- Pietzuch, P.; Ledlie, J.; Mitzenmacher, M.; Seltzer, M. Network-aware overlays with network coordinates. In Proceedings of the 26th IEEE International Conference on Distributed Computing Systems Workshops, Lisboa, Portugal, 4–7 July 2006; p. 12. [Google Scholar]
- Xie, H.; Yang, Y.R.; Krishnamurthy, A.; Liu, Y.G.; Silberschatz, A. P4P: Provider portal for applications. In Proceedings of the ACM SIGCOMM Computer Communication Review, Barcelona, Spain, 16–21 August 2008; pp. 351–362. [Google Scholar]
- Sun, Y.; Yang, Y.R.; Zhang, X.; Guo, Y.; Li, J.; Salamatian, K. Thash: A practical network optimization scheme for dht-based p2p applications. IEEE J. Sel. Areas Commun. 2013, 31, 379–390. [Google Scholar] [CrossRef]
- Helbing, D.; Brockmann, D.; Chadefaux, T.; Donnay, K.; Blanke, U.; Woolley-Meza, O.; Perc, M. Saving Human Lives: What Complexity Science and Information Systems can Contribute. J. Stat. Phys. 2015, 158, 735–781. [Google Scholar] [CrossRef]
- Jalili, M.; Perc, M. Information cascades in complex networks. J. Complex Netw. 2017, 5, 665–693. [Google Scholar] [CrossRef]
- Bui, V.; Zhu, W.; Bui, L.T. Optimal relay placement for maximizing path diversity in multipath overlay networks. In Proceedings of the IEEE GLOBECOM 2008–2008 IEEE Global Telecommunications Conference, New Orleans, LA, USA, 30 November–4 December 2008; pp. 1–6. [Google Scholar]
- Yang, X.; Wetherall, D. Source selectable path diversity via routing deflections. ACM SIGCOMM Comput. Commun. Rev. 2006, 36, 159–170. [Google Scholar] [CrossRef]
- Zhang, W.; Lei, W.; Liu, S.; Li, G. A general framework of multipath transport system based on application-level relay. Comput. Commun. 2014, 51, 70–80. [Google Scholar] [CrossRef]
- Guan, Y.; Lei, W.; Zhang, W.; Liu, S.; Li, H. Scalable orchestration of software defined service overlay network for multipath transmission. Comput. Netw. 2018, 137, 132–146. [Google Scholar] [CrossRef]
- Zhang, W.; Lei, W.; Guan, Y.; Li, G.; Yang, L. Considerations for application-layer multipath transport control. Int. J. Commun. Syst. 2017, 30, e3343. [Google Scholar] [CrossRef]
- Zhang, W.; Ning, Z.; Lei, W.; Chen, Z. A topology and application-aware relay path allocation scheme in multipath transport system based on application-level relay. Int. J. Commun. Syst. 2016, 30, e3245. [Google Scholar] [CrossRef]
- Shang, Y.; Ruml, W. Improved MDS-based localization. IEEE INFOCOM 2004 2004, 4, 2640–2651. [Google Scholar]
- Jesi, G.P.; Montresor, A.; Babaoglu, O. Proximity-aware superpeer overlay topologies. In IEEE International Workshop on Self-Managed Networks, Systems, and Services; Springer: Berlin/Heidelberg, Germanuy, 2006; pp. 43–57. [Google Scholar]
- Shang, Y.; Ruml, W.; Zhang, Y.; Fromherz, M.P. Localization from mere connectivity. In Proceedings of the 4th ACM international symposium on Mobile ad hoc networking computing, Annapolis, MD, USA, 1–3 June 2003; pp. 201–212. [Google Scholar]
- Ng, T.E.; Zhang, H. Predicting Internet network distance with coordinates-based approaches. In Proceedings of the Twenty-First, Annual Joint Conference of the IEEE Computer and Communications Societies, New York, NY, USA, 23–27 June 2002; pp. 170–179. [Google Scholar]
- Medina, A.; Lakhina, A.; Matta, I.; Byers, J. BRITE: An approach to universal topology generation. In Proceedings of the Ninth International Symposium on Modeling, Analysis and Simulation of Computer and Telecommunication Systems, Cincinnati, OH, USA, 15–18 August 2001; pp. 346–353. [Google Scholar]
- Costa, M.; Castro, M.; Rowstron, R.; Key, P. PIC: Practical Internet coordinates for distance estimation. In Proceedings of the 24th International Conference on Distributed Computing Systems, Tokyo, Japan, 24–26 March 2004; pp. 178–187. [Google Scholar]
- Bessani, A.; Neves, N.F.; Veríssimo, P.; Dantas, W.; Fonseca, A.; Silva, R.; Correia, M. JITeR: Just-in-time application-layer routing. Comput. Netw. 2016, 104, 122–136. [Google Scholar] [CrossRef]
- Dahlin, M.; Chandra, B.B.V.; Gao, L.; Nayate, A. End-to-end WAN service availability. IEEE/ACM Trans. Netw. 2003, 11, 300–313. [Google Scholar] [CrossRef]
- Li, Z.; Yuan, L.; Mohapatra, P.; Chuah, C.N. On the analysis of overlay failure detection and recovery. Comput. Netw. 2007, 51, 3828–3843. [Google Scholar] [CrossRef]
- Markopoulou, A.; Iannaccone, G.; Bhattacharyya, S.; Chuah, C.N.; Ganjali, Y.; Diot, C. Characterization of failures in an operational ip backbone network. IEEE/ACM Trans. Netw. 2008, 16, 749–762. [Google Scholar] [CrossRef]
- Ren, S.; Guo, L.; Zhang, X. ASAP: An AS-aware peer-relay protocol for high quality VoIP. In Proceedings of the 26th IEEE International Conference on Distributed Computing Systems, Lisboa, Portugal, 4–7 July 2006; p. 70. [Google Scholar]
- Guo, D.; Jin, H.; Chen, T.; Wu, J.; Lu, L.; Li, D.; Zhou, X. Partial probing for scaling overlay routing. IEEE Trans. Parallel Distrib. Syst. 2013, 24, 2261–2272. [Google Scholar] [CrossRef]








| Notation | Definition and Description |
|---|---|
| topology view set, denotes the view of | |
| has m RSes | |
| location set, city is the basic unit of location | |
| is deployed in | |
| distance between and , or , and | |
| and have SPs in | |
| q multiple paths between and | |
| is on | |
| the multipath diversity of |
| Item | Definition and Description |
|---|---|
| Transmission Direction (TD) | Vector from the coordinate of origin-ARS to that of destination-ARS, TD of 7-9 is TD(7,9) |
| Transmission Surface (TS) | The candidate RSes are restricted within the surface, which is enclosed with constrained criteria, TS of 7-9 is TS(7,9), which includes rectangle surface ABCD, ellipse EF |
| Deviation Angle (DA) | The angle between the link and TD, is the deviation angle of 7-2 and 7-9, the 7-12 and 7-9, Then, the angle of 7-2 and 7-12 is DA(7-2,7-12)= |
| Node Quantity | MDSM | MDS-MAP | GNP | Vivaldi |
|---|---|---|---|---|
| 30 | 0.163 | 0.215 | 0.231 | 0.230 |
| 50 | 0.175 | 0.227 | 0.245 | 0.251 |
| 70 | 0.183 | 0.232 | 0.255 | 0.257 |
© 2019 by the authors. Licensee MDPI, Basel, Switzerland. This article is an open access article distributed under the terms and conditions of the Creative Commons Attribution (CC BY) license (http://creativecommons.org/licenses/by/4.0/).
Share and Cite
Guan, Y.; Lei, W.; Zhang, W.; Zhan, Y.; Li, H.; Zhang, S. A Multi-Dimension Spatial Method for Topology Awareness and Multipath Generating. Symmetry 2019, 11, 870. https://doi.org/10.3390/sym11070870
Guan Y, Lei W, Zhang W, Zhan Y, Li H, Zhang S. A Multi-Dimension Spatial Method for Topology Awareness and Multipath Generating. Symmetry. 2019; 11(7):870. https://doi.org/10.3390/sym11070870
Chicago/Turabian StyleGuan, Yunchong, Weimin Lei, Wei Zhang, Yuzhuo Zhan, Hao Li, and Songyang Zhang. 2019. "A Multi-Dimension Spatial Method for Topology Awareness and Multipath Generating" Symmetry 11, no. 7: 870. https://doi.org/10.3390/sym11070870
APA StyleGuan, Y., Lei, W., Zhang, W., Zhan, Y., Li, H., & Zhang, S. (2019). A Multi-Dimension Spatial Method for Topology Awareness and Multipath Generating. Symmetry, 11(7), 870. https://doi.org/10.3390/sym11070870

